아스코르브산
"오늘의AI위키"의 AI를 통해 더욱 풍부하고 폭넓은 지식 경험을 누리세요.
1. 개요
아스코르브산은 18세기 제임스 린드에 의해 항괴혈병 효과가 입증된 물질로, 이후 1932년 찰스 글렌 킹에 의해 항괴혈병 인자로 확인되었다. 1933년 월터 노먼 호워스는 아스코르브산의 구조를 밝히고 최초의 합성을 보고했으며, 호워스와 알베르트 센트죄르지는 이 화합물의 항괴혈병 효과를 고려하여 이름을 아스코르브산으로 명명했다. 아스코르브산은 푸란 기반 락톤으로, 산성, 염 형성, 친핵성 공격, 산화 등의 화학적 성질을 가지며, 환원제이자 항산화제로 작용한다. 산업적으로는 Reichstein 공정 또는 생명공학적 공정을 통해 포도당으로부터 제조되며, 요오드 적정법 등 다양한 분석법으로 함량을 측정한다. 식품 첨가물, 건강기능식품, 사진 현상액, 의약품 등 다양한 분야에서 활용되며, 벤조산과 함께 사용될 경우 미량의 벤젠이 생성될 수 있다는 보고가 있다.
더 읽어볼만한 페이지
- 퓨라논 - 비타민 C
비타민 C는 결합 조직 형성, 콜라겐 합성, 항산화 작용에 필수적인 영양소로, 괴혈병 예방을 위해 섭취가 권장되며, 인체에서 자체적으로 합성되지 않아 외부 섭취가 필요하다. - 퓨라논 - 파툴린
파툴린은 푸른곰팡이 등에 의해 생성되는 독성 물질로, 사과 및 사과 가공품에서 주로 발견되며 유전 독성을 지녀 여러 국가에서 최대 허용 농도를 규제한다. - 비타민 C - 제임스 린드
제임스 린드는 1716년 에든버러에서 태어난 영국의 군의관이자 의사로, 괴혈병 연구를 통해 오렌지와 레몬의 효과를 밝혀냈으며, 해군 위생 개선에도 기여했다. - 비타민 C - 괴혈병
괴혈병은 비타민 C 부족으로 생기는 병으로, 잇몸에서 피가 나거나 피부에 문제가 생기고 상처가 잘 낫지 않는 증상이 나타나며, 감귤류를 먹으면 예방하거나 치료할 수 있다. - 효소에 관한 - 피롤로퀴놀린 퀴논
피롤로퀴놀린 퀴논(PQQ)은 세균에서 발견되는 산화환원 반응 보조 인자로서, 여러 효소 활성에 관여하고 단백질과 결합하여 퀴노프로테인을 형성하며, 항산화 및 신경 보호 작용을 하는 것으로 알려졌지만 포유류 필수 영양소 여부는 불확실하고 코코아, 모유, 낫토 등에 존재한다. - 효소에 관한 - 필로퀴논
필로퀴논은 비타민 K₁이라고도 불리는 지용성 비타민으로, 동물에서는 혈액 응고와 뼈 형성에, 식물과 시아노박테리아에서는 광합성에 중요한 역할을 하며, 의학적으로는 출혈 장애 치료와 비타민 K 결핍증 예방에 사용된다.
