환원적 아미노화
"오늘의AI위키"의 AI를 통해 더욱 풍부하고 폭넓은 지식 경험을 누리세요.
1. 개요
환원적 아미노화는 알데하이드 또는 케톤과 아민의 반응으로, 환원제의 존재 하에 일어나는 화학 반응이다. 이 반응은 유기 합성에서 1급에서 3급 아민을 얻는 데 널리 사용되며, 직접 환원적 아미노화와 간접 환원적 아미노화 두 가지 방법이 있다. 환원제로는 수소화붕소 시약, 팔라듐 수소화물, 니켈, 이리듐 촉매 등이 사용된다. 생화학에서는 탈수소효소가 α-케토산과 암모니아의 환원적 아미노화를 촉매하여 α-아미노산을 생성하며, 친환경 화학에서도 아민 생산에 매력적인 방법으로 활용된다.
더 읽어볼만한 페이지
- 짝지음 반응 - 만니히 반응
만니히 반응은 아민, 포름알데히드, 카르보닐 화합물을 사용하여 β-아미노 카르보닐 화합물을 생성하는 유기 반응이다. - 짝지음 반응 - 네기시 반응
네기시 반응은 팔라듐 또는 니켈 촉매를 사용하여 유기아연 화합물과 유기 할로겐 화합물 간의 탄소-탄소 결합을 형성하는 교차 커플링 반응으로, 천연물 합성 및 의약품 개발에 응용되어 네기시 에이이치에게 노벨 화학상을 수상하게 한 유기 금속 화학 반응이다. - 유기 산화 환원 반응 - 지질 과산화
지질 과산화는 자유 라디칼 연쇄반응으로 다가불포화지방산이 산화적으로 분해되는 과정으로, 지질 하이드로퍼옥사이드와 말론디알데히드 같은 최종 산물이 세포 손상과 DNA 손상을 유발하며, 항산화제와 효소들이 이를 억제하는 데 중요한 역할을 한다. - 유기 산화 환원 반응 - 수소화
수소화는 유기 화합물에 수소 가스를 첨가하는 반응으로, 금속 촉매를 사용하여 불포화 탄화수소를 포화시키는 데 주로 사용되며, 석유화학 및 식품 산업 등 다양한 분야에서 활용된다. - 유기 반응 - 열분해
열분해는 고온에서 물질을 분해하는 과정으로, 다양한 산업과 에너지 분야에 활용되지만 안전 및 환경 문제도 고려해야 하며, 관련 분석 및 연구가 활발히 진행되고 있다. - 유기 반응 - 메틸화
메틸화는 메틸기를 분자에 첨가하는 과정으로, 생물학에서 유전자 발현 조절 등 생명현상에 관여하고 유기화학에서 유기 합성에 활용되며, 다양한 생물종에 존재하는 중요한 생리적 과정이다.
| 환원적 아미노화 | |
|---|---|
| 반응 정보 | |
| 반응 이름 | 환원적 아민화 |
| 반응 유형 | 짝지음 반응 |
| RSC 온톨로지 ID | 0000335 |
| 식별자 | |
| RSC 온톨로지 ID | 0000335 |
2. 반응 메커니즘
환원적 아미노화 반응은 크게 두 단계로 진행된다. 먼저 카르보닐기와 아민이 반응하여 이민(2급 아민을 사용한 경우에는 이미늄 양이온)을 생성한다. 그 후, 시아노붕소수소화나트륨과 같은 환원제에 의해 아민이 생성된다.[2]
2. 1. 반응 단계
환원적 아미노화 반응은 알데하이드 또는 케톤과 같은 카보닐 화합물과 아민 사이에서 환원제의 존재 하에 일어난다.[2] 반응 조건은 중성 또는 약산성이다.[2]
