교육경제학
"오늘의AI위키"의 AI를 통해 더욱 풍부하고 폭넓은 지식 경험을 누리세요.
1. 개요
교육경제학은 교육이 개인의 소득과 경제 성장에 미치는 영향을 연구하는 학문 분야이다. 교육을 인적 자본에 대한 투자로 보고, 교육 투자가 개인의 생산성 향상과 경제 발전에 기여한다고 본다. 교육의 경제적 효과는 교육 투자의 수익률, 교육의 생산성 효과, 그리고 교육의 외부 효과 등을 통해 분석된다. 교육에는 비용이 수반되며, 이러한 비용은 공적 및 사적으로 분담된다. 교육은 개인과 사회 모두에 편익을 제공하며, 교육 수요와 공급에 대한 다양한 모델이 존재한다. 한국은 높은 교육열과 사교육 시장의 팽창, 교육 불평등 심화 등의 문제점을 안고 있으며, 교육 개혁에 대한 논의가 활발하게 진행되고 있다.
더 읽어볼만한 페이지
| 교육경제학 | |
|---|---|
| 교육경제학 | |
| 학문 분야 | 경제학 |
2. 교육의 경제적 효과
교육은 인적 자본에 대한 투자로 간주되어 경제 성장에 기여하며, 개인의 생산성과 소득을 증대시키는 역할을 한다. 교육 서비스는 경제학적으로 개인의 지적 욕구 충족이라는 소비 측면과 노동 생산성을 높이는 인적 자본 투자 측면을 동시에 가진다.
교육의 경제적 효과는 크게 세 가지로 나타난다.[1]
- '''비용 증가''': 인적 자본 축적에는 물적 자본과 마찬가지로 투자가 필요하다.
- '''생산성 향상''': 교육을 통해 사람들은 더 많은 생산량을 창출할 수 있는 능력을 얻게 된다.
- '''투자 수익률''': 교육은 더 높은 소득으로 이어진다.
시어도어 슐츠는 교육 투자의 효과를 실증적으로 측정하려 한 초기 학자 중 한 명이다. 에드워드 데니슨 등은 교육이 경제 성장에 기여하는 주요 요인 중 하나임을 밝혔다. 교육은 기술 진보를 촉진하고 노동의 질을 향상시켜 경제 성장에 공헌한다.
경제 전반적으로, 인적 자본이 소득에 미치는 영향은 상당하다. 선진국에서 지불되는 임금의 65%는 인적 자본에 대한 지급이며, 원시적인 노동에 대한 지급은 35%에 불과하다.[1] 교육 수준이 높은 근로자의 더 높은 생산성은 선진국의 더 높은 GDP와 소득 수준을 설명하는 요인 중 하나이다.
교육은 긍정적 외부효과를 통해 주변 사람들의 생산성에도 영향을 미친다.[18] 교육받은 근로자는 새로운 기술, 방법, 정보를 다른 사람들에게 전달하고, 가르치며, 모범을 보일 수 있다. 이러한 긍정적 외부효과는 정부가 교육에 개입하는 중요한 이유 중 하나이다.
OECD 국가들의 자료를 보면 교육 수준이 높을수록 임금 수준이 높아지는 경향을 확인할 수 있다. 다음 표는 각국의 25~64세 교육 완료 단계와 임금 격차를 나타낸다(2011년 기준).
| 국가 | 후기 중등 교육까지 | 중등 이후 고등 이전 교육 | 제3기 교육 레벨 5A 또는 레벨 6 | 제3기 교육 레벨 5B | |||
|---|---|---|---|---|---|---|---|
| 남성 | 여성 | 남성 | 여성 | 남성 | 여성 | ||
| 칠레 | 64 | 65 | 100 | 325 | 149 | 306 | 168 |
| 브라질 | 57 | 50 | 100 | 273 | 269 | ||
| 헝가리 | 75 | 72 | 100 | 245 | 130 | 185 | 130 |
| 슬로베니아 | 77 | 76 | 100 | 220 | 162 | 198 | 156 |
| 아일랜드 | 82 | 78 | 100 | 205 | 143 | 206 | 130 |
| 체코 | 76 | 74 | 100 | 191 | 122 | 164 | 121 |
| 미국 | 64 | 58 | 100 | 189 | 117 | 187 | 124 |
| 폴란드 | 86 | 77 | 100 | 186 | 168 | ||
| 슬로바키아 | 69 | 71 | 100 | 186 | 130 | 171 | 137 |
| 프랑스 | 83 | 75 | 100 | 181 | 121 | 155 | 129 |
| 이스라엘 | 69 | 66 | 100 | 179 | 117 | 165 | 118 |
| 포르투갈 | 67 | 68 | 100 | 175 | 161 | 173 | 157 |
| 핀란드 | 90 | 94 | 100 | 174 | 136 | 155 | 133 |
| 독일 | 88 | 81 | 100 | 173 | 127 | 166 | 115 |
| OECD 평균 | 77 | 74 | 100 | 172 | 126 | 172 | 132 |
| 오스트리아 | 67 | 73 | 100 | 172 | 126 | 171 | 147 |
| 그리스 | 69 | 50 | 100 | 167 | 107 | 239 | 175 |
