계통학
"오늘의AI위키"의 AI를 통해 더욱 풍부하고 폭넓은 지식 경험을 누리세요.
1. 개요
계통학은 생물 간의 진화적 관계를 나타내는 계통수를 연구하는 학문이다. 계통수는 살아있는 생물이나 화석의 진화적 관계를 나무 모양으로 나타내며, 뿌리 유무에 따라 공통 조상과의 관계를 표현한다. 계통수 추론에는 최적성 기준, 최대가능도, 베이지안 추론 등의 계산적 방법이 사용되며, 분류학과의 관계를 통해 생물의 분류 체계를 정립하는데 기여한다. 계통학은 에른스트 헤켈의 요약 이론을 거쳐 발전해왔으며, 약학, 생물 다양성, 전염병 역학, 언어학, 고고학 등 다양한 분야에 응용되어 활용된다.
더 읽어볼만한 페이지
- 계통학 - 측계통군
측계통군은 공통 조상과 그 후손의 일부를 포함하지만 모든 자손을 포함하지 않는 생물 그룹으로, 분지학에서는 진화적 관계를 정확히 반영하지 못한다고 보아 일반적으로 인정하지 않으며, 파충류, 어류, 원핵생물 등이 대표적이다. - 계통학 - 자매군
자매군은 계통 발생 나무에서 최근 공통 조상을 공유하는 두 분류군을 지칭하며, 이는 공통 조상의 다른 모든 자손들과 함께 단일 계통군을 형성하고, 분석 대상에 따라 구성이 달라질 수 있다. - 생물정보학 - Rosetta@home
Rosetta@home은 분산 컴퓨팅 플랫폼 BOINC를 활용하여 단백질 구조 예측 연구를 수행하며, 신약 개발 및 질병 연구에 기여하는 것을 목표로 한다. - 생물정보학 - 발현체학
- 진화생물학 - 살아있는 화석
살아있는 화석은 화석 기록에서 오랜 기간 동안 형태적 변화가 거의 없이 나타나는 생물을 의미하며, 진화와 종분화를 이해하는 데 중요한 역할을 한다. - 진화생물학 - 적응
적응은 생물이 환경에 더 잘 생존하고 번식하도록 돕는 진화 과정으로, 형태, 행동, 생리적 특징 등 다양한 측면에서 유전적 변화, 공진화, 의태 등의 방식으로 나타난다.
| 계통학 | |
|---|---|
| 계통학 | |
![]() | |
| 개요 | |
| 분야 | 진화생물학, 분류학, 계통분류학 |
| 목표 | 생물 종의 진화적 역사와 관계 이해 |
| 방법 | 유전적 데이터, 형태학적 데이터, 분자 데이터 분석 |
| 역사 | |
| 기원 | 19세기 찰스 다윈의 진화론 |
| 발전 | 분자 생물학 발전과 함께 급속한 성장 |
| 방법론 | |
| 데이터 수집 | 형태학적 특징, DNA 서열, 단백질 서열 등 |
| 계통수 구축 | 최대절약법 최대우도법 베이즈 추론 |
| 분자 시계 | 유전자 변이율을 사용하여 종 분기 시점 추정 |
| 계통수 | |
| 종류 | 분기도 계통도 계통수 |
| 표현 | 나무 모양 그래프 뿌리 있는 나무 vs 뿌리 없는 나무 단일 계통군, 측계통군, 다계통군 |
| 응용 | |
| 생물 분류 | 종의 진화적 관계 기반 분류 체계 확립 |
| 질병 연구 | 감염병의 확산 경로 추적 및 진화 연구 |
| 유전체학 | 유전체 데이터 분석을 통한 종 간 관계 규명 |
| 보존 생물학 | 멸종 위기 종의 보존 전략 수립 |
| 법의학 | HIV 전파 사례의 법적 증거로 사용 |
| 관련 분야 | |
| 관련 학문 | 분자생물학 생물정보학 전산생물학 진화발생생물학 |
| 관련 개념 | 분기학 계통분류학 분류군 유전자 수평 이동 |
2. 계통수

분류학은 다양한 생물들을 쉽게 파악하기 위한 분류 체계를 만드는 것이 초기 목적이었다. 진화론이 제창된 이후에는 진화의 양상을 표현하는 목적(즉, 계통학적 목적)이 추가되었으나, 기존의 분류를 주목적으로 하는 사고방식은 곧바로 사라지지 않았다. 해켈식 계통수에서처럼 진화한 것이 위쪽에 그려지는 것처럼, 계통뿐만 아니라 진화의 단계에서도 나누는 사고방식(예: 파충류의 일파인 조류를 파충류에서 분리)이 계속되었다.
20세기 중반, 기존 분류학적 사고방식의 자의성과 부정확성 때문에 표현형 분류학(phenetics)과 분지학(cladistics)이라는 두 가지 대체 사고방식이 제창되었다.
표현형 분류학은 여러 형질을 동시에 비교하여 생물 간의 근연 관계를 정량적으로 명확히 하는 방법이다. 객관적인 분류에 주안점을 두며, 진화 계통은 반드시 고려하지 않는다. 현재는 크게 중시되지 않지만, 분자 계통학은 염기 배열 등의 표현형 분류학적 비교에서 시작되었다.
분지학은 진화에 따른 분지 패턴을 정확하게 밝히려는, 계통학의 방법론이다. 표현형 분류학과 마찬가지로 여러 형질을 동시에 비교하지만, 가능한 한 분지 횟수가 적은 진화 경로를 옳다고 보는 (최소 비용의 원리) 것이 특징이다. 이 방식은 점차 분류학에도 도입되어 공룡 등 화석 생물 연구에서 주류가 되고 있으며, 특히 분자 계통학에 기반한 분류에서 중요하다.
2. 1. 정의
계통수의 끝 부분은 살아있는 분류군이나 화석이 될 수 있으며, 진화 혈통의 끝 또는 현재를 나타낸다.[96] 계통수는 뿌리를 내리거나 내리지 않을 수 있다. 뿌리가 있는 계통수의 뿌리는 가상의 공통 조상 또는 공통 혈통을 나타낸다. 뿌리가 없는 계통수는 조상 계보에 대해 가정하지 않으며, 해당 분류군의 기원이나 뿌리 또는 추론된 진화적 변형의 방향을 나타내지 않는다.[96]2. 2. 계통수 추론
계통수를 추론하는 일반적인 방법에는 최적성 기준과 간결성, 최대 가능성 (ML) 및 MCMC 기반 베이지안 추론 방법을 구현하는 계산적 접근이 포함된다. 이러한 방법들은 관찰된 진화를 설명하는 수학적 모델에 의존한다.[99][100][101]20세기 중반에는 형태학의 전반적인 유사성 또는 유사한 관찰 가능한 특성(표현형 또는 DNA의 전체 유사성, DNA 서열이 아님)을 기반으로 계통수를 구성하기 위해 거리 매트릭스 기반 방법을 사용한 페네틱스가 널리 사용되었으나, 현재는 분자 계통학적 방법이 주류를 이루고 있다.