# 친핵성 아민은 카보닐기의 탄소에서 반응하여 헤미아민 종을 형성한다.
# 알킬이미노-데-옥소-비스치환에 의해 헤미아민 종에서 물 분자 1개가 가역적으로 손실되어 이민 중간체가 형성된다.[3] 알데하이드/케톤과 이민 사이의 평형은 탈수에 의해 이민 형성을 향해 이동한다.[2]
# 중간체 이민은 적절한 환원제(예: 수소화붕소나트륨)와 함께 단리하거나 반응시켜 아민 생성물을 생성할 수 있다.[2] 아민과 카보닐이 출발 물질의 동일한 분자에 있는 경우 분자 내 환원 아민화 반응이 일어나 고리형 아민 생성물을 얻을 수도 있다.[4]
3. 반응 방법
환원적 아미노화 반응은 크게 직접 환원적 아미노화와 간접 환원적 아미노화 두 가지 방법으로 나눌 수 있다.[2]
직접 환원적 아미노화는 카르보닐 화합물, 아민, 환원제를 한 번에 반응시키는 방법이다. 이는 이민/이미늄 이온 중간체를 분리하지 않고 반응을 진행시키는 원-팟(one-pot) 반응이다. 반응이 진행됨에 따라 이민은 카르보닐 출발 물질보다 환원에 유리하게 된다. 일반적인 두 가지 방법으로는 백금, 팔라듐, 니켈 등의 촉매를 이용한 수소화 반응과 시안화붕소수소화나트륨(NaBH3CN)과 같은 수소화물 환원제를 사용하는 방법이 있다.[2]
간접 환원적 아미노화는 이민 중간체를 분리한 후, 별도의 단계에서 환원시켜 아민 생성물을 얻는 방법이다.[2]
3. 1. 직접 환원적 아미노화 (Direct Reductive Amination)
친핵성 아민은 카보닐기의 탄소에서 반응하여 헤미아민 종을 형성한다. 헤미아민 종에서 물 분자 1개가 가역적으로 손실되어 이민 중간체가 형성된다.[3] 알데히드/케톤과 이민 사이의 평형은 탈수에 의해 이민 형성을 향해 이동한다.[2]중간체 이민은 적절한 환원제(예: 수소화붕소나트륨)와 함께 단리하거나 반응시켜 아민 생성물을 생성할 수 있다.[2] 아민과 카보닐이 출발 물질의 동일한 분자에 있는 경우 분자 내 환원 아민화 반응이 일어나 고리형 아민 생성물을 얻을 수도 있다.[4]
환원 아민화 반응을 수행하는 방법에는 직접법과 간접법의 두 가지가 있다.[2] 직접 환원적 아미노화에서는 카보닐 화합물, 아민, 환원제를 한 번에 반응시킨다.[2] 이는 이민/이미늄 이온 중간체를 분리하지 않고 반응을 진행시키는 원-팟 반응이다.[2] 반응이 진행됨에 따라 이민은 카보닐 출발 물질보다 환원에 유리하게 된다.[2] 직접 환원 아민화의 가장 일반적인 두 가지 방법은 백금, 팔라듐 또는 니켈 촉매를 이용한 수소화 반응과 시안화붕소수소화나트륨(NaBH3CN)과 같은 수소화물 환원제의 사용이다.[2]
유기 합성 화학에서 1급~3급 아민을 얻는 방법으로 널리 사용된다. (그 외의 아미노화 반응으로는 미츠노부 반응과 부흐발트-하트윅 반응이 있다.)
반응은 2단계로 나뉜다. 먼저 카르보닐기와 아민이 반응하여 이민(2급 아민을 사용한 경우에는 이미늄 양이온)이 생성된다. 이어서 시아노붕소수소화나트륨과 같은 환원제에 의해 아민이 얻어진다.
3. 2. 간접 환원적 아미노화 (Indirect Reductive Amination)
친핵성 아민은 카보닐기의 탄소에서 반응하여 헤미아민 종을 형성한다. 알킬이미노-데-옥소-비스치환에 의해 헤미아민 종에서 물 분자 1개가 가역적으로 손실되어 이민 중간체가 형성된다.[3] 알데히드/케톤과 이민 사이의 평형은 탈수에 의해 이민 형성을 향해 이동한다.[2]중간체 이민은 수소화붕소나트륨과 같은 적절한 환원제와 함께 단리하거나 반응시켜 아민 생성물을 생성할 수 있다.[2] 아민과 카보닐이 출발 물질의 동일한 분자에 있는 경우 분자 내 환원 아민화 반응이 일어나 고리형 아민 생성물을 얻을 수도 있다.[4]