| 아스코르브산 | |
|---|---|
| 아스코르브산 정보 | |
![]() | |
![]() | |
| IUPAC 이름 | (5R)-[(1S)-1,2-다이하이드록시에틸]-3,4-다이하이드록시푸란-2(5H)-온 |
| 다른 이름 | 비타민 C |
| 식별자 | |
| IUPHAR 리간드 | 4781 |
| UNII | PQ6CK8PD0R |
| SMILES | C([C@@H]([C@@H]1C(=C(C(=O)O1)O)O)O)O |
| CAS 등록번호 | 50-81-7 |
| ChEMBL | 196 |
| EINECS | 200-066-2 |
| ChemSpider ID | 10189562 |
| PubChem | 5785 |
| KEGG | D00018 |
| ChEBI | 29073 |
| 표준 InChI | 1S/C6H8O6/c7-1-2(8)5-3(9)4(10)6(11)12-5/h2,5,7-10H,1H2/t2-,5+/m0/s1 |
| 표준 InChIKey | CIWBSHSKHKDKBQ-JLAZNSOCSA-N |
| SMILES (단순화) | OC=1C(OC(=O)C=1O)[C@@H](O)CO |
| 성질 | |
| 분자식 | C6H8O6 |
| 겉모습 | 흰색 또는 연한 노란색 고체 |
| 밀도 | 1.65 g/cm³ |
| 녹는점 | 190 ~ 192 °C (분해) |
| 용해도 | 330 g/L |
| 에탄올 용해도 | 20 g/L |
| 글리세롤 용해도 | 10 g/L |
| 프로필렌 글리콜 용해도 | 50 g/L |
| 기타 용해도 | 다이에틸 에터, 클로로포름, 벤젠, 석유 에터, 오일, 지방에 불용성 |
| pKa | 4.10 (첫 번째), 11.6 (두 번째) |
| 약리학 | |
| ATC 코드 접두사 | A11 |
| ATC 코드 접미사 | GA01 |
| ATC 보충 | |
| 위험성 | |
| 외부 MSDS | JT Baker |
| NFPA - 건강 | 1 |
| NFPA - 화재 | 1 |
| NFPA - 반응성 | 0 |
| LD50 | 11.9 g/kg (경구, 쥐) |
2. 역사
18세기에 제임스 린드는 특정 식품에 괴혈병을 막는 효과가 있음을 입증했다.[2] 1907년 악셀 홀스트와 테오도어 프뢰리히는 괴혈병을 막는 인자가 수용성 화학 물질이며, 각기병을 예방하는 인자와는 다르다는 것을 발견했다. 1928년부터 1932년까지 알베르트 센트죄르지는 이 물질의 후보 물질을 분리하여 처음에는 식물에서, 나중에는 동물의 부신에서 "헥수론산(hexuronic acid)"이라고 명명했다. 1932년 찰스 글렌 킹은 그것이 실제로 괴혈병을 막는 인자임을 확인했다.
아스코르브산은 알켄 카르복시산처럼 작용하며, 이중 결합의 π전자가 히드록시기와 카르보닐기 사이를 이동함으로써 높은 산성을 나타낸다 (pKa₁ = 4.17, pH = 2 (50 mg/mL)).[27][28] 이는 프로톤을 방출한 후의 짝염기가 공명 구조를 가지고 음전하를 비편재화하여 안정화될 수 있기 때문이다.
1933년, 당(설탕) 화학자인 월터 노먼 호워스는 알베르트 센트죄르지가 전년도에 파프리카에서 분리하여 보낸 "헥수론산" 샘플을 사용하여 화합물의 정확한 구조와 광학 이성질체 특성을 알아냈고, 1934년 최초의 합성을 보고했다.[2][3] 월터 노먼 호워스와 알베르트 센트죄르지는 이 화합물의 괴혈병을 막는 효과를 고려하여 이 화합물의 이름을 "아스코르브산(a-scorbic acid)"으로 바꿀 것을 제안했고, 나중에는 특히 L-아스코르브산으로 명명했다.[4] 그들의 연구 덕분에 1937년 월터 노먼 호워스와 알베르트 센트죄르지는 각각 화학상과 생리학 또는 의학상의 노벨상을 수상했다.
3. 화학적 성질
아스코르브산은 환원성을 나타낸다. 적절한 산화제(공기 중의 산소 및 할로겐 등)의 작용에 의해 프로톤을 2개 방출하여 데히드로아스코르브산으로 변한다. 이러한 성질을 이용하여 항산화제로 사용된다. 아스코르브산 이온은 일반적인 생물학적 pH 값에서 우세한 종이다. 약한 환원제이자 항산화제(산화방지제)이다. 산화 과정에서 첫 번째 전자가 손실되면 라디칼카티온이 형성되고, 두 번째 전자가 손실되면 데히드로아스코르브산이 형성된다. 일반적으로 히드록실 라디칼과 같은 활성산소 종의 산화제와 반응한다.