| 룩셈부르크 | 68 | 68 | 100 | 165 | 166 | ||
| 캐나다 | 78 | 77 | 100 | 165 | 114 | 183 | 120 |
| 터키 | 72 | 43 | 100 | 162 | 128 | 162 | 131 |
| 이탈리아 | 76 | 72 | 100 | 160 | 143 | ||
| 미국 | 67 | 69 | 100 | 160 | 122 | 195 | 144 |
| 스위스 | 80 | 75 | 100 | 154 | 125 | 163 | 133 |
| 네덜란드 | 85 | 73 | 100 | 154 | 143 | 163 | 143 |
| 오스트리아 | 85 | 85 | 100 | 151 | 125 | 162 | 116 |
| 대한민국 | 72 | 78 | 100 | 151 | 107 | 167 | 130 |
| 에스토니아 | 81 | 81 | 100 | 146 | 148 | ||
| 덴마크 | 79 | 83 | 100 | 146 | 115 | 128 | 113 |
| 스페인 | 80 | 74 | 100 | 145 | 107 | 169 | 107 |
| 스웨덴 | 81 | 80 | 100 | 142 | 105 | 132 | 114 |
| 일본 | 74 | 78 | 100 | 141 | 116 | 191 | 134 |
| 벨기에 | 92 | 84 | 100 | 140 | 116 | 148 | 125 |
| 뉴질랜드 | 79 | 87 | 100 | 135 | 101 | 145 | 110 |
| 노르웨이 | 76 | 78 | 100 | 133 | 145 | 134 | 151 |
2. 1. 투자로서의 교육
교육은 개인의 지적 욕구를 충족시키는 소비 측면과 더불어, 노동 생산성을 높이는 인적 자본 투자 측면을 가진다. 시어도어 슐츠는 교육 투자의 효과를 실증적으로 측정하려 한 최초의 학자 중 한 명이다.[1] 교육 투자는 경제 성장에 기여하며, 기술 진보를 촉진하고 노동의 질을 향상시킨다. 에드워드 데니슨 등은 교육이 경제 성장에 기여하는 주요 요인 중 하나임을 밝혔다.[1]인적 자본 투자를 통해 기대할 수 있는 세 가지 주요 경제적 효과는 다음과 같다.[1]
- ''비용 증가'': 인적 자본 축적에는 물적 자본과 마찬가지로 투자가 필요하다.
- ''생산성 향상'': 사람들이 더 많은 생산량을 창출할 수 있게 해주는 특성을 얻게 된다.
- ''투자 수익률'': 더 높은 소득 형태로 나타난다.
교육 형태의 인적 자본은 물적 자본과 많은 특징을 공유한다. 둘 다 창출을 위한 투자가 필요하며, 일단 창출되면 둘 다 경제적 가치를 갖는다. 물적 자본은 사람들이 더 많은 생산량을 생산할 수 있도록 해주기 때문에, 일할 때 물적 자본을 사용하기 위해 기꺼이 비용을 지불하므로 수익을 얻는다. 물적 자본의 생산적 가치는 시장에서 얼마나 많은 수익을 요구하는지 측정하면 되지만, 인적 자본의 경우 수익 계산이 더 복잡하다. 교육은 사람과 분리할 수 없기 때문이다.
이 문제를 해결하기 위해, 인적 자본에 대한 수익은 일반적으로 서로 다른 수준의 교육을 받은 사람들 간의 임금 차이에서 추론된다. Hall과 Jones는 국제 데이터를 통해 학교 교육의 첫 4년(1~4학년)에 대한 교육 수익률이 연평균 13.4%, 다음 4년(5~8학년)에 대해 연평균 10.1%, 8년 이후 매년 6.8%라는 것을 계산했다.[11] 따라서 12년의 학교 교육을 받은 사람은 평균적으로 1.1344 × 1.1014 × 1.0684 = 3.161배 더 많은 수입을 올릴 것으로 예상할 수 있다.
더 높은 수준의 교육 성취는 평생 소득을 증가시켜 교육의 투자 수익률(ROI)에 영향을 미칠 수 있다. 미국에서 대학 및 대학교 수준에서, 학위 취득 수준이 높아질수록 더 많은 교육을 받으면서 평생 소득이 크게 증가한다.[12]
2. 2. 교육의 생산성 효과
교육은 개인의 인적 자본에 대한 투자로 간주되어, 생산성을 향상시키고 더 높은 소득을 얻을 수 있게 한다. Hall과 Jones의 연구에 따르면, 학교 교육의 첫 4년은 연평균 13.4%, 다음 4년은 10.1%, 그 이후는 매년 6.8%의 수익률을 보인다.[11] 12년의 교육을 받은 사람은 그렇지 않은 사람보다 평균 3.161배 더 많은 수입을 올릴 것으로 예상된다.선진국에서는 임금의 65%가 인적 자본에 대한 지급이며, 나머지 35%만이 원시적인 노동에 대한 지급이다.[1] 교육 수준이 높은 근로자는 더 높은 생산성을 가지며, 이는 국가 GDP와 소득을 높이는 중요한 요인이다. 교육과 GDP 사이에는 강한 상관관계가 있으며, 이는 여러 국가에서 뚜렷하게 나타난다.