간접적 환원 아민화에서는 이민 중간체를 분리한다.[2] 별도의 단계에서 분리된 이민 중간체가 환원되어 아민 생성물을 형성한다.[2]
4. 환원제의 종류
환원적 아미노화 반응에는 다양한 환원제가 사용될 수 있다. 대표적인 환원제로는 팔라듐 수소화물(H2/Pd), 수소화붕소나트륨(NaBH4), 시안화붕소 나트륨(NaBH3CN), 트리아세톡시붕소수소화나트륨(NaBH(OAc)3) 등이 있으며, 이 외에도 폼산을 이용하는 방법(로이카트 반응, 에슈바일러-클라크 반응)과 2-피콜린-보란을 이용하는 방법도 있다. 각 환원제는 선택성, 원자 경제성, 후처리 필요성, 가연성, H2O 및 O2에 대한 민감도 등에서 차이를 보인다.[11]
| H2/Pd | NaBH4 | NaBH(OAc) 3 | NaBH3CN | CO/Rh | |
|---|---|---|---|---|---|
| 선택성 | 낮음 | 낮음 | 높음 | 높음 | 높음 |
| 원자 경제성 | 높음 | 고체 폐기물 | 고체 폐기물 | 고체 폐기물 | 높음 |
| 후처리 | 필요 | 불필요 | 불필요 | 불필요 | 필요 |
| 가연성 | 높음 | 낮음 | 높음 | 높음 | 높음 |
| H2O, O2에 대한 민감도 | 낮음 | 높음 | 높음 | 높음 | 낮음 |
4. 1. 팔라듐 수소화물 (H2/Pd)
팔라듐 수소화물(H2/Pd)은 환원적 아미노화 반응에 일반적으로 사용되는 다재다능한 환원제이다. 팔라듐이 수소 기체를 흡착하여 활성 수소화물 종을 형성하는 능력은 촉매 효율성의 원동력이다. 이러한 수소화물은 환원적 아미노화의 핵심 중간체인 이민 또는 이미늄 이온을 2차 또는 3차 아민으로 환원시키는 데 기여한다. 이 반응은 일반적으로 온화한 조건에서 매우 뛰어난 선택성을 보이며, 이는 종종 H2/Pd를 의약품 및 정밀 화학 물질에서 아민을 합성하는 데 있어 최우선 선택으로 만든다. 또한, H2/Pd는 광범위한 작용기와 호환되어 복잡한 유기 합성에 대한 유용성을 더욱 향상시킨다.4. 2. 수소화붕소나트륨 (NaBH4)
수소화붕소나트륨(NaBH4)은 이민과 카보닐기를 모두 환원시킨다.[3] 그러나 선택성이 좋지 않아 반응에 존재하는 다른 환원성 작용기들도 환원시킬 수 있다.[3] 이러한 현상을 방지하기 위해서는 약한 친전자체 카보닐기, 좋지 않은 친핵체 아민 및 입체적으로 가려진 반응 중심을 가진 시약을 사용하지 않아야 한다. 이러한 특성은 카보닐기가 이민을 형성하도록 환원되는 것을 선호하지 않으며, 대신 다른 작용기가 환원될 가능성을 높이기 때문이다.[3]4. 3. 시안화붕소나트륨 (NaBH3CN)
시안화붕소 나트륨(NaBH3CN)은 수산화 용매에 용해되며, 산성 용액에서 안정적이며 pH에 따라 선택성이 달라진다.[2] 낮은 pH 값에서 알데하이드와 케톤을 효과적으로 환원시키지만,[7] pH가 증가하면 환원 속도가 느려지고 대신 이민 중간체가 환원에 선호된다.[7] 이러한 이유로 NaBH3CN은 중간 이민을 분리하지 않는 원-팟 직접 환원 아민화 반응에 이상적인 환원제이다.[2]NaBH3CN은 환원제로 사용될 때 HCN 및 NaCN과 같은 독성 부산물을 방출할 수 있다.[2] 역사적으로 시아노수소화붕소나트륨(NaBH3CN)을 사용하는 방법은 '''보르히 반응'''이라고도 불리며, 가장 널리 사용된다. 수소화붕소나트륨이 이민뿐만 아니라 카르보닐기도 환원시키는 데 반해, 더 약한 환원제인 NaBH3CN은 중성 조건 하에서 이민만을 선택적으로 환원할 수 있기 때문이다.