아스코르브산은 자체 라디칼 이온의 공명 안정화된 성질로 인해, 세미데히드로아스코르브산이라고 불리는 중간체를 거쳐 단일 전자를 전달할 수 있는 특징을 지닌다. 화학 반응식은 다음과 같다.
:RO• + C6H7O6- → RO− + C6H7O6• → ROH + C6H6O6
산소에 노출되면 아스코르브산은 더욱 산화 분해되어 디케토구론산, 크실론산, 트레온산, 옥살산 등 다양한 생성물이 된다.
활성산소종은 핵산, 단백질, 지질과 상호작용할 가능성이 있으므로, 분자 수준에서 동식물에 손상을 줄 수 있으며, 이러한 라디칼이 연쇄 반응을 시작할 수 있다. 아스코르브산염은 전자 이동 반응을 통해 이러한 연쇄 라디칼 반응을 종결시킬 수 있다. 아스코르브산염의 산화형은 비교적 비반응성이며, 세포 손상을 일으키지 않는다.
그러나 아스코르브산염은 우수한 전자 공여체이기 때문에, 유리 금속 이온이 존재할 경우 과량의 아스코르브산염은 자유 라디칼 반응을 촉진할 뿐만 아니라 시작할 수도 있으므로, 특정 대사 상황에서 잠재적으로 위험한 산화 촉진 화합물이 될 수 있다.
아스코르브산과 아스코르브산나트륨, 아스코르브산칼륨, 아스코르브산칼슘염, 아스코르브산글루코사이드는 식품첨가물인 산화방지제로 일반적으로 사용된다. 그러나 이러한 화합물은 수용성이기 때문에 지방을 산화로부터 보호할 수 없다. 이러한 목적으로 아스코르브산과 장쇄 지방산의 지용성 에스터(팔미틴산아스코르빌 또는 스테아린산아스코르빌)를 식품의 항산화제로 사용할 수 있다.
3. 1. 산성
아스코르브산은 푸란(furan) 기반의 2-케토글루콘산(2-ketogluconic acid) 락톤(lactone)이다. 이것은 카르보닐(carbonyl)기에 인접한 에니디올(enediol)기를 포함한다. 이 −C(OH)=C(OH)−C(=O)− 구조는 레덕톤(reductone)의 특징이며, 에놀(enol)의 하이드록시기(hydroxyl group) 중 하나의 산도를 증가시킨다. 탈양성자화된 공액 염기(conjugate base)는 아스코르베이트(ascorbate) 음이온이며, 두 가지 형태 사이의 공명으로 인한 전자의 비편재화(electron delocalization)에 의해 안정화된다.
이러한 이유로 아스코르브산은 분자가 고립된 하이드록시기만 포함하는 경우 예상되는 것보다 훨씬 더 산성이다. 아스코르브산(Ascorbic acid)은 알켄 카르복시산처럼 작용하며, 이중 결합의 π전자가 히드록시기와 카르보닐기 사이를 이동함으로써 높은 산성을 나타낸다 (pKa₁ = 4.17, pH = 2 (50 mg/mL)). 이는 프로톤을 방출한 후의 짝염기가 공명 구조를 가지고 음전하를 비편재화하여 안정화될 수 있기 때문이다.
3. 2. 염 및 에스터
아스코르브산 음이온은 아스코르브산나트륨, 아스코르브산칼슘, 아스코르브산칼륨 등의 염을 형성한다. 아스코르브산은 알코올로서 유기산과 반응하여 팔미트산 아스코르빌, 스테아르산 아스코르빌 등의 에스터를 형성하기도 한다.