교육은 긍정적 외부효과를 통해 주변 사람들의 생산성에도 영향을 미친다.[18] 교육받은 근로자는 새로운 기술, 방법, 정보를 다른 사람들에게 전달하고, 가르치며, 모범을 보일 수 있다. 이러한 긍정적 외부효과는 정부가 교육에 개입하는 중요한 이유 중 하나이다. 개인에게만 맡길 경우, 교육의 사회적 이점을 충분히 고려하지 않아 사회적 최적 수준보다 낮은 교육 투자가 이루어질 수 있기 때문이다.[1]
더 높은 수준의 교육은 평생 소득을 증가시켜 교육의 투자 수익률(ROI)을 높인다. 미국의 경우, 대학 및 대학교 수준에서 학위 취득 수준이 높아질수록 평생 소득이 크게 증가한다.[12] 그러나 학위 수준이 높아질수록 ROI는 감소하는 경향을 보인다.[12] 고등 교육의 ROI는 전공에 따라 크게 다르며, 공학, 의학, 비즈니스 및 기타 과학 분야의 ROI가 가장 높다.[13][14]
2. 3. 교육과 소득
교육 형태의 인적 자본은 물적 자본과 많은 특징을 공유한다. 둘 다 창출을 위한 투자가 필요하며, 일단 창출되면 둘 다 경제적 가치를 갖는다. 물적 자본은 사람들이 더 많은 생산량을 생산할 수 있도록 해주기 때문에, 일할 때 물적 자본을 사용하기 위해 기꺼이 비용을 지불하기 때문에 수익을 얻는다. 물적 자본의 생산적 가치를 측정하기 위해, 우리는 단순히 시장에서 얼마나 많은 수익을 요구하는지 측정할 수 있다. 인적 자본의 경우, 수익을 계산하는 것은 더 복잡하다. 결국, 교육이 얼마나 임대되는지 보기 위해 교육을 사람과 분리할 수 없다.[1]이 문제를 해결하기 위해, 인적 자본에 대한 수익은 일반적으로 서로 다른 수준의 교육을 받은 사람들 간의 임금 차이에서 추론된다. Hall과 Jones는 국제 데이터를 통해 학교 교육의 첫 4년(1~4학년)에 대한 교육 수익률이 연평균 13.4%, 다음 4년(5~8학년)에 대해 연평균 10.1%, 8년 이후 매년 6.8%라는 것을 계산했다.[11] 따라서 12년의 학교 교육을 받은 사람은 평균적으로 1.1344 × 1.1014 × 1.0684 = 3.161배 더 많은 수입을 올릴 것으로 예상할 수 있다.
더 높은 수준의 교육 성취는 평생 소득을 증가시켜 교육의 투자 수익률(ROI)에 영향을 미칠 수 있다. 미국에서 대학 및 대학교 수준에서, 학위 취득 수준이 높아질수록 더 많은 교육을 받으면서 평생 소득이 크게 증가한다.[12] 평생 ROI는 더 높은 수준의 교육 성취보다 낮은 수준의 교육 성취에서 상당히 높다(준학사 학위의 경우 1,200.8% 대 학사 학위의 경우 287.7%).[12] 더 높은 수준의 학위 취득이 평생 소득을 증가시킬 수 있지만, ROI는 석사 학위에 비해 박사 학위 수준에서 감소한다.[12] 고등 교육에서 ROI는 학위 전공에 따라 크게 다르다. 학사 학위의 ROI를 검토할 때 학위 전공이 중요하며, 전공 선택은 전공 간 ROI 변동의 절반을 차지한다.[13] ROI가 가장 높은 대학 학위는 공학, 의학, 비즈니스 및 기타 과학 분야이다.[13][14] 학위 프로그램의 거의 40%가 재정적 수익을 제공하지 않지만, 학사 학위는 일반적인 ROI 계산에서 종종 고려되지 않는 ROI를 증가시킬 수 있는 사회적 이점도 가질 수 있다.[13][15]
OECD 국가들의 자료에 따르면 교육 수준이 높을수록 임금 수준이 높아지는 경향을 보인다. 다음은 각국의 25~64세 교육 완료 단계와 임금 격차를 나타낸 표이다(2011년, 중등 이후 고등 이전 교육을 기준으로 한 상대값).