그러나 NaBH3CN 자체가 독극물이며, 반응계에 시안화물 이온이 생성될 우려가 있어, 최근에는 저독성이면서 유사한 환원력을 가진 수소화트리아세톡시붕소나트륨 NaBH(OAc)3의 사용 예가 증가하고 있다.[27]
4. 4. 트리아세톡시붕소수소화나트륨 (NaBH(OAc)3)
트리아세톡시붕소수소화나트륨(STAB, NaBH(OAc)3)은 시아노붕소수소화나트륨보다 독성이 낮고, 분자의 탈수 과정을 통해 형성된 이민 중간체를 선택적으로 환원시키는 능력이 뛰어나다.[27] NaBH(OAc)3는 NaBH4보다 약한 환원제이며, 다른 환원에 민감한 작용기가 있는 경우에도 이민기를 우선적으로 환원시킬 수 있다. 또한 케톤보다 알데하이드를 선택적으로 환원시키는 데 사용될 수 있다고 보고되었지만, 표준 환원 아미노화 반응 조건은 아민을 형성하기 위해 이민 환원을 크게 선호한다.[9][10]일반적인 환원제의 물리적 및 화학적 특성은 다음과 같다.[11]
| H2/Pd | NaBH4 | NaBH(OAc) 3 | NaBH3CN | CO/Rh | |
|---|---|---|---|---|---|
| 선택성 | 낮음 | 낮음 | 높음 | 높음 | 높음 |
| 원자 경제성 | 높음 | 고체 폐기물 | 고체 폐기물 | 고체 폐기물 | 높음 |
| 후처리 | 필요 | 불필요 | 불필요 | 불필요 | 필요 |
| 가연성 | 높음 | 낮음 | 높음 | 높음 | 높음 |
| H2O, O2에 대한 민감도 | 낮음 | 높음 | 높음 | 높음 | 낮음 |
4. 5. 기타 환원제
역사적으로는 환원제로 폼산을 사용하는 방법(로이카트 반응, 에슈바일러-클라크 반응)이 개발되었지만, 현재는 조작이 간편하고 신뢰성이 높은 수소화붕소 시약을 사용하는 방법이 일반적이다.[27]시아노수소화붕소나트륨(NaBH3CN) 자체가 독극물이며, 반응계에 시안화물 이온이 생성될 우려가 있어, 최근에는 저독성이면서 유사한 환원력을 가진 수소화트리아세톡시붕소나트륨 NaBH(OAc)3의 사용 예가 증가하고 있다. 또한, 물이나 무용매계에서도 사용할 수 있는 2-피콜린-보란도 시판되고 있다.[28]
5. 반응 설계 시 고려 사항
환원적 아미노화 반응을 설계할 때는 여러 가지를 고려해야 한다.[5]
- 카보닐기가 환원될 수 있기 때문에 화학선택성 문제가 발생할 수 있다.
- 카보닐과 아민 사이의 반응은 평형 상태에 있는데, 물이 제거되지 않으면 카보닐을 선호하는 쪽으로 평형이 이루어진다.
- 반응 과정에서 환원에 민감한 중간체가 생성되어 화학선택성에 영향을 줄 수 있다.
- 아민 기질, 이민 중간체, 아민 생성물은 모두 촉매를 비활성화할 수 있다.
- 비고리형 이민은 E/Z 이성질체를 가진다. 이 때문에 입체선택적 환원을 하더라도 거울상 이성질체가 순수한 키랄 화합물을 만들기 어렵다.
이러한 문제, 특히 마지막 문제를 해결하기 위해 비대칭 환원적 아미노화 반응을 사용하여 키랄 아민의 거울상 이성질체를 순수하게 만들 수 있다.[5] 비대칭 환원적 아미노화에서는 비키랄에서 키랄로 전환될 수 있는 카보닐을 사용한다.[6] 카보닐은 수소(H2)와 키랄 촉매가 있는 환경에서 아민과 축합하여 이민 중간체를 형성하고, 이어서 환원되어 아민이 된다.[6] 그러나 이 방법은 여전히 비선택적이고 과알킬화되기 쉬운 1차 아민을 합성하는 데는 한계가 있다.[6]
6. 촉매 반응
최근에는 촉매를 이용한 환원적 아미노화 반응이 활발히 연구되고 있다. 일반적으로 촉매는 반응 효율과 원자 경제성을 높이고 폐기물 발생을 줄일 수 있어 화학량론적 반응보다 선호된다.[16] 이러한 반응은 균일 촉매 시스템 또는 불균일 촉매 시스템을 활용할 수 있다.[15]