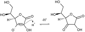
3. 3. 친핵성 공격
아스코르브산의 에놀을 양성자가 친핵성 공격하여 1,3-디케톤을 생성한다.[1]
아스코르브산은 양성자 이동에 의해 불안정한 디케톤으로 호변이성화된다.[1] 에놀 형태가 우세하며, 에놀이 양성자를 잃으면 그 이중 결합으로부터 π전자를 받아들여 디케톤이 생성된다.[1] 이 호변이성화에서는 1,2-디케톤과 1,3-디케톤이 생성될 수 있다.[1]
3. 4. 산화
아스코르브산 이온은 일반적인 생물학적 pH 값에서 주로 나타나는 형태로, 약한 환원제이자 항산화제(산화방지제)이다. 활성산소종과 같은 산화제와 반응하며, 전자 전달을 통해 이러한 활성산소종에 의한 연쇄 반응을 종결시킬 수 있다.[5]
아스코르브산은 자유 라디칼에 수소 원자를 기증하여 세미데히드로아스코르브산(모노데히드로아스코르브산)을 형성한다. 세미데히드로아스코르브산은 수화되어 이환식 헤미케탈 구조를 가진 데히드로아스코르브산이 된다.[5] 데히드로아스코르브산은 37°C에서 가수분해되어 다이케토글루론산, 크실론산, 트레온산, 옥살산 등을 생성한다.[6][7]
하지만 자유 금속 이온이 존재하는 경우, 과량의 아스코르브산은 자유 라디칼 반응을 촉진하거나 시작할 수 있어, 특정 대사 환경에서는 잠재적으로 위험한 전산화 화합물이 될 수 있다.
아스코르브산, 아스코르브산나트륨, 아스코르브산칼륨, 아스코르브산칼슘염은 항산화제 식품 첨가물로 사용된다. 이들은 수용성이기 때문에 지방의 산화를 막을 수 없다. 따라서 장쇄 지방산과 아스코르브산의 지용성 에스터(아스코르빌 팔미테이트, 아스코르빌 스테아레이트)가 지방의 산화를 방지하는 항산화 식품 첨가물로 사용될 수 있다.
3. 5. 호변이성질화
아스코르브산은 양성자(프로톤)의 이동에 의해 불안정한 디케톤으로 호변이성화된다. 이 경우 에놀 형태가 우세하다. 에놀이 양성자를 잃으면, 그 이중 결합으로부터 π전자를 받아들이고 디케톤이 생성된다. 이 호변이성화에서는 1,2-디케톤과 1,3-디케톤이 생성될 수 있다.
4. 생화학적 역할
아스코르브산 산화효소(ascorbic酸酸化酵素) 또는 아스코르비나아제(ascorbinase)는 (생)화학적으로 엘(L)-아스코르브산이 산화되어 디히드로아스코르브산(DHA,Dehydroascorbic acid)으로 전환되는 반응을 촉매하는 호기적 산화 효소이다. 이 반응에서는 과산화 수소가 생기지 않는다. 탈수소 아스코르브산(脫水素←ascorbic酸) 또는 디하이드로아스코르브산(DHA)은 아스코르브산의 산화에 의해 생기는 침상 결정 물질 또는 그 기작에서 이를 가리킨다. 90°C에서 포도당과 아미노산과 섞이면 휘발성 화합물을 생성한다.[8] 티로신 산화의 보조인자이다.[9]
5. 산업적 제조법
세계 아스코르브산 공급량의 70%는 중국에서 생산된다.[22] 아스코르브산은 포도당으로부터 산업적으로 제조되는데, 역사적인 Reichstein 공정을 기반으로 한다. 이 공정은 5단계로 이루어진다. 첫 번째 단계에서 포도당은 촉매적으로 수소화되어 소르비톨이 된다. 그 후, 미생물인 ''아세토박터 suboxydans''에 의해 산화환원된다. 이 효소 반응을 통해 여섯 개의 하이드록시기 중 하나만 산화된다. 이 시점부터 두 가지 경로가 가능하다.