1950년 이전에는 계통 발생적 추론이 일반적으로 개연성을 가지는 모델로 제시되었다. 그러나 이 방법은 종종 모호하고 대안 가설을 평가하기 위한 명확한 기준이 없었다.
현재는 NCBI와 같은 데이터베이스를 이용하여 누구나 쉽게 계통수를 추론할 수 있다.
3. 분류학과의 관계
분류학은 생물을 확인, 명명 및 분류하는 학문이다.[4] 계통 분류와 비교하여 분류는 종이 분류군의 특징을 가지고 있는지 여부를 강조한다.[4] 카롤루스 린네우스가 1700년대에 개발한 린네 분류 체계는 현대 분류 방법의 기초이다.[10] 현대 분류학은 일반적으로 계통 발생 데이터를 기반으로 하며, 많은 계통 분류학자들은 단일 계통 분류군만 명명된 그룹으로 인식해야 한다고 주장한다. 분류가 추론된 진화 역사에 의존하는 정도는 분류학 학교에 따라 다르다.
분류학은 다양한 생물들을 쉽게 파악할 수 있도록 분류 체계를 만드는 것이 초기 목적이었다. 진화론이 제창된 이후에는 여기에 진화의 양상을 표현하는 목적(계통학적 목적)이 추가되었지만, 기존의 분류를 주목적으로 하는 사고방식이 곧 사라진 것은 아니다.
20세기 중반, 기존의 분류학적 사고방식에 자의적이거나 부정확한 점이 많다는 이유로, 표현형 분류학과 분지학(분지론)의 두 가지 사고방식이 제창되었다.
표현형 분류학(phenetics)은 생물의 많은 형질을 동시에 비교하여, 가까운 것과 먼 것을 정량적으로 명확히 하는 사고방식이다. 이는 분류를 객관적으로 하는 데 주안점을 두고, 진화 계통은 반드시 고려하지 않는다.
분지학(cladistics)은 진화에 따른 분지 패턴을 정확하게 명확히 하려는 사고방식으로(분지 분류학이라고도 한다) 계통학의 방법론이다. 이 사고방식은 점차 분류학에도 도입되어 공룡 등 화석 생물의 연구에서 주류가 되고 있다. 현재는 특히 분자 계통학에 기반한 분류에서도 중요한 사고방식이다.
4. 발전 과정
에른스트 헤켈의 요약 이론은 19세기 후반 널리 받아들여졌는데, "개체 발생이 계통 발생을 반복한다"는 내용을 담고 있다.[102][103] 즉, 한 개체의 발생 과정이 그 종의 조상들이 겪은 진화 과정을 반영한다는 것이다. 그러나 이 이론은 오랫동안 받아들여지지 않았고, 개체 발생의 진화가 그 자리를 대신했다. 종의 계통 발생 역사를 개체 발생에서 직접 읽을 수는 없지만, 개체 발생의 특성은 계통 발생 분석에 활용될 수 있다. 분지학적으로 가까운 두 종은 배아 단계에서도 공통된 특성을 공유한다.
계통학 발전 과정은 다음과 같다.
| 연도 | 사건 | 기여자 | 비고 |
|---|---|---|---|
| 14세기 | lex parsimoniae (최소 진화 원칙) 제안[99][100][101] | 윌리엄 오컴 | 아리스토텔레스까지 거슬러 올라가는 선구적인 개념. 오컴의 면도날 참고. |
| 1763년 | 베이즈 확률 개념 제시[21] | 토마스 베이즈 | 선구적인 개념. 1950년대에 부활. |
| 18세기 | 최초로 ML(최대 가능성) 사용 추정 | 피에르 시몽 라플라스 | 선구적인 개념. 라플라스 분포 참고. |
| 1809년 | 동물철학에서 진화론 제시 | 장바티스트 라마르크 | 선구적인 개념. 볼테르, 데카르트, 라이프니츠 등이 예고.[22] 아낙시만드로스 등도 참고.[23] |
| 1837년 | 다윈의 노트에 진화 나무 등장[24] | 찰스 다윈 | |
| 1840년 | 최초의 고생물학적 "생명의 나무" 출판[25] | 에드워드 히치콕 | ![]() |
| 1843년 | 상동 기관과 상사 기관(상동) 구분 | 리처드 오언 | 선구적인 개념 |
| 1858년 | 가상의 나무 발표[26] | 하인리히 게오르크 브론 | ![]() |
| 1858년 | 진화론 정교화[27] | 다윈, 월리스 | 종의 기원 참고. |
| 1866년 | 최초로 계통 발생에 기반한 진화 나무 발표 | 에른스트 헤켈 | |
| 1893년 | 돌로의 특징 상태 비가역성 법칙 제시[29] | 선구적인 개념[30] | |
| 1912년 | ML(최대 가능성) 권장, 분석 및 대중화 | 로널드 피셔 | 선구적인 개념. 20세기 "현대 종합" 참고. |
| 1921년 | "계통 발생" 용어 사용, 고대 특징과 특수화된 특징 구분[31] | 틸리아드 | |
| 1940년 | "클레이드" 용어 제안[32] | 뤼시앵 퀴노 | [33] |
| 1947년 | Kladogenesis 용어 도입[34] | 베르나르트 렌슈 | 1959년 영어로 번역됨.[35] |
| 1949년 | 잭나이프 재표본 추출 개발[57] | 모리스 퀘누이 | 선구적인 개념. |
| 1950년 | 계통 분류학 고전적 형태 형식화[36] | 빌리 헤니히 | |
| 1952년 | 기본 계획 분기 방법 개발[37] | 윌리엄 와그너 | |
| 1957년 | "클라도제네시스" 정의, "클레이드" 용어 소개[38] | 줄리언 헉슬리 | [33] |
| 1960년 | "클레이디스틱" 용어 제안[39] | 아서 케인, 제프리 에인스워스 해리슨 | |
| 1963년 | 계통 유전학에 ML(최대 가능성) 사용 최초 시도[40] | 에드워즈, 카발리-스포르자 | |
| 1965년 | 카민-소칼 최소 진화 개발[41] | 카민, 소칼 | 최초의 최소 진화(최적화) 기준, 최초의 클레이디스틱 분석 컴퓨터 프로그램/알고리즘 |
| 1965년 | 특징 호환성 방법(클리크 분석) 도입[42] | 카민, 소칼, E. O. 윌슨 | |
| 1966년 | 헤니히 저작 영어 번역[43], "클레이디스틱", "클레이도그램" 용어 생성 | ||
| 1969년 | 동적 및 연속 가중치 개발[44] | 제임스 패리스 | |
| 1969년 | 와그너 최소 진화, CI(일관성 지수) 개발[45] | 클루게, 패리스 | |
| 1969년 | 클리크 분석에 대한 쌍방향 호환성 도입[46] | 르 퀘스네 | |
| 1970년 | 와그너 최소 진화 일반화[47] | 패리스 | |
| 1971년 | 계통 유전학에 ML(최대 가능성) 최초 성공적 적용(단백질 서열)[48] | 네이먼 | |
| 1971년 | 피치 최소 진화 개발[49] | 월터 M. 피치 | 최소 진화 참고. |
| 1971년 | NNI(가장 가까운 이웃 교환) 개발 | 로빈슨,[50] 무어 등 | 최초의 가지 교환 검색 전략 |
| 1971년 | ME(최소 진화) 개발[51] | 키드, 스가라멜라-존타 | |
| 1972년 | 아담스 합의 개발[52] | 아담스 | |