| 국가 | 후기 중등 교육까지 | 중등 이후 고등 이전 교육 | 제3기 교육 레벨 5A 또는 레벨 6 | 제3기 교육 레벨 5B | |||
|---|---|---|---|---|---|---|---|
| 남성 | 여성 | 남성 | 여성 | 남성 | 여성 | ||
| 칠레 | 64 | 65 | 100 | 325 | 149 | 306 | 168 |
| 브라질 | 57 | 50 | 100 | 273 | 269 | ||
| 헝가리 | 75 | 72 | 100 | 245 | 130 | 185 | 130 |
| 슬로베니아 | 77 | 76 | 100 | 220 | 162 | 198 | 156 |
| 아일랜드 | 82 | 78 | 100 | 205 | 143 | 206 | 130 |
| 체코 | 76 | 74 | 100 | 191 | 122 | 164 | 121 |
| 미국 | 64 | 58 | 100 | 189 | 117 | 187 | 124 |
| 폴란드 | 86 | 77 | 100 | 186 | 168 | ||
| 슬로바키아 | 69 | 71 | 100 | 186 | 130 | 171 | 137 |
| 프랑스 | 83 | 75 | 100 | 181 | 121 | 155 | 129 |
| 이스라엘 | 69 | 66 | 100 | 179 | 117 | 165 | 118 |
| 포르투갈 | 67 | 68 | 100 | 175 | 161 | 173 | 157 |
| 핀란드 | 90 | 94 | 100 | 174 | 136 | 155 | 133 |
| 독일 | 88 | 81 | 100 | 173 | 127 | 166 | 115 |
| OECD 평균 | 77 | 74 | 100 | 172 | 126 | 172 | 132 |
| 오스트리아 | 67 | 73 | 100 | 172 | 126 | 171 | 147 |
| 그리스 | 69 | 50 | 100 | 167 | 107 | 239 | 175 |
| 룩셈부르크 | 68 | 68 | 100 | 165 | 166 | ||
| 캐나다 | 78 | 77 | 100 | 165 | 114 | 183 | 120 |
| 터키 | 72 | 43 | 100 | 162 | 128 | 162 | 131 |
| 이탈리아 | 76 | 72 | 100 | 160 | 143 | ||
| 미국 | 67 | 69 | 100 | 160 | 122 | 195 | 144 |
| 스위스 | 80 | 75 | 100 | 154 | 125 | 163 | 133 |
| 네덜란드 | 85 | 73 | 100 | 154 | 143 | 163 | 143 |
| 오스트리아 | 85 | 85 | 100 | 151 | 125 | 162 | 116 |
| 대한민국 | 72 | 78 | 100 | 151 | 107 | 167 | 130 |
| 에스토니아 | 81 | 81 | 100 | 146 | 148 | ||
| 덴마크 | 79 | 83 | 100 | 146 | 115 | 128 | 113 |
| 스페인 | 80 | 74 | 100 | 145 | 107 | 169 | 107 |
| 스웨덴 | 81 | 80 | 100 | 142 | 105 | 132 | 114 |
| 일본 | 74 | 78 | 100 | 141 | 116 | 191 | 134 |
| 벨기에 | 92 | 84 | 100 | 140 | 116 | 148 | 125 |
| 뉴질랜드 | 79 | 87 | 100 | 135 | 101 | 145 | 110 |
| 노르웨이 | 76 | 78 | 100 | 133 | 145 | 134 | 151 |
교육에는 여러 형태의 비용이 필요하며, 이 비용을 누가 어떤 형태로 부담하는지는 중요한 문제이다. 각 나라의 교육 제도에 따라 비용 부담 방식은 다양하다. 많은 나라에서 초등 교육(또는 중등 교육)을 의무 교육으로 지정하고 그 비용을 정부가 부담하며, 고등 교육은 개인과 국가가 함께 부담하는 형태를 취한다.
3. 교육의 비용 부담
교육 서비스는 공공재는 아니지만 긍정적 외부 효과를 가지므로 순수한 사유재로 볼 수 없다. 따라서 교육 보급 및 수준 향상을 위해 정부가 교육 공급에 적극적인 역할을 하는 가치재의 성격을 가진다. 이러한 성격은 의무 교육에서 두드러진다.
교육 비용의 공적 부담 비율이 너무 높으면 교육 서비스 낭비, 부담 불공평 등의 문제가 발생할 수 있다. 교육 비용을 공적으로 부담하는 방법에는 장학금 등의 보조금 지급, 대출, 교육기관에 대한 보조금 지급 등이 있다.
3. 1. 교육 비용의 종류
교육에는 여러 형태의 비용이 필요하다. 교육 비용은 교육 서비스를 제공하기 위해 사용되는 인적, 물적 자원 비용과, 교육을 받는 기간 동안 일을 했다면 얻었을 소득을 희생하는 간접 비용(기회 비용)으로 나눌 수 있다.[3]
많은 국가에서 초등 교육(또는 중등 교육)을 의무 교육으로 지정하여 그 비용을 정부가 부담하고, 고등 교육은 개인과 국가가 함께 부담한다. 교육 서비스는 공공재는 아니지만 긍정적 외부 효과를 가지므로 사유재로만 볼 수도 없다. 따라서 교육 보급 및 수준 향상을 위해 정부가 교육 공급에 적극적인 역할을 하는 가치재의 성격을 가진다. 이러한 성격은 의무 교육에서 두드러진다.
교육 비용의 공적 부담 비율이 너무 높으면 교육 서비스 낭비, 부담 불공평 등의 문제가 발생할 수 있다. 교육 비용을 공적으로 부담하는 방법에는 장학금 등의 보조금 지급, 대출, 교육기관에 대한 보조금 지급 등이 있다.
유럽 국가에서는 대부분의 교육 지출이 정부 소비 형태로 이루어지지만, 일부는 개인이 부담한다. EU 정부는 2005년에 교육에 GDP의 3%에서 8%를 지출했으며, 평균은 5%였다.[2] 여기에 학생들의 기회 비용까지 포함하면 교육 투자는 GDP의 약 10%에 달한다.[3]
미국의 K-12 공교육은 주로 주 및 지방 정부가 지원하고, 연방 정부는 보조금 프로그램을 통해 적은 비율로 지원한다.[5] 2018년, 미국은 K-12 공교육에 GDP의 약 5%를 지출했으며, 학생 1인당 지출액은 OECD 국가 중 7번째였다.[6][7] 대학 수준에서는 수업료 및 자비 부담 비용 증가로 대학 진학 비용이 증가했다. 또한 고등학교 졸업생의 높은 임금으로 인해 대학의 기회 비용도 증가했다.[8] 경제학자 Jaison Abel과 Richard Deitz의 2014년 연구에 따르면, 대학 진학의 기회 비용은 놓치는 임금으로 인해 120000USD이며, 자비 부담 비용까지 고려하면 총 비용은 약 150000USD로 추정된다.[10]
기초 교육의 다른 분야와 비교했을 때, 유아 교육 재정 데이터는 여전히 부족하다. 유아 교육은 양질의 유아 교육이 후기 학습 및 기타 사회적 결과에 긍정적인 영향을 미친다는 기록이 많음에도 불구하고, 교육에 대한 총 공공 지출에서 가장 낮은 비율을 차지한다.[32]
3. 2. 공적 부담과 사적 부담
교육 서비스는 엄밀한 의미에서 공공재는 아니지만, 긍정적 외부 효과를 가져오기 때문에 순수한 사유재로 볼 수도 없다. 따라서, 교육 정책 수립 시 교육의 보급 및 교육 수준 향상을 추구하는 것이 바람직하다. 정부가 그 공급에 대한 적극적 역할을 하는 것이 기대된다는 의미에서 가치재의 성질도 가진다. 이러한 성질은 특히 의무 교육에서 잘 드러난다.[25] [26] [27] 이러한 교육 서비스의 성질에 근거하여, 그 비용의 전부 또는 일부를 공공적으로 부담한다.