균일 촉매 시스템의 예로는 이리듐 촉매를 사용한 케톤의 환원적 아미노화가 있다.[20] 균일 이리듐(III) 촉매는 카르복실산의 환원적 아미노화에 효과적인 것으로 나타났다.[16] 균일 촉매는 대부분의 불균일 시스템에 비해 환경적 및 경제적으로 더 친숙하기 때문에 종종 선호된다.[15]
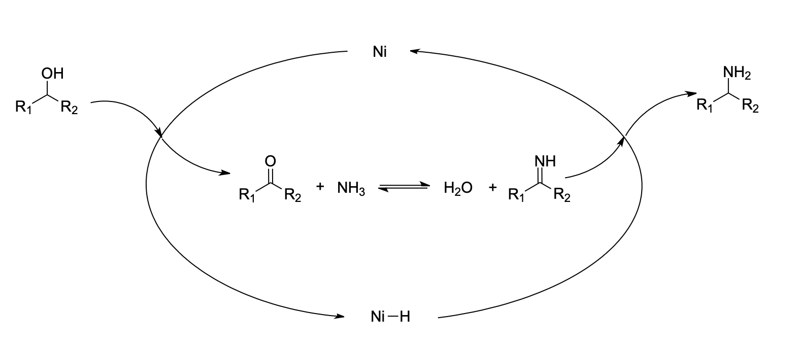
불균일 촉매 시스템의 예로는 알코올의 니켈(Ni) 촉매 환원적 아미노화가 있다.[15][18] 니켈은 풍부하고 비교적 우수한 촉매 활성으로 인해 환원적 아미노화의 촉매로 일반적으로 사용된다.[15][19]
산업에서는 트리에틸아민 및 디이소프로필에틸아민과 같은 3차 아민이 암모니아와 수소의 기체 혼합물과 적절한 촉매를 사용하여 케톤으로부터 직접 형성된다.
7. 생화학적 환원적 아미노화
생화학에서 탈수소효소는 α-케토산과 암모니아의 환원적 아미노화를 촉매하여 α-아미노산을 생성할 수 있다. 환원적 아미노화는 α-케토글루타르산으로부터 아미노산 글루탐산을 합성하는데 주로 사용되며, 생화학은 다른 아미노산에 질소를 도입하기 위해 주로 전이 아미노화에 의존한다.[23] 촉매로서 효소를 사용하는 것은 효소의 활성 부위가 종종 입체 특이성을 가지며 특정 거울상 이성질체를 선택적으로 합성할 수 있기 때문에 유리하다.[24] 이는 제약 산업, 특히 신약 개발에 유용하며, 거울상 이성질체 쌍이 체내에서 서로 다른 반응성을 가질 수 있기 때문이다.[1][25] 또한, 효소 생물 촉매는 반응성이 매우 선택적이어서 보호기를 사용하지 않고 다른 작용기가 있는 상태에서도 사용할 수 있다.[24][26] 예를 들어, 이민 환원 효소(IREDs)라고 불리는 효소는 키랄 아민을 형성하기 위해 직접적인 비대칭 환원적 아미노화를 촉매하는 데 사용될 수 있다.[1][26]
아미노산의 생합성은 α-케토산의 환원적 아미노화에 의해 이루어진다.
8. 친환경 화학 (Green Chemistry)
환원적 아미노화는 할로겐화물을 이용한 SN2 반응과 같이 알킬 기질에 아민을 도입하는 다른 방법보다 일반적으로 사용된다. 이는 온화한 조건에서 수행할 수 있고 질소 함유 화합물에 대한 선택성이 높기 때문이다.[21][22] 환원적 아미노화는 원-팟 반응으로 순차적으로 일어날 수 있어 중간 정제의 필요성을 없애고 폐기물을 줄인다.[21] 일부 다단계 합성 경로는 원-팟 환원적 아미노화를 통해 한 단계로 축소되었다.[21] 이는 환원적 아미노화를 친환경 화학에서 아민을 생산하는 매우 매력적인 방법으로 만든다.
9. 대중문화
비평가들의 호평을 받은 드라마 ''브레이킹 배드''에서 주인공 월터 화이트는 고순도 메스암페타민을 생산하기 위해 환원적 아미노화 반응을 사용하며, 페닐-2-프로판온과 메틸아민에 의존한다.
참조
[1]
논문
Multifunctional biocatalyst for conjugate reduction and reductive amination
https://www.nature.c[...]
2022-04-07
[2]
논문
Reductive Amination of Aldehydes and Ketones with Sodium Triacetoxyborohydride. Studies on Direct and Indirect Reductive Amination Procedures 1
https://pubs.acs.org[...]
1996-01-01
[3]
논문
Recent Development on Catalytic Reductive Amination and Applications
https://www.eurekase[...]