| 1976년 | 계급에 대한 접두사 시스템 개발[53] | 패리스 | |
| 1977년 | 돌로 최소 진화 개발[54] | 패리스 | |
| 1979년 | 넬슨 합의 개발[55] | 넬슨 | |
| 1979년 | MAST(최대 일치 부분 나무)((GAS) 최대 일치 부분 나무) 합의 방법 개발[56] | 고든 | |
| 1979년 | 부트스트래핑 개발[57] | 브래들리 에프론 | 선구적인 개념 |
| 1980년 | PHYLIP(계통 발생 분석 소프트웨어 패키지) 개발 | 조셉 펠젠슈타인 | ![]() |
| 1981년 | 다수결 합의 개발[58] | 마르구쉬, 맥모리스 | |
| 1981년 | 엄격 합의 개발[59] | 소칼, 로흘프 | |
| 1981년 | 최초의 계산 효율적인 ML(최대 가능성) 알고리즘 개발[60] | 펠젠슈타인 | |
| 1982년 | PHYSIS 개발 | 마이케비치, 패리스 | |
| 1982년 | 분기 한계 개발[61] | 헨디, 페니 | |
| 1985년 | 결합된 표현형 및 유전형 증거 기반 진핵생물 최초 클레이디스틱 분석[62] | 다이애나 립스컴 | |
| 1985년 | 클레이디스틱 창간 | ||
| 1985년 | 부트스트래핑 최초 계통 발생 적용[63] | 펠젠슈타인 | |
| 1985년 | 잭나이프 최초 계통 발생 적용[64] | 스콧 라니언 | |
| 1986년 | MacClade 개발 | 매디슨, 매디슨 | |
| 1987년 | 이웃 결합 방법 개발[65] | 사이토, 네이 | |
| 1988년 | Hennig86(버전 1.5) 개발 | 패리스 | |
| 1988년 | 브레머 지지도(붕괴 지수) 개발[66] | 브레머 | |
| 1989년 | RI(보존 지수), RCI(재조정 일관성 지수) 개발[67] | 패리스 | |
| 1989년 | HER(상동 과잉 비율) 개발[68] | 아치 | |
| 1990년 | 결합 가능한 구성 요소(준엄격) 합의 개발[69] | 브레머 | |
| 1990년 | SPR(서브트리 가지치기 및 재접목), TBR(트리 이등분 및 재연결) 개발[70] | 스워포드, 올슨 | |
| 1991년 | DDI(데이터 결정 지수) 개발[71][72] | 골로보프 | |
| 1991년 | 표현형 증거 기반 진핵생물 최초 클레이디스틱 분석 | 립스컴 | |
| 1993년 | 함축 가중치 개발[73] | 골로보프 | |
| 1994년 | 축소된 합의: 뿌리 있는 나무에 대한 RCC(축소된 클레이디스틱 합의) 개발[74] | 윌킨슨 | |
| 1995년 | 축소된 합의 RPC(축소된 분할 합의) 뿌리 없는 나무에 대해 개발[75] | 윌킨슨 | |
| 1996년 | BI(베이지안 추론) 최초 작동 방법 개발 | 리,[76] 마우,[77] 라날라, 양[78] | MCMC(마르코프 체인 몬테 카를로) 사용 |
| 1998년 | TNT(새로운 기술을 사용한 나무 분석) 개발 | 골로보프, 패리스, 닉슨 | |
| 1999년 | Winclada 개발 | 닉슨 | |
| 2003년 | 대칭적 재표본 추출 개발[79] | 골로보프 | |
| 2004, 2005년 | 유사성 측정(콜모고로프 복잡도 근사치 사용) 또는 NCD(정규화된 압축 거리) 개발 | 리 등,[80] 칠리브라시, 비타니[81] |
4. 1. 에른스트 헤켈의 요약 이론
19세기 후반, 에른스트 헤켈의 요약 이론 또는 생물유전학적 기본법칙이 널리 받아들여졌다. 이는 "개체 발생이 계통 발생을 반복한다"는 것이다. 즉, 세균에서 성체까지의 일생 동안 단일 유기체의 발달은 그것이 속한 종의 연속 조상의 성체 단계를 연속적으로 반영한다는 것이었다.[102][103] 그러나 이 이론은 오랫동안 거부되었고, 대신 개체 발생의 진화가 받아들여졌다. 헤켈이 생각했던 것처럼 종의 계통 발생 역사는 개체 발생에서 직접 읽을 수 없지만, 개체 발생의 특성은 계통 발생 분석을 위한 데이터로 사용될 수 있다. 분지학적으로 더 밀접하게 관련된 두 종이 가진 특성은 그들의 배아도 공유하는 특성이다.4. 2. 주요 연구사
| 연도 | 사건 | 기여자 | 비고 |
|---|---|---|---|
| 14세기 | lex parsimoniae (최소 진화 원칙) 제안[99][100][101] | 윌리엄 오컴 | 아리스토텔레스까지 거슬러 올라가는 선구적인 개념. 오컴의 면도날 참고. |
| 1763년 | 베이즈 확률 개념 제시[21] | 토마스 베이즈 | 선구적인 개념. 1950년대에 부활. |
| 18세기 | 최초로 ML(최대 가능성) 사용 추정 | 피에르 시몽 라플라스 | 선구적인 개념. 라플라스 분포 참고. |
| 1809년 | 동물철학에서 진화론 제시 | 장바티스트 라마르크 | 선구적인 개념. 볼테르, 데카르트, 라이프니츠 등이 예고.[22] 아낙시만드로스 등도 참고.[23] |
| 1837년 | 다윈의 노트에 진화 나무 등장[24] | 찰스 다윈 | |
| 1840년 | 최초의 고생물학적 "생명의 나무" 출판[25] | 에드워드 히치콕 | |
| 1843년 | 상동 기관과 상사 기관(상동) 구분 | 리처드 오언 | 선구적인 개념 |
| 1858년 | 가상의 나무 발표[26] | 하인리히 게오르크 브론 | 선구적인 개념. |
| 1858년 | 진화론 정교화[27] | 다윈, 월리스 | 종의 기원 참고. |
| 1866년 | 최초로 계통 발생에 기반한 진화 나무 발표 | 에른스트 헤켈 | 선구적인 개념. |
| 1893년 | 돌로의 특징 상태 비가역성 법칙 제시[29] | 선구적인 개념[30] | |
| 1912년 | ML(최대 가능성) 권장, 분석 및 대중화 | 로널드 피셔 | 선구적인 개념. 20세기 "현대 종합" 참고. |
| 1921년 | "계통 발생" 용어 사용, 고대 특징과 특수화된 특징 구분[31] | 틸리아드 | |
| 1940년 | "클레이드" 용어 제안[32] | 뤼시앵 퀴노 | [33] |
| 1947년 | Kladogenesis 용어 도입[34] | 베르나르트 렌슈 | 1959년 영어로 번역됨.[35] |
| 1949년 | 잭나이프 재표본 추출 개발[57] | 모리스 퀘누이 | 선구적인 개념. |
| 1950년 | 계통 분류학 고전적 형태 형식화[36] | 빌리 헤니히 | |
| 1952년 | 기본 계획 분기 방법 개발[37] | 윌리엄 와그너 | |
| 1957년 | "클라도제네시스" 정의, "클레이드" 용어 소개[38] | 줄리언 헉슬리 | [33] |