많은 국가에서 초등 교육(또는 중등 교육까지)을 의무 교육으로 지정하여 그 비용을 정부가 부담하고, 고등 교육에 대해서는 개인과 국가가 함께 부담하는 형태를 취하고 있다.
그러나 교육 비용의 사적 부담과 공적 부담의 배분 비율이 적정 수준이 아니라면 문제가 발생한다. 예를 들어 공적 부담의 비율이 너무 높으면 교육 서비스의 낭비, 부담의 불공평성 등의 문제가 생긴다. 교육 비용의 일부를 공적으로 부담하는 경우에도 그 방법은 여러 가지가 있을 수 있는데, 교육을 받는 사람에 대한 보조금(장학금 등) 지급 및 대출, 교육기관에 대한 보조금 지급 등이 있다.
3. 3. 교육 재정 불평등
미국은 공교육 재정의 대부분을 지방세에 의존하여, 지역의 부가 학군 자금 조달에 영향을 미친다.[30] 부유한 지역은 더 많은 세금을 낼 수 있지만, 가난한 지역은 그렇지 못해 공교육 불평등을 초래한다. 자금 지원 차이로 인해 부유한 학교는 더 우수한 교사를 고용하여 학생들의 성적을 향상시킬 수 있다.[30]
반면, 많은 유럽 국가들은 연방세를 통해 교육에 자금을 지원하므로, 미국에 비해 교육 지출이 균등하고 학교 간 불평등이 적다.[31] 교육 자원을 균등하게 분배하면 교육 시스템의 형평성을 높여 소득 불평등을 완화하고, 장기적으로 인적 자본에 기여할 수 있다.[31]
4. 교육의 편익
교육은 개인에게 직접적인 편익을 제공할 뿐만 아니라, 사회 전체에도 간접적인 편익(외부 효과)을 제공한다.[1] 교육의 직접적 편익과 간접적 편익(외부 효과)에 대한 더 자세한 내용은 하위 문단을 참고할 수 있다.
4. 1. 교육의 직접적 편익
교육의 직접적 편익으로는 생애 소득 증가, 지적 만족, 사회적 지위 향상, 우월감 등이 있다. 이러한 편익은 생애 소득 증가와 같이 금전적으로 측정 가능한 부분과 비금전적·심리적인 부분으로 나뉘며, 후자는 금액으로 환산하기 어렵다.[1]교육 수준이 높아질수록 평생 소득이 증가하여 교육의 투자 수익률(ROI)에 영향을 미친다. 미국 대학의 경우, 학위 취득 수준이 높아질수록 평생 소득이 크게 증가하는 경향을 보인다.[12] 다만, 평생 ROI는 준학사 학위(1,200.8%)가 학사 학위(287.7%)보다 높게 나타나며, 석사 학위에 비해 박사 학위 수준에서 ROI가 감소하는 경향도 보인다.[12]
고등 교육에서 ROI는 전공에 따라 큰 차이를 보인다. 학사 학위 ROI를 분석할 때 전공 선택은 ROI 변동의 절반을 차지할 정도로 중요하며,[13] 공학, 의학, 비즈니스 및 기타 과학 분야의 학위가 가장 높은 ROI를 나타낸다.[13][14] 학위 프로그램 중 약 40%는 재정적 수익을 제공하지 않지만, 학사 학위는 일반적인 ROI 계산에서 고려되지 않는 사회적 이점을 통해 ROI를 증가시킬 수 있다.[13][15]
4. 2. 교육의 외부 효과 (간접적 편익)
교육을 통해 사회 구성원들의 교육 수준이 높아지면, 사회 환경이 개선되어 많은 사람들의 생활이 더 쾌적해진다. 또한 소득 수준이 상승하면서 소득세 수입도 늘어날 수 있다.[1] 고등 교육을 받은 사람들이 새로운 기술을 발명하고 개발하면, 사회 전체에 경제적 이익을 가져다준다.[1] 교육은 개인 네트워크의 영향과 교육받은 근로자가 그 안에서 수행하는 역할 등 긍정적 외부효과를 수반한다.[18] 이러한 이유로, 교육 서비스는 외부성이 강한 사유재이거나, 공공재적 요소를 지닌 혼합재로 간주된다.[1]5. 교육 수요와 공급
교육경제학은 경제학을 바탕으로 1960년 이후 발달한 교육학의 한 분야이다. 교육의 경제적 효과, 교육 비용 부담, 교육의 효율성과 계획, 교육 편익 분석 등을 주로 다룬다.