생성물을 산 촉매 존재 하에 아세톤으로 처리하면 나머지 네 개의 히드록시기가 아세탈로 변환된다. 보호되지 않은 히드록시기는 촉매 산화제 TEMPO(차아염소산나트륨 표백제 용액으로 재생됨)와의 반응을 통해 카르복실산으로 산화된다. 역사적으로 Reichstein 공정을 통한 산업적 제조에는 과망간산칼륨을 표백제 용액으로 사용했다. 이 생성물의 산 촉매 가수분해는 두 개의 아세탈기를 제거하고 고리화 락톤화를 수행하는 이중 기능을 한다. 이 단계에서 아스코르브산이 생성된다. 다섯 단계 각각의 수율은 90% 이상이다.[21]
1960년대에 중국에서 처음 개발되고 1990년대에 더욱 발전된 생명공학적 공정은 아세톤 보호기를 사용하지 않는다. 돌연변이 ''에르위니아''를 포함한 다른 유전자 변형 미생물 종은 소르보스를 2-케토글루콘산(2-KGA)으로 산화시키고, 이는 탈수를 통해 고리화 락톤화될 수 있다. 이 방법은 세계 아스코르브산의 70%를 공급하는 중국의 아스코르브산 산업에서 사용되는 주된 공정이다.[22]
6. 분석법
아스코르브산 함량을 분석하는 전통적인 방법은 적정법을 이용하여 산화제로 적정하는 것이며, 여러 가지 방법이 개발되었다.
널리 사용되는 요오드 적정법은 전분 지시약 존재 하에 요오드를 사용한다. 요오드는 아스코르브산에 의해 환원되고, 모든 아스코르브산이 반응하면 요오드가 과량으로 존재하여 전분 지시약과 청흑색의 착물을 형성한다. 이는 적정의 종말점을 나타낸다.
또 다른 방법으로는 과량의 요오드로 아스코르브산을 처리한 후, 전분을 지시약으로 사용하여 티오황산 나트륨으로 역적정할 수 있다.[25]
이 요오드 적정법은 산성 용액에서 아스코르브산이 요오드산 염과 요오드화물과 반응하는 것을 이용하도록 수정되었다. 요오드화 칼륨 용액을 전기분해하면 요오드가 생성되고, 이는 아스코르브산과 반응한다. 공정의 종료는 전위차 적정법(칼 피셔 적정법과 유사)으로 결정한다. 아스코르브산의 양은 패러데이 법칙에 의해 계산할 수 있다.
또 다른 방법은 요오드화 칼륨과 전분 존재 하에 N-브로모숙신이미드(NBS)를 산화제로 사용하는 것이다. NBS는 먼저 아스코르브산을 산화시키고, 아스코르브산이 소모되면 NBS는 요오드화칼륨으로부터 요오드를 유리시켜 전분과 청흑색의 착물을 형성한다.
아스코르브산의 정량 분석은 산화환원 적정으로 할 수 있다. 시료를 메타인산 수용액에 녹여 0.05 mol/L 요오드 용액으로 적정한다. 지시약은 녹말 시액을 사용한다. 이 방법에서 요오드는 산화제로 작용한다.
7. 응용 분야
아스코르브산은 산화되기 쉬워 여러 분야에서 활용된다.
식품 분야에서는 주로 산화 방지제 (E 번호 E300) 등 식품 첨가물로 사용된다.[10] EU, 미국,[11] 호주, 뉴질랜드에서[12] 식품 첨가물로 승인되었다. 아스코르브산나트륨, 아스코르브산칼륨, 아스코르브산칼슘염, 아스코르브산글루코사이드는 수용성이므로, 지방 산화를 막기 위해 팔미틴산아스코르빌이나 스테아린산아스코르빌 같은 지용성 에스터를 사용한다. 아스코르브산은 식품 가공, 보관 중 갈변을 막기 위해 산화되어 식품을 환원시킨다.[27][28]
건강기능식품으로 아스코르브산은 필수 영양소이며, 식이 보충제로 널리 쓰인다. 세계보건기구 필수의약품 목록에도 들어있다.[13]
그 외에 사진 현상액의 환원제 및 보존제, 형광 현미경 등에서 형광 신호 증폭 및 염료 광탈색을 늦추는 항산화제로 쓰인다.[14] 섬유 유리 수영장 표면 금속 얼룩 제거, 플라스틱 제조 시 분자 사슬 조립 촉진 및 폐기물 감소,[15] 정맥 주사용 고용량 아스코르브산염은 화학 요법제 및 생물 반응 조절제(임상 시험 진행 중),[17][18] 메테나민 살균 효과를 높이는 요로 산성화제로도 활용된다.[19][20]
7. 1. 식품 첨가물
L-아스코브산(L-ascorbic acid)과 그 염은 주로 산화 방지제(E 번호 E300) 등 식품 첨가물로 사용된다.[10] 이는 EU, 미국,[11] 호주 및 뉴질랜드[12]에서 식품 첨가물로 승인되었다.아스코르브산 이온은 약한 환원제이자 항산화제(산화방지제)이다. 산화 과정에서 전자를 잃으면 라디칼카티온이 형성되고, 두 번째 전자가 손실되면 데히드로아스코르브산이 형성된다. 아스코르브산은 세미데히드로아스코르브산이라는 중간체를 거쳐 단일 전자를 전달할 수 있다.