| 1960년 | "클레이디스틱" 용어 제안[39] | 아서 케인, 제프리 에인스워스 해리슨 | |
| 1963년 | 계통 유전학에 ML(최대 가능성) 사용 최초 시도[40] | 에드워즈, 카발리-스포르자 | |
| 1965년 | 카민-소칼 최소 진화 개발[41] | 카민, 소칼 | 최초의 최소 진화(최적화) 기준, 최초의 클레이디스틱 분석 컴퓨터 프로그램/알고리즘 |
| 1965년 | 특징 호환성 방법(클리크 분석) 도입[42] | 카민, 소칼, E. O. 윌슨 | |
| 1966년 | 헤니히 저작 영어 번역[43], "클레이디스틱", "클레이도그램" 용어 생성 | ||
| 1969년 | 동적 및 연속 가중치 개발[44] | 제임스 패리스 | |
| 1969년 | 와그너 최소 진화, CI(일관성 지수) 개발[45] | 클루게, 패리스 | |
| 1969년 | 클리크 분석에 대한 쌍방향 호환성 도입[46] | 르 퀘스네 | |
| 1970년 | 와그너 최소 진화 일반화[47] | 패리스 | |
| 1971년 | 계통 유전학에 ML(최대 가능성) 최초 성공적 적용(단백질 서열)[48] | 네이먼 | |
| 1971년 | 피치 최소 진화 개발[49] | 월터 M. 피치 | 최소 진화 참고. |
| 1971년 | NNI(가장 가까운 이웃 교환) 개발 | 로빈슨,[50] 무어 등 | 최초의 가지 교환 검색 전략 |
| 1971년 | ME(최소 진화) 개발[51] | 키드, 스가라멜라-존타 | |
| 1972년 | 아담스 합의 개발[52] | 아담스 | |
| 1976년 | 계급에 대한 접두사 시스템 개발[53] | 패리스 | |
| 1977년 | 돌로 최소 진화 개발[54] | 패리스 | |
| 1979년 | 넬슨 합의 개발[55] | 넬슨 | |
| 1979년 | MAST(최대 일치 부분 나무)((GAS) 최대 일치 부분 나무) 합의 방법 개발[56] | 고든 | |
| 1979년 | 부트스트래핑 개발[57] | 브래들리 에프론 | 선구적인 개념 |
| 1980년 | PHYLIP(계통 발생 분석 소프트웨어 패키지) 개발 | 조셉 펠젠슈타인 | |
| 1981년 | 다수결 합의 개발[58] | 마르구쉬, 맥모리스 | |
| 1981년 | 엄격 합의 개발[59] | 소칼, 로흘프 | |
| 1981년 | 최초의 계산 효율적인 ML(최대 가능성) 알고리즘 개발[60] | 펠젠슈타인 | |
| 1982년 | PHYSIS 개발 | 마이케비치, 패리스 | |
| 1982년 | 분기 한계 개발[61] | 헨디, 페니 | |
| 1985년 | 결합된 표현형 및 유전형 증거 기반 진핵생물 최초 클레이디스틱 분석[62] | 다이애나 립스컴 | |
| 1985년 | 클레이디스틱 창간 | ||
| 1985년 | 부트스트래핑 최초 계통 발생 적용[63] | 펠젠슈타인 | |
| 1985년 | 잭나이프 최초 계통 발생 적용[64] | 스콧 라니언 | |
| 1986년 | MacClade 개발 | 매디슨, 매디슨 | |
| 1987년 | 이웃 결합 방법 개발[65] | 사이토, 네이 | |
| 1988년 | Hennig86(버전 1.5) 개발 | 패리스 | |
| 1988년 | 브레머 지지도(붕괴 지수) 개발[66] | 브레머 | |
| 1989년 | RI(보존 지수), RCI(재조정 일관성 지수) 개발[67] | 패리스 | |
| 1989년 | HER(상동 과잉 비율) 개발[68] | 아치 | |
| 1990년 | 결합 가능한 구성 요소(준엄격) 합의 개발[69] | 브레머 | |
| 1990년 | SPR(서브트리 가지치기 및 재접목), TBR(트리 이등분 및 재연결) 개발[70] | 스워포드, 올슨 | |
| 1991년 | DDI(데이터 결정 지수) 개발[71][72] | 골로보프 | |
| 1991년 | 표현형 증거 기반 진핵생물 최초 클레이디스틱 분석 | 립스컴 | |
| 1993년 | 함축 가중치 개발[73] | 골로보프 | |
| 1994년 | 축소된 합의: 뿌리 있는 나무에 대한 RCC(축소된 클레이디스틱 합의) 개발[74] | 윌킨슨 | |
| 1995년 | 축소된 합의 RPC(축소된 분할 합의) 뿌리 없는 나무에 대해 개발[75] | 윌킨슨 | |
| 1996년 | BI(베이지안 추론) 최초 작동 방법 개발 | 리,[76] 마우,[77] 라날라, 양[78] | MCMC(마르코프 체인 몬테 카를로) 사용 |
| 1998년 | TNT(새로운 기술을 사용한 나무 분석) 개발 | 골로보프, 패리스, 닉슨 | |
| 1999년 | Winclada 개발 | 닉슨 | |
| 2003년 | 대칭적 재표본 추출 개발[79] | 골로보프 | |
| 2004, 2005년 | 유사성 측정(콜모고로프 복잡도 근사치 사용) 또는 NCD(정규화된 압축 거리) 개발 | 리 등,[80] 칠리브라시, 비타니[81] |
5. 분류군 샘플링의 영향
계통 분석에서 분류군 샘플링은 광범위한 집단의 진화 역사를 나타내기 위해 소수의 분류군을 선택하는 과정이다.[15] 이 과정은 계층적 샘플링 또는 분지군 기반 샘플링으로도 알려져 있다.[16] 대상 집단 내 모든 종을 비교하고 분석하는 데 필요한 자원이 제한되어 있기 때문에 이러한 방법이 사용된다.[15] 선택된 대표 집단에 따라 계통수의 구성과 정확도가 달라지며, 이는 유도된 계통 분석 결과에 영향을 미친다.[16]
게놈 데이터베이스에서 유기체의 불완전한 DNA 및 단백질 아미노산 서열과 같이 이용할 수 없는 데이터셋은 분류군 샘플링을 직접적으로 제한한다.[16] 결과적으로, 계통 분석 내에서 중요한 오차 원인은 부적절한 분류군 샘플 때문이다. 단계통군 내 유전자 샘플 수를 늘리면 정확도를 높일 수 있다. 반대로, 표적 계층 집단과 무관한 외군에서의 샘플링을 늘리면 정확도가 떨어질 수 있다. 긴 가지 인력은 이러한 현상에 대한 이론으로, 관련 없는 가지들이 잘못 분류되어 공유된 진화 역사를 암시하는 것이다.[15]
샘플링된 분류군 수를 늘리는 것이 분류군 당 샘플링된 유전자 수를 늘리는 것보다 계통 분석의 정확도를 더 향상시키는지에 대한 논쟁이 있다. 각 방법의 샘플링 방식의 차이는 서열 정렬에 사용되는 뉴클레오티드 부위 수에 영향을 미치며, 이는 의견 불일치에 기여할 수 있다. 예를 들어, 더 많은 총 뉴클레오티드 수를 사용하여 구성된 계통수는 일반적으로 더 정확하며, 이는 계통수의 부트스트래핑 반복성으로부터 무작위 샘플링을 통해 뒷받침된다.