교육은 인적 자본에 대한 투자로, 다음과 같은 세 가지 주요 경제적 효과를 기대할 수 있다:[1]
높은 등록/졸업률을 가진 국가는 그렇지 않은 국가보다 더 빠르게 성장했다.[21] 미국은 고등학교 운동 (1910–1950)부터 교육 발전을 선도해 왔다. 교육에서의 성별 차이와 성장 수준 사이에도 상관관계가 있는데, 고등학교를 졸업한 여성과 남성의 비율이 동일하게 분포된 국가에서 더 많은 발전이 관찰된다. 교육이 경제 성장을 창출하는 것으로 보이지만, 이러한 인과 관계가 거꾸로 되어 있을 수도 있다. 예를 들어, 교육이 사치품으로 간주될 경우, 부유한 가구는 교육을 통해 부를 얻는 관계보다는 지위의 상징으로 교육 성취를 추구할 수 있다.
교육 발전은 경제 성장의 유일한 변수는 아니지만, 1915-2005년 기간 동안 노동 생산성의 연평균 증가의 약 14%만을 설명한다. 공식적인 교육 성취와 생산성 성장 사이의 더 중요한 상관관계가 부족하기 때문에, 일부 경제학자들은 오늘날의 세계에서 많은 기술과 능력은 전통적인 교육 외, 또는 학교 교육 외부에서의 학습을 통해 얻어진다고 본다.[22]
교육 수요의 지배적인 모델은 인적 자본 이론에 기반을 두고 있다. 교육을 받는 것이 소득을 증가시키거나, 문학에 대한 이해(문화 자본)와 같은 장기적인 혜택을 제공하는 기술과 지식 습득에 대한 투자라는 것이다.
5. 1. 교육 수요 모델
인적 자본 이론은 교육을 소득 증가와 기술, 지식 습득을 위한 투자로 간주한다.[19] 인적 자본 증가는 숙련된 직원이 생산 공정을 이해하거나 기계를 작동하는 데 필요한 기술을 가지기 때문에 기술 발전과 함께 따를 수 있다. 1958년부터의 연구는 추가적인 학교 교육의 수익률(추가적인 1년의 학교 교육을 통해 얻는 소득의 백분율 증가)을 계산하려고 시도했다.[20]신호 이론에 기반한 선별 모델은 교육의 성공적인 완료가 능력의 신호라고 본다.[23]
마르크스주의적 관점에서 교육은 자본주의 사회 재생산에 기여한다고 비판하며, 대안적 교육 방식을 모색한다. 마르크스와 엥겔스는 교육과 자유 시간을 자유로운 개인을 발전시키고 다면적인 인간을 창조하는 데 필수적인 것으로 이해했으며, 따라서 그들에게 교육은 주로 노동과 상품 생산을 중심으로 조직된 자본주의 사회와 달리 사람들의 삶에서 더 필수적인 부분이 되어야 했다.[24]
6. 교육 생산 함수
'''교육 생산 함수'''는 생산 함수라는 경제 개념을 교육 분야에 적용한 것이다. 이는 학생의 학습에 영향을 미치는 다양한 투입 요소(학교, 가족, 동료, 지역 사회 등)와 이후의 노동 시장 성공, 대학 진학, 졸업률 및, 가장 일반적으로는 표준화 시험 점수를 포함한 측정된 산출물 간의 관계를 나타낸다.
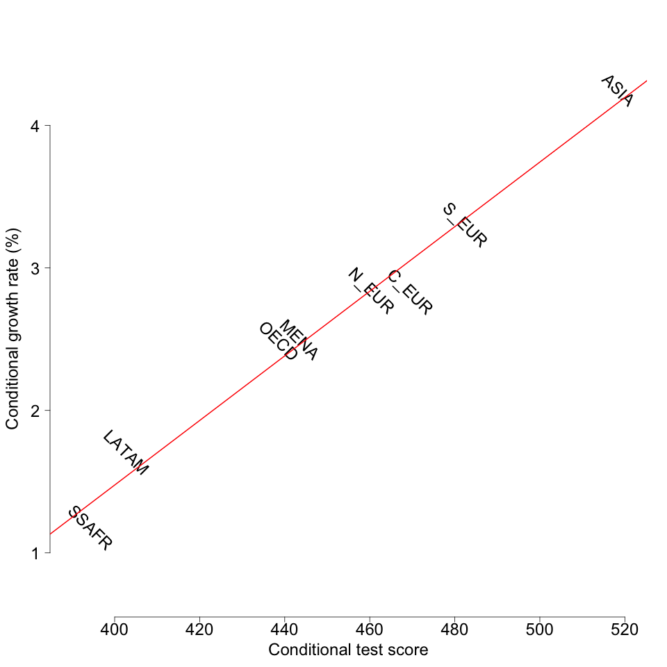
교육 생산 함수에 대한 아이디어에 관심을 촉발한 최초의 연구는 사회학자 제임스 S. 콜먼이 수행하였다. 1966년에 발표된 콜먼 보고서는 다양한 학교 투입이 학생 성취도에 미치는 한계 효과는 가족과 친구의 영향에 비해 작다고 결론지었다.[34] 이후 에릭 A. 하누셰크, 리처드 머네인 및 다른 경제학자들은 학생 학습 결과에 대한 "생산" 구조를 도입했다. 하누셰크 등(2008, 2015)은 "조정된 성장률"과 "조정된 시험 점수" 간에 매우 높은 상관 관계가 있다고 보고했다.[35]
경제학자들이 점차 참여하면서, 수많은 후속 연구들은 학교 자원이 학생 성과에 미치는 영향에 대해 일관되지 않은 결과를 도출하여 정책 논의에서 상당한 논란을 야기했다.[36][37] 다양한 연구 결과의 해석은, 그 결과가 정책 논쟁에 직접적인 영향을 미쳤기 때문에, 매우 논란이 많았다. 특히, 학교에 자금을 더 투입하는 것이 더 높은 성취도를 가져올 가능성이 있는지에 대한 전반적인 질문("돈은 중요하지 않다"는 논쟁)은 입법 논쟁과 학교 재정 시스템에 대한 법원 심의에 들어갔다.[38][39][40] 또한, 학급 규모 축소에 대한 정책 논의는 학급 규모와 성취도 간의 관계에 대한 학문적 연구를 심화시켰다.[41][42][43]
7. 비판적 시각과 교육 개혁 논의
교육 불평등은 사회 경제적 불평등을 심화시키는 요인이 되므로, 이를 해소하기 위한 노력이 필요하다. 교육 재정의 공정성 확보, 저소득층 자녀에 대한 교육 지원 확대, 교육 과정 및 평가 방식 개선 등이 필요하다.