산소에 노출되면 아스코르브산은 더욱 산화 분해되어 디케토구론산, 크실론산, 트레온산, 옥살산 등 다양한 생성물이 된다.
아스코르브산과 아스코르브산나트륨, 아스코르브산칼륨, 아스코르브산칼슘염, 아스코르브산글루코사이드는 식품첨가물인 산화방지제로 일반적으로 사용된다. 그러나 이러한 화합물은 수용성이기 때문에 지방을 산화로부터 보호할 수 없다. 이러한 목적으로 아스코르브산과 장쇄 지방산의 지용성 에스터(팔미틴산아스코르빌 또는 스테아린산아스코르빌)를 식품의 항산화제로 사용할 수 있다.
식품이 가공 중 또는 보관 중에 갈변하는 것을 방지하기 위해 아스코르브산 자체가 산화되어 식품을 환원하는 작용을 이용하기도 한다.[27][28]
7. 2. 건강기능식품
아스코르브산은 필수 영양소로, 식이 보충제 형태로 널리 사용된다. 세계보건기구(WHO) 필수의약품 목록에 포함되어 있다.[13]7. 3. 기타 응용
아스코르브산은 산화되기 쉬운 성질을 이용하여 사진 현상액의 환원제 및 보존제로 사용된다. 형광 현미경과 같은 형광 기반 기술에서는 형광 신호를 증폭시키고 염료의 광탈색을 늦추는 항산화제로 사용될 수 있다.[14]섬유 유리 수영장 표면에 생긴 철과 같은 금속 얼룩을 제거하는 데에도 사용된다. 플라스틱 제조 과정에서 아스코르브산은 분자 사슬을 빠르게 조립하고 폐기물을 줄이는 역할을 할 수 있다.[15]
정맥 주사용 고용량 아스코르브산염은 화학 요법제 및 생물 반응 조절제로 사용되며, 현재 임상 시험이 진행 중이다.[17][18] 메테나민의 살균 효과를 높이기 위해 요로 산성화제로 사용되기도 한다.[19][20]
8. 안전성 및 부작용
독일 연방 위험 평가 연구소(BfR) 보고서에 따르면, 청량 음료에 벤조산과 아스코르브산이 함께 존재하는 경우 미량의 벤젠이 생성될 가능성이 있으며, 생성량은 pH, 온도, 다른 불순물(주로 금속이온이 영향을 미치는 것으로 보임), 자외선의 영향을 받는다고 한다.[29][30]
참조
[1]
웹사이트
Safety (MSDS) data for ascorbic acid
https://web.archive.[...]
[2]
웹사이트
Story of Vitamin C's chemical discovery
https://profiles.nlm[...]
2012-12-04
[3]
서적
Vitamin C: Its Chemistry and Biochemistry
The Royal Society of Chemistry
[4]
논문
The Chemical Nature Of Vitamin C
https://profiles.nlm[...]
1932-04-25
[5]
논문
Ascorbic acid: The chemistry underlying its antioxidant properties
2020-11-01
[6]
서적
Ingredient Interactions: Effects on Food Quality, Second Edition
https://books.google[...]