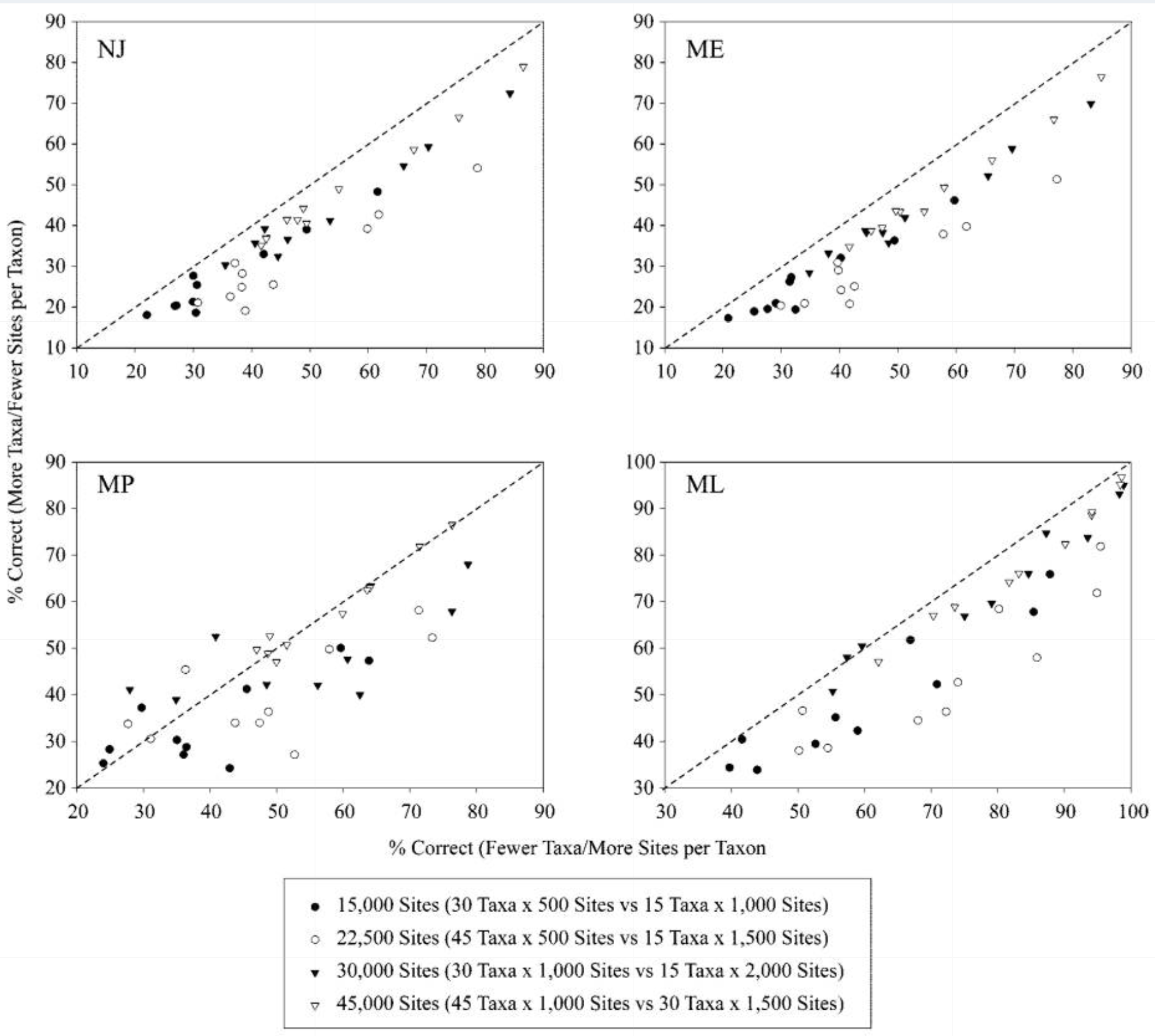
"분류군 샘플링, 생물정보학 및 계통 유전체학"에 제시된 그래프는 x축에 분류군 수가 적고 분류군 당 부위 수가 많은 계통수의 정확성과 y축에 분류군 수가 많고 분류군 당 부위 수가 적은 계통수의 정확성을 비교한다. 분류군 수가 적을수록 분류군 간에 더 많은 유전자가 샘플링된다. 반대로, 분류군 샘플링 그룹에 더 많은 분류군을 추가할수록 샘플링되는 유전자 수가 줄어든다. 각 방법은 샘플링된 총 뉴클레오티드 부위 수가 동일하다. 또한, 점선은 두 샘플링 방법 간의 1:1 정확도를 나타낸다. 그래프에서 볼 수 있듯이, 대부분의 점은 점선 아래에 위치하며, 이는 분류군 당 부위 수가 많은 분류군 수가 적은 경우 정확도가 높아지는 경향을 나타낸다. 수행된 연구에서는 네 가지 계통수 구성 모델(neighbor-joining(NJ), 최소 진화(ME), 가중치 없는 최대 단순성(MP), 최대 가능도(ML))을 사용하여 이론을 검증했다. 대부분의 모델에서 분류군 수가 적고 분류군 당 부위 수가 많은 경우 정확도가 더 높았다.
일반적으로, 거의 같은 수의 총 뉴클레오티드 부위를 정렬할 경우, 분류군 당 더 많은 유전자를 샘플링하는 것이 더 많은 분류군을 샘플링하는 것보다 부트스트래핑 반복성이 더 높다. 그러나 게놈 데이터베이스 내의 불균형 데이터셋으로 인해 드물게 샘플링된 유기체에서 분류군 당 유전자 비교를 늘리는 것이 점점 더 어려워지고 있다.[16]
6. 계통 발생 분석의 응용
계통 발생 분석은 생명 과학 및 다양한 학문 분야에서 널리 응용되고 있다.