2008
[4]
논문
Intramolecular reductive amination strategy to the synthesis of (R)-N-Boc-2-hydroxymethylmorpholine, N-(3,4-dichlorobenzyl)(R)-2-hydroxymethylmorpholine, and (R)-2-benzylmorpholine
https://www.scienced[...]
2010-03-13
[5]
논문
Asymmetric Reductive Amination
https://link.springe[...]
Springer Berlin Heidelberg
2023-11-06
[6]
논문
Recent Progress in Transition-Metal-Catalyzed Asymmetric Reductive Amination
https://pubs.acs.org[...]
2021-11-19
[7]
논문
Lithium cyanohydridoborate, a versatile new reagent
https://pubs.acs.org[...]
1969-07
[8]
논문
Reductive Amination of Aldehydes and Ketones with Sodium Triacetoxyborohydride. Studies on Direct and Indirect Reductive Amination Procedures1
https://pubs.acs.org[...]
1996-01-01
[9]
논문
A Review on the Use of Sodium Triacetoxyborohydride in the Reductive Amination of Ketones and Aldehydes
https://pubs.acs.org[...]
2006-09-01
[10]
논문
Density Functional Theory Study on the Selective Reductive Amination of Aldehydes and Ketones over Their Reductions to Alcohols Using Sodium Triacetoxyborohydride
https://pubs.acs.org[...]
2022-08-30
[11]
논문
Hitchhiker's Guide to Reductive Amination
http://www.thieme-co[...]
2019-07
[12]
서적
Practical Organic Chemistry, 4th Ed.
https://www.scribd.c[...]
Longman
[13]
논문
Nouvelle méthode générale de préparation des amines à partir des aldéhydes ou des cétones
http://gallica.bnf.f[...]
[14]
간행물
α-Phenylethylamine
[15]
논문
The Acquisition of Primary Amines from Alcohols through Reductive Amination over Heterogeneous Catalysts
2023-10-07
[16]
논문
Iridium-catalyzed reductive amination of carboxylic acids
https://www.scienced[...]
2023-02-01
[17]
논문
Redox Economy in Organic Synthesis
https://onlinelibrar[...]
2009-04-06
[18]
논문
Synthesis and characterization of hierarchical ZSM-5 zeolite containing Ni nanoparticles for one-pot reductive amination of aldehydes with nitroarenes
https://zenodo.org/r[...]
[19]
논문
Nickel and Palladium Catalysis: Stronger Demand than Ever
https://pubs.acs.org[...]
2022-01-21
[20]
논문
Reductive Amination of Ketonic Compounds Catalyzed by Cp*Ir(III) Complexes Bearing a Picolinamidato Ligand
https://pubs.acs.org[...]
2019-09-06
[21]
논문
One-Pot Consecutive Reductive Amination Synthesis of Pharmaceuticals: From Biobased Glycolaldehyde to Hydroxychloroquine
http://dx.doi.org/10[...]
2022-05-12
[22]
논문
Sustainable access to renewable ''N''-containing chemicals from reductive amination of biomass-derived platform compounds
http://dx.doi.org/10[...]
2020
[23]
문서
Biochemistry—The Chemical Reactions of Living Cells, Vol. 2
Academic Press
2003
[24]
논문
Complexity reduction and opportunities in the design, integration and intensification of biocatalytic processes for metabolite synthesis
2022-07-22
[25]
논문
The Significance of Chirality in Drug Design and Development
https://www.eurekase[...]
2011
[26]
논문
Imine Reductases: Multifunctional Biocatalysts with Varying Active Sites and Catalytic Mechanisms
https://chemistry-eu[...]
2022-11-22
[27]
문서
1996
[28]
문서
2004
[29]
서적
Organic Synthesis : the disconnection approach
Wiley-Blackwell
본 사이트는 AI가 위키백과와 뉴스 기사,정부 간행물,학술 논문등을 바탕으로 정보를 가공하여 제공하는 백과사전형 서비스입니다.
모든 문서는 AI에 의해 자동 생성되며, CC BY-SA 4.0 라이선스에 따라 이용할 수 있습니다.
하지만, 위키백과나 뉴스 기사 자체에 오류, 부정확한 정보, 또는 가짜 뉴스가 포함될 수 있으며, AI는 이러한 내용을 완벽하게 걸러내지 못할 수 있습니다.
따라서 제공되는 정보에 일부 오류나 편향이 있을 수 있으므로, 중요한 정보는 반드시 다른 출처를 통해 교차 검증하시기 바랍니다.
문의하기 : help@durumis.com