OECD 국가의 교육 자금 지원을 보면, 교사 보상이 모든 교육 수준에서 교육 지출의 주된 요인이다.[28][29] 대학 수준에서는 수업에 대한 지출이 감소하지만 여전히 교육 지출의 대부분을 차지한다.[28] 미국의 경우 공교육의 대부분이 지방세로 자금을 조달하기 때문에, 지역 사회의 부유함이 학군 자금 조달에 영향을 미친다.[30] 부유한 지역 사회는 소득세와 재산세를 더 많이 낼 수 있지만, 가난한 지역 사회는 그렇지 못해 공교육의 불평등을 초래한다. 자금 지원 차이에서 발생하는 두드러진 불평등 중 하나는 부유한 학교가 더 자격을 갖추고 경험이 많은 교육자를 고용할 수 있다는 점이며, 이는 학생들의 시험 결과를 향상시킬 수 있다.[30] 많은 유럽 국가들은 연방세를 통해 교육에 자금을 지원하므로, 교육 지출이 더 균일하여 미국에 비해 학교 간 불평등이 덜하다.[31] 교육 자원의 균등한 분배는 더 균일한 교육 시스템을 만들어 소득의 변동을 줄일 수 있으며, 이는 장기적으로 인적 자본에 도움이 될 수 있다.[31]
7. 1. 시그널링 이론과 교육 개혁
조지 메이슨 대학교의 공공경제학 교수 브라이언 카플란은 시그널링 이론을 바탕으로 학교 교육의 상당 부분이 불필요한 신호 보내기에 불과하다고 주장하며, 교육 지출 삭감을 제안한다.[44] 카플란은 역사, 사회, 미술, 음악, 외국어 등은 사회에 나가도 도움이 되지 않고 학생도 곧 잊어버리므로, 필수 과목을 선택제로 바꾸거나 각 수업의 수준을 높여 성적이 낮은 학생을 낙제시키는 것보다 세금을 들여 비실용적인 교과를 가르치는 수업을 폐지하는 것이 효과적이라고 주장한다.[44] 그는 공립 대학의 비실용적인 학부를 폐쇄하고, 정부 보조금이나 대출을 받을 수 없는 사립 대학에 비실용적인 전공 학과를 만드는 것이 고액 수업료 문제를 해결하고 무익한 진학을 억제하며 전공 최적화에 도움이 된다고 제안한다.[44]7. 2. 교육 불평등 해소 방안
교육 불평등은 사회 경제적 불평등을 심화시키는 요인으로 작용하므로, 이를 해소하기 위한 노력이 필요하다. 교육 재정의 공정성 확보, 저소득층 자녀에 대한 교육 지원 확대, 교육 과정 및 평가 방식 개선 등이 필요하다.OECD 국가의 교육 자금 지원을 보면, 교사 보상이 모든 교육 수준에서 교육 지출의 주된 요인이다.[28][29] 대학 수준에서는 수업에 대한 지출이 감소하지만 여전히 교육 지출의 대부분을 차지한다.[28] 미국의 경우 공교육의 대부분이 지방세로 자금을 조달하기 때문에, 지역 사회의 부유함이 학군 자금 조달에 영향을 미친다.[30] 더 부유한 지역 사회는 소득세와 재산세를 더 많이 지불할 수 있지만, 더 가난한 지역 사회는 그럴 수 없어 공교육의 불평등을 초래한다. 자금 지원의 차이에서 발생하는 두드러진 불평등 중 하나는 더 부유한 학교가 더 자격을 갖추고 경험이 많은 교육자를 고용할 수 있다는 점이며, 이는 학생들의 시험 결과를 향상시킬 수 있다.[30] 많은 유럽 국가들은 연방세를 통해 교육에 자금을 지원하기 때문에, 교육 지출이 더 균일하여 미국에 비해 학교 간 불평등이 덜하다.[31] 교육 자원의 균등한 분배는 더 균일한 교육 시스템을 만들어 소득의 변동을 줄일 수 있으며, 이는 장기적으로 인적 자본에 도움이 될 수 있다.[31]
참조
[1]
서적
Economic Growth
Pearson Addison-Wesley
[2]
웹사이트
5% of EU GDP is spent by governments on education
http://epp.eurostat.[...]