약학 분야에서는 분지학 분석의 발전으로 약효를 가진 종을 더 정확하게 찾을 수 있게 되었다.[82] 협죽도과 식물처럼 특정 그룹을 약용으로 사용해 왔는데, 현대에는 특정 종의 가까운 친척을 연구하여 유용한 생물 활성 화합물을 발견하거나 기존 약물의 변형을 찾기도 한다.[82]
생물 다양성 연구에서 계통 분석은 다양한 생물 종 간의 진화적 관계를 이해하고 미래 변화를 예측하는 데 쓰인다. 새로운 기술 덕분에 생태계 보존에 필요한 희귀종을 식별하는 데도 도움이 된다.
전염병 역학에서는 유전체 데이터를 이용해 전염병 확산 패턴을 파악하고 공중 보건 전략을 세운다.[83] 계통역학 연구는 병원체의 계통 발생 특성을 분석하여 전파 패턴을 추론한다.[83] 숙주 접촉 네트워크 구조는 전염병 발생에 큰 영향을 미치므로, 효과적인 관리를 위해서는 전파 패턴을 이해하는 것이 중요하다.
산점도나 상자 그림 같은 그래프를 활용하여 병원체 확산 추세와 패턴을 분석하고, 잠재적 전파 경로나 초전파 사례를 찾기도 한다.[83]
생물학 외 분야에서도 계통 발생학적 방법이 활용된다. 비교언어학에서는 어족과 어파를 설정하고, 정량적 비교 언어학이나 어원학에서 언어의 진화를 연구한다.[85][104] 베이지안 계통 발생학을 이용해 언어 간의 관계를 재구성하기도 한다.[88]
팔레오그래피에서는 필사가들이 원본을 베끼면서 생기는 변화를 '돌연변이'로 간주하여 텍스트와 사본의 계통을 연구한다.[89]
고고학에서는 초기 호미닌의 손도끼,[90] 후기 구석기 시대 조각상,[91] 신석기 시대 돌 화살촉,[92] 청동기 시대 도자기,[93] 역사 시대 주택[94] 등 유물 연구에 계통 발생학이 적용된다.
사회 제도와 관습, 사본의 계통 등을 연구하는 문화 계통학도 있다.
6. 1. 약학
계통 분석은 밀접하게 관련된 유기체 그룹에 대한 약리학적 검사에 사용될 수 있다. 더 빠른 컴퓨터 프로그램과 향상된 분자 기술을 통한 분지학 분석의 발전으로 계통 발생 규명의 정밀도가 향상되어 약리학적 잠재력을 가진 종을 식별할 수 있게 되었다.[82]역사적으로 약리학적 목적을 위한 계통 발생 선별은 협죽도과 식물과 같이 기본적인 방식으로 사용되었다. 이 과에는 항암제인 빈크리스틴을 생산하는 것으로 알려진 ''카타란투스속''과 같은 알칼로이드 생산 종이 포함된다. 현대 기술을 통해 연구자들은 특정 종의 가까운 친척을 연구하여 중요한 생물 활성 화합물의 풍부함을 높이거나(예: 택솔을 위한 ''주목속'' 종) 알려진 의약품의 천연 변이체를 발견할 수 있다(예: 다른 형태의 빈크리스틴 또는 빈블라스틴을 위한 ''카타란투스속'' 종).[82]
6. 2. 생물 다양성
계통 분석은 균류를 포함한 다양한 생물 그룹의 진화 역사를 이해하고, 서로 다른 종 간의 관계를 파악하며, 미래의 진화적 변화를 예측하는 데 도움이 된다. 새로운 영상 시스템과 분석 기술을 통해 생물다양성이 풍부한 분야에서 더 많은 유전적 관계를 발견할 수 있게 되었으며, 이는 전 세계 생태계에 도움이 될 수 있는 희귀종을 식별하여 보존 노력을 지원할 수 있다.6. 3. 전염병 역학
전장유전체 서열 데이터는 전염병의 전파 역학을 이해하고 공중보건 전략을 수립하는 데 중요한 정보를 제공한다.[83] 전통적으로는 유전체 데이터와 역학적 데이터를 결합하여 전파 사건을 재구성했지만, 최근에는 유전체 데이터만을 이용하여 전파 패턴을 추론하는 계통역학 연구가 진행되고 있다. 계통역학은 병원체 계통 발생의 특성을 분석하여 전파 패턴을 추론하며, 합체 이론을 적용하거나 "트리 모양"을 분석하는 방법을 사용한다. 이러한 접근 방식은 계산량이 많지만 병원체 전파 역학에 대한 중요한 통찰력을 제공할 수 있다.[83]숙주 접촉 네트워크의 구조는 전염병 발생 역학에 큰 영향을 미치며, 효과적인 관리 전략은 이러한 전파 패턴을 이해하는 데 달려있다. 사슬형, 균질 네트워크, 초전파자를 포함하는 네트워크 등 다양한 접촉 네트워크 구조를 통해 확산되는 병원체 게놈은 고유한 패턴으로 돌연변이를 축적하여 계통 발생 트리의 모양에 뚜렷한 차이를 만든다. 연구자들은 다양한 유형의 접촉 네트워크에서 시뮬레이션된 박테리아 게놈 진화를 통해 생성된 계통 발생 트리의 구조적 특성을 분석하여 전파 패턴을 밝혀낼 수 있다. 이러한 특성은 실제 전염병 발생을 분석하는 데 사용되는 계산 분류기의 기반이 되며, 각 발생에 대한 전파 역학의 계산 예측은 알려진 역학적 데이터와 일치하는 경우가 많다.
다른 전파 네트워크는 정량적으로 다른 트리 모양을 생성한다. 트리 모양이 질병 전파 패턴에 대한 정보를 담고 있는지 확인하기 위해, 연구자들은 세 가지 유형의 발생 접촉 네트워크(균질, 초전파 및 사슬형)에서 박테리아 게놈의 진화를 시뮬레이션했다. 그 결과, 기본 숙주 접촉 네트워크에 따라 트리 토폴로지가 뚜렷한 차이를 보였다.
초전파 네트워크는 균질 접촉 네트워크보다 더 높은 Colless 불균형, 더 긴 사다리 패턴, 더 낮은 Δw 및 더 깊은 트리를 가진 계통 발생을 생성한다. 사슬형 네트워크의 트리는 다른 네트워크보다 변동성이 적고, 더 깊고, 불균형이 심하며, 더 좁다.