CRC Press
2016-04-19
[7]
논문
Vitamin C: Biosynthesis, recycling and degradation in mammals
2007-01-01
[8]
논문
Formation of Volatile Compounds in Sugar-Phenylalanine and Ascorbic Acid-Phenylalanine Model Systems during Heat Treatment
[9]
논문
The role of ascorbic acid in the oxidation of L-Tyrosine by guinea pig liver extracts
http://www.jbc.org/c[...]
1952-05-01
[10]
웹사이트
Current EU approved additives and their E Numbers
http://www.food.gov.[...]
UK Food Standards Agency
2011-10-27
[11]
웹사이트
Listing of Food Additives Status Part I
https://web.archive.[...]
2011-10-27
[12]
웹사이트
Standard 1.2.4 – Labelling of ingredients
http://www.comlaw.go[...]
2011-09-08
[13]
서적
The selection and use of essential medicines 2023: web annex A: World Health Organization model list of essential medicines: 23rd list (2023)
World Health Organization
[14]
논문
Strategies to improve photostabilities in ultrasensitive fluorescence spectroscopy
2007-01-01
[15]
웹사이트
Vitamin C, water have benefits for plastic manufacturing
https://web.archive.[...]
Reliable Plant Magazine
2007-06-25
[16]
논문
The impact of citrate introduction at UK syringe exchange programmes: a retrospective cohort study in Cheshire and Merseyside, UK
2007-12-01
[17]
웹사이트
The Riordan IVC Protocol for Adjunctive Cancer Care: Intravenous Ascorbate as a Chemotherapeutic and Biological Response Modifying Agent
https://ghostarchive[...]
Riordan Clinic Research Institut
2013-02-01
[18]
웹사이트
High-Dose Vitamin C (PDQ): Human/Clinical Studies
http://www.cancer.go[...]
National Cancer Institute
2013-02-08
[19]
논문
Effect of urine pH and ascorbic acid on the rate of conversion of methenamine to formaldehyde
[20]
논문
Effect of urinary acidifiers on formaldehyde concentration and efficacy with methenamine therapy
[21]
백과사전
Vitamins
[22]
보도자료
Vantage Market Research: Global Vitamin C Market Size & Share to Surpass $1.8 Bn by 2028
https://www.globenew[...]
2022-11-08
[23]
논문
One-Step Biosynthesis of Vitamin C in Saccharomyces cerevisiae
2021-01-01
[24]
논문
Metabolic engineering of Escherichia coli for direct production of vitamin C from D-glucose
2022-08-01
[25]
논문
A Simple Test for Vitamin C
https://web.archive.[...]
[26]
웹사이트
Safety (MSDS) data for ascorbic acid
http://physchem.ox.a[...]
옥스퍼드 대학교
2005-10-09
[27]
서적
塩のことば辞典
素朴社
2007-06-10
[28]
문서
식품의 갈변을 방지하는 방법
[29]
PDF
BfRによる原著文献(ドイツ語)
http://www.bfr.bund.[...]
[30]
PDF
P30に国立医薬品食品衛生研究所安全情報部による日本語の摘要
https://www.nihs.go.[...]
[31]
웹사이트
Safety (MSDS) data for ascorbic acid
https://web.archive.[...]
본 사이트는 AI가 위키백과와 뉴스 기사,정부 간행물,학술 논문등을 바탕으로 정보를 가공하여 제공하는 백과사전형 서비스입니다.
모든 문서는 AI에 의해 자동 생성되며, CC BY-SA 4.0 라이선스에 따라 이용할 수 있습니다.
하지만, 위키백과나 뉴스 기사 자체에 오류, 부정확한 정보, 또는 가짜 뉴스가 포함될 수 있으며, AI는 이러한 내용을 완벽하게 걸러내지 못할 수 있습니다.
따라서 제공되는 정보에 일부 오류나 편향이 있을 수 있으므로, 중요한 정보는 반드시 다른 출처를 통해 교차 검증하시기 바랍니다.
문의하기 : help@durumis.com