2013-09-18
[3]
서적
The Formation and Stocks of Total Capital
https://archive.org/[...]
Columbia University Press
[4]
웹사이트
GDP expenditure and investment
http://epp.eurostat.[...]
2013-09-18
[5]
웹사이트
How Is K-12 Education Funded?
https://www.pgpf.org[...]
2022-12-09
[6]
웹사이트
Government expenditure on education, total (% of GDP) {{!}} Data
https://data.worldba[...]
2022-12-09
[7]
웹사이트
U.S. Public Education Spending Statistics [2022]: per Pupil + Total
https://educationdat[...]
2022-12-09
[8]
웹사이트
The Cost of College Continues to Climb
https://libertystree[...]
2022-12-09
[9]
웹사이트
College Tuition Inflation [2022]: Rate Increase Statistics
https://educationdat[...]
2022-12-09
[10]
웹사이트
Do the Benefits of College Still Outweigh the Costs?
https://www.newyorkf[...]
[11]
간행물
Why Do Some Countries Produce So Much More Output per Worker than Others?
[12]
웹사이트
Is College Worth it? {{!}} Return on Investment Analysis of College Degree
https://educationdat[...]
2022-12-09
[13]
웹사이트
Is College Worth It? A Comprehensive Return on Investment Analysis
https://freopp.org/i[...]
2022-12-09
[14]
웹사이트
The Economic Value of College Majors
https://cew.georgeto[...]
2022-12-09
[15]
서적
Thriving in college and beyond : research-based strategies for academic success and personal development
https://www.worldcat[...]
Kendall/Hunt
2016
[16]
Q인용
[17]
Q인용
[18]
서적
Brokerage and Closure
Oxford University Press
[19]
서적
The Economics of Education: NYUMBANI Human Capital, Family Background and Inequality
http://www.cambridge[...]
Cambridge
[20]
문서
returns to schooling
http://www.dictionar[...]
[21]
서적
Structural Determinants of Graduation Rates A Causal Analysis
http://worldcat.org/[...]
Distributed by ERIC Clearinghouse
2006
[22]
문서
Goldin and Katz and Education Policy Failings in Historical Perspective
http://econjwatch.or[...]
[23]
문서
signalling and screening
http://www.dictionar[...]
[24]
웹사이트
Douglas Kellner, Marxian Perspectives on Educational Philosophy: From Classical Marxism to Critical Pedagogy
http://gseis.ucla.ed[...]
2011-05-22
[25]
문서
educational finance
http://www.dictionar[...]
[26]
문서
school choice and competition
http://www.dictionar[...]
[27]
문서
The Economics of Education: Human Capital, Family Background and Inequality
[28]
웹사이트
Financing Education
https://ourworldinda[...]
2016-06-22
[29]
웹사이트
Data: Breaking Down the Where and Why of K-12 Spending
https://www.edweek.o[...]
2022-12-10
[30]
웹사이트
A Research Synthesis / Unequal School Funding in the United States
https://www.ascd.org[...]
2022-12-10
[31]
웹사이트
Public Education Financing Systems, Earnings Inequality, and Intergenerational Mobility
https://economicdyna[...]
2013-02
[32]
서적
Investing against Evidence: The Global State of Early Childhood Care and Education
http://unesdoc.unesc[...]
Paris, UNESCO
[33]
Q인용
[34]
보고서
Equality of Educational Opportunity
https://files.eric.e[...]
U.S. Department of Health, Education, and Welfare/U.S. Office of Education/U.S. Government Printing Office
2022-08-30
[35]
간행물
Education and Economic Growth: It's not just going to school, but learning something while there that matters
http://educationnext[...]
2016-10-13
[36]
논문
education production functions
http://www.dictionar[...]
[37]
학술지
The Economics of Schooling: Production and Efficiency in Public Schools
[38]
서적
Does Money Matter? The Effect of School Resources on Student Achievement and Adult Success
https://books.google[...]
The Brookings Institution
[39]
학술지
The Effect of School Resources on Student Achievement
[40]
학술지
A More Complete Picture of School Resource Policies
[41]
간행물
The Class Size Debate
http://edpro.stanfor[...]
Economic Policy Institute
[42]
논문
Class size and student achievement
[43]
학술지
The Effects of Small Classes on Academic Achievement: The Results of the Tennessee Class Size Experiment
[44]
서적
大学なんか行っても意味はない? 教育反対の経済学
みすず書房
[45]
서적
경제사상사 여행
https://books.google[...]
21세기 북스
2014-02-14
본 사이트는 AI가 위키백과와 뉴스 기사,정부 간행물,학술 논문등을 바탕으로 정보를 가공하여 제공하는 백과사전형 서비스입니다.
모든 문서는 AI에 의해 자동 생성되며, CC BY-SA 4.0 라이선스에 따라 이용할 수 있습니다.
하지만, 위키백과나 뉴스 기사 자체에 오류, 부정확한 정보, 또는 가짜 뉴스가 포함될 수 있으며, AI는 이러한 내용을 완벽하게 걸러내지 못할 수 있습니다.
따라서 제공되는 정보에 일부 오류나 편향이 있을 수 있으므로, 중요한 정보는 반드시 다른 출처를 통해 교차 검증하시기 바랍니다.
문의하기 : help@durumis.com