산점도는 감염된 개인 수와 감염 후 시간과 같이 두 변수 간의 관계를 시각화하여 병원체 전파 분석에 활용할 수 있다. 이러한 그래프는 병원체의 확산 추세와 패턴을 식별하고 잠재적 전파 경로 또는 초전파 이벤트를 강조하는 데 도움이 된다. 상자 그림은 데이터 세트의 범위, 중앙값, 사분위수 및 잠재적 이상값을 표시하여 병원체 전파 데이터를 분석하고 데이터 분포의 중요한 특징을 식별하는 데 유용하며, 전파 데이터의 차이점이나 유사점을 빠르게 파악할 수 있게 한다.[83]
6. 4. 생물학 이외의 분야
계통 발생학적 도구와 표현(계통수와 네트워크)은 언어학, 어원학, 팔레오그래피, 고고학 등 다양한 분야에 적용될 수 있다.비교언어학에서 어족과 어파는 생물학과 마찬가지로 계통학적 방법으로 확립된다.[104] 정량적 비교 언어학 분야에서 언어의 진화를 연구하거나, 구전 언어와 서면 텍스트 및 사본의 진화 연구인 어원학에서 그 예를 찾아볼 수 있다.[85] 계산 계통 발생학은 언어를 진화 시스템으로 조사하는 데 사용될 수 있는데, 인간 언어의 진화는 인간의 생물학적 진화와 밀접하게 관련되어 있기 때문이다. "계통수" 개념은 언어와 언어 분화 간의 관계를 나타내는 효율적인 방법으로 사용되며, 언어족 간의 연결과 연대에 대한 가설을 검증하는 방법으로도 사용된다. 예를 들어, 동족어를 문자로 사용하여 언어 간의 관계를 보여줄 수 있다.[86][87] 인도유럽어족의 계통수는 여러 언어 간의 관계를 시간 흐름에 따라 보여주는 동시에 단어와 어순의 유사성을 보여준다.[84]
하지만 언어는 혼합 등의 과정을 거쳐 복잡하게 형성되는 경우가 많기 때문에, 생물 종 간과 같은 순수한 계통수를 작성할 수 있는 경우는 많지 않다. 비교적 계통을 추적하기 쉬운 어족으로 인도유럽어족과 오스트로네시아어족이 있다.
어원학에서 계통 발생학을 사용하는 것에 대한 비판은 세 가지 유형이 있다. 첫 번째는 언어와 종이 다른 실체이므로 동일한 방법으로 두 가지를 모두 연구할 수 없다는 주장이다. 두 번째는 계통 발생학적 방법이 언어 데이터에 어떻게 적용되는가 하는 것이다. 세 번째는 계통수를 구성하는 데 사용되는 데이터 유형에 대한 논의이다.[86]
데이터의 수목성에 민감한 베이지안 계통 발생학 방법을 사용하면 지역적 및 전 세계적으로 언어 간의 관계를 재구성할 수 있다. 베이지안 계통 발생학을 사용하는 주된 두 가지 이유는 (1) 다양한 시나리오를 계산에 포함할 수 있고 (2) 출력이 단일 계통수가 아닌 계통수 샘플이라는 것이다.[88]
같은 과정을 텍스트와 사본에 적용할 수 있다. 역사적 저술과 사본 연구인 팔레오그래피에서 텍스트는 필사가들이 원본을 복사하여 작성했으며, 필사가가 원본을 정확하게 복사하지 않을 때 변경(즉, '돌연변이')이 발생했다.[89]
계통 발생학은 초기 호미닌 손도끼,[90] 후기 구석기 시대 조각상,[91] 신석기 시대 돌 화살촉,[92] 청동기 시대 도자기,[93] 그리고 역사 시대 주택과 같은 고고학적 유물에도 적용되었다.[94] 고고학자들은 유럽 후기 구석기 시대와 최초의 중석기 시대의 석재 투척 무기 형태의 계통수 위상과 발산 시간에 대한 불확실성을 정량화하기 위해 베이지안 방법을 사용하기도 했다.[95]
또한 인류 집단의 사회 제도와 관습, 사본의 계통 등을 폭넓게 다루는 문화 계통학도 존재한다.
참조
[1]
서적
A Greek-English lexicon
https://archive.org/[...]
Clarendon Press
[2]
웹사이트
phylogeny
http://www.biology-o[...]
Biology online
2013-02-15
[3]
웹사이트
Phylogenetic Trees
http://www.cs.tau.ac[...]
2001-01-01
[4]
서적
Taxonomy & Phylogeny
https://bio.libretex[...]
Biology LibreTexts
2019-06-23
[5]
논문
Deep whole-genome ctDNA chronology of treatment-resistant prostate cancer
https://www.nature.c[...]
2022-08-01
[6]
논문
The evolution of tumour phylogenetics: principles and practice
2017-04-01
[7]
논문
Population genetics of clonally transmissible cancers
https://www.nature.c[...]
2022
[8]
논문
HIV forensics: pitfalls and acceptable standards in the use of phylogenetic analysis as evidence in criminal investigations of HIV transmission
2007
[9]
웹사이트
Drug discovery - Understanding Evolution
https://evolution.be[...]
2021-07-07
[10]
서적
Linnaean Classification
https://bio.libretex[...]
Biology LibreTexts
2021-03-06
[11]
서적
Phylogenetic Inference
https://plato.stanfo[...]
Metaphysics Research Lab, Stanford University
2024-02-15
[12]
서적
Invertebrates
Sinauer Associates
[13]
간행물
Explanations in systematics
CRC Press
[14]
서적
Narratives and Theories in Natural History
Cambridge University Press
[15]
논문
Incomplete taxon sampling is not a problem for phylogenetic inference
2001-08-28
[16]
논문
Taxon Sampling, Bioinformatics, and Phylogenetics
https://doi.org/10.1[...]
2023-02-01
[17]
백과사전
Phylogeny
http://www.etymonlin[...]
[18]
웹사이트
Early Evolution and Development: Ernst Haeckel
https://evolution.be[...]
UC Museum of Paleontology
[19]
서적
The Beginnings of Human Life
Springer-Verlag Inc.
[20]
서적
The Process of Evolution
McGraw–Hill
[21]
논문
An Essay towards Solving a Problem in the Doctrine of Chances
[22]
서적
Evolution
Jones & Bartlett
[23]
강의
The Theory of Evolution
Teaching Company
[24]
웹사이트
Darwin's Tree of Life
http://www.nhm.ac.uk[...]
[25]
논문
Edward Hitchcock's Pre-Darwinian (1840) "Tree of Life"
https://doi.org/10.1[...]
2009-08-01
[26]
논문
Edward Hitchcock's Pre-Darwinian (1840) 'Tree of Life'
[27]
논문
On the Tendency of Species to form Varieties; and on the Perpetuation of Varieties and Species by Natural Means of Selection
[28]
논문
Deep phylogeny, ancestral groups and the four ages of life
2010-01-12
[29]
간행물
Les lois de l'évolution
[30]
논문
Dollo's Law and the Irreversibility of Digit Loss in Bachia
https://academic.oup[...]
[31]
논문
A New Classification of the Order Perlaria
[32]
서적
Comptes rendus Academie des sciences 0210
https://archive.org/[...]
Académie des sciences (France)
[33]
논문
"Cladus" and clade: a taxonomic odyssey
2021
[34]
논문
Neuere Probleme der Abstammungslehre Die Transspezifische Evolution
https://www.nature.c[...]
1948
[35]
논문
Evolutionary Divergence
https://www.nature.c[...]
1960
[36]
서적
Grundzüge einer Theorie der Phylogenetischen Systematik
Deutscher Zentralverlag
[37]
학술지
The fern genus Diellia: structure, affinities, and taxonomy
[38]
학술지
The Three Types of Evolutionary Process
https://www.nature.c[...]
1957-00-00
[39]
학술지
Phyletic Weighting
[40]
학술지
The reconstruction of evolution
[41]
학술지
A Method for Deducing Branching Sequences in Phylogeny
[42]
학술지
A Consistency Test for Phylogenies Based on Contemporaneous Species
[43]
서적
Phylogenetic systematics
Illinois University Press
[44]
학술지
A Successive Approximations Approach to Character Weighting
[45]
학술지
Quantitative Phyletics and the Evolution of Anurans
[46]
학술지
A Method of Selection of Characters in Numerical Taxonomy
[47]
학술지
Methods for Computing Wagner Trees
[48]
서적
Statistical Decision Theory and Related Topics
[49]
학술지
Toward Defining the Course of Evolution: Minimum Change for a Specific Tree Topology
[50]
학술지
Comparison of labeled trees with valency three
[51]
학술지
Phylogenetic analysis: Concepts and methods
[52]
학술지
Consensus Techniques and the Comparison of Taxonomic Trees
[53]
학술지
Phylogenetic Classification of Fossils with Recent Species
[54]
학술지
Phylogenetic Analysis Under Dollo's Law
[55]
학술지
Cladistic Analysis and Synthesis: Principles and Definitions, with a Historical Note on Adanson's Familles Des Plantes (1763-1764)
[56]
학술지
A Measure of the Agreement between Rankings
[57]
간행물
Bootstrap methods: another look at the jackknife
[58]
학술지
Consensus-trees
[59]
학술지
Taxonomic Congruence in the Leptopodomorpha Re-Examined
[60]
학술지
Evolutionary trees from DNA sequences: A maximum likelihood approach
[61]
학술지
Branch and bound algorithms to determine minimal evolutionary trees
[62]
학술지
The Eukaryotic Kingdoms
[63]
학술지
Confidence limits on phylogenies: an approach using the bootstrap
[64]
학술지
Detecting Internal Inconsistencies in Distance Data
[65]
학술지
The neighbor-joining method: A new method for reconstructing phylogenetic trees
[66]
학술지
The Limits of Amino Acid Sequence Data in Angiosperm Phylogenetic Reconstruction
[67]
학술지
The Retention Index and the Rescaled Consistency Index
[68]
학술지
Homoplasy Excess Ratios: New Indices for Measuring Levels of Homoplasy in Phylogenetic Systematics and a Critique of the Consistency Index
[69]
학술지
Combinable Component Consensus
[70]
서적
Phylogeny reconstruction
Sinauer Associates
[71]
논문
Homoplasy and the Choice Among Cladograms
[72]
논문
Random Data, Homoplasy and Information
[73]
논문
Estimating Character Weights During Tree Search
[74]
논문
Common Cladistic Information and its Consensus Representation: Reduced Adams and Reduced Cladistic Consensus Trees and Profiles
[75]
논문
More on Reduced Consensus Methods
[76]
논문
Phylogenetic Tree Construction Using Markov Chain Monte Carlo
[77]
논문
Bayesian Phylogenetic Inference via Markov Chain Monte Carlo Methods
[78]
논문
Probability distribution of molecular evolutionary trees: A new method of phylogenetic inference
[79]
논문
Improvements to resampling measures of group support
[80]
논문
The Similarity Metric
2004-12
[81]
논문
Clustering by Compression
2005-04
[82]
논문
Vincristine and Vinblastine Anticancer Catharanthus Alkaloids: Pharmacological Applications and Strategies for Yield Improvement
https://doi.org/10.1[...]
Springer International Publishing
2024-07-23
[83]
논문
Phylogenetic tree shapes resolve disease transmission patterns
https://academic.oup[...]
2014-01-01
[84]
논문
Darwinian perspectives on the evolution of human languages
2017
[85]
서적
Phylogenetic Methods and the Prehistory of Languages
https://web.archive.[...]
McDonald Institute for Archaeological Research
2021-01-19
[86]
논문
Computational Phylogenetics
2018-01-14
[87]
논문
Phylogenetics beyond biology
2018
[88]
논문
Bayesian phylogenetic analysis of linguistic data using BEAST
https://academic.oup[...]
2021-11-25
[89]
논문
Phylogenetics of artificial manuscripts
https://www.scienced[...]
2004-04-21
[90]
논문
Understanding Ancient Hominin Dispersals Using Artefactual Data: A Phylogeographic Analysis of Acheulean Handaxes
2009-10-14
[91]
서적
Cultural Phylogenetics
2016
[92]
논문
Bayesian inference of material culture phylogenies using continuous traits: A birth–death model for Late Neolithic/Early Bronze Age arrowheads from Northwestern Europe
[93]
논문
Modeling the Evolution of Ceramic Traditions Through a Phylogenetic Analysis of the Chaînes Opératoires: the European Bronze Age as a Case Study
2020-12-01
[94]
논문
Darwinian Evolutionism Is Applicable to Historical Archaeology
2000-03-01
[95]
논문
A macroevolutionary analysis of European Late Upper Palaeolithic stone tool shape using a Bayesian phylodynamic framework
2024-08
[96]
웹인용
Phylogenetic Trees
http://www.cs.tau.ac[...]
2022-02-03
[97]
웹인용
World's oldest DNA sequenced from a mammoth that lived more than 1 million years ago
https://www.cnn.com/[...]
2022-02-03
[98]
논문
Million-year-old mammoth genomes shatter record for oldest ancient DNA
http://www.nature.co[...]
2021-02-25
[99]
서적
Invertebrates
https://www.worldcat[...]
Sinauer Associates
2003
[100]
서적
Explanations in systematics
CRC Press
[101]
서적
Narratives and Theories in Natural History
Cambridge University Press
[102]
서적
The Beginnings of Human Life
Springer-Verlag Inc.
[103]
서적
The Process of Evolution
McGraw–Hill
[104]
서적
McDonald Institute for Archaeological Research
본 사이트는 AI가 위키백과와 뉴스 기사,정부 간행물,학술 논문등을 바탕으로 정보를 가공하여 제공하는 백과사전형 서비스입니다.
모든 문서는 AI에 의해 자동 생성되며, CC BY-SA 4.0 라이선스에 따라 이용할 수 있습니다.
하지만, 위키백과나 뉴스 기사 자체에 오류, 부정확한 정보, 또는 가짜 뉴스가 포함될 수 있으며, AI는 이러한 내용을 완벽하게 걸러내지 못할 수 있습니다.
따라서 제공되는 정보에 일부 오류나 편향이 있을 수 있으므로, 중요한 정보는 반드시 다른 출처를 통해 교차 검증하시기 바랍니다.
문의하기 : help@durumis.com



