맨위로가기

딜스-알더 반응

"오늘의AI위키"는 AI 기술로 일관성 있고 체계적인 최신 지식을 제공하는 혁신 플랫폼입니다.
"오늘의AI위키"의 AI를 통해 더욱 풍부하고 폭넓은 지식 경험을 누리세요.

1. 개요

딜스-알더 반응은 1928년 오토 딜스와 쿠르트 알더가 발견한 다이엔과 친다이엔체의 반응으로, 1950년 노벨 화학상을 수상한 연구이다. 이 반응은 탄소 고리형 분자를 만드는 데 유용하며, 특히 육각형 구조의 탄소-탄소 결합을 형성하는 데 사용된다. 딜스-알더 반응은 협동 고리형 반응으로, 분자 궤도 이론과 우드워드-호프만 규칙으로 설명된다. 반응물인 다이엔과 친다이엔체는 다양한 구조를 가질 수 있으며, 전자 끌개 또는 전자 주는 기의 치환에 따라 반응성이 달라진다. 이 반응은 입체 특이성을 가지며, 엔도/엑소 이성질체, 위치 선택성, 루이스 산 촉매 반응 등 다양한 특징을 보인다. 딜스-알더 반응은 천연물, 의약품 합성, 시클로펜타디엔 생산 등 다양한 분야에 응용되며, 역-딜스-알더 반응, 헤테로-딜스-알더 반응 등 관련 반응도 존재한다.

더 읽어볼만한 페이지

  • 다이엔 - 알렌 (화학)
    알렌은 탄소 원자가 연속적으로 이중 결합된 사슬 형태의 유기 화합물로, 독특한 기하 구조와 분자 대칭성을 가지며 다양한 반응에 참여하고 여러 분야에서 활용된다.
  • 다이엔 - 노보나다이엔
    노보나다이엔은 딜스-알더 반응 등으로 합성되는 고리형 화합물로, 유기 반응 중간체, 유기금속화학 리간드, 태양 에너지 저장 물질, 의약품 및 신소재 합성, 촉매 등 다양한 분야에 응용된다.
  • 1928년 과학 - 그리피스 실험
    그리피스 실험은 1928년 프레더릭 그리피스가 폐렴쌍구균을 이용하여 형질전환을 발견한 실험으로, 열처리로 죽은 S형 균주의 '형질전환 인자'가 R형 균주를 S형 균주로 변화시킬 수 있음을 밝혀 DNA가 유전 물질일 가능성을 제시했다.
  • 1928년 과학 - 콘크리트 펌프
    콘크리트 펌프는 파이프를 통해 콘크리트를 압송 및 타설하는 장비로, 인력 운반의 비효율성을 극복하기 위해 개발되었으며, 피스톤 펌프 및 연동 펌프 방식을 사용하여 붐차와 배관차 형태로 건설 현장에서 활용된다.
  • 탄소-탄소 결합 형성 반응 - 그리냐르 시약
    그리냐르 시약은 할로겐화 알킬과 마그네슘을 에테르 용매에서 반응시켜 얻는 유기금속 화합물로, 강한 친핵성과 염기성을 이용하여 다양한 유기 화합물 합성에 널리 쓰이며 수분과 산소에 민감하여 무수 조건에서 취급해야 한다.
  • 탄소-탄소 결합 형성 반응 - 만니히 반응
    만니히 반응은 아민, 포름알데히드, 카르보닐 화합물을 사용하여 β-아미노 카르보닐 화합물을 생성하는 유기 반응이다.
딜스-알더 반응
반응 정보
명칭딜스-알더 반응
영어 명칭Diels–Alder reaction
유형환가 부가 반응
관련 인물오토 딜스
쿠르트 알더
식별 정보
유기화학 명명 반응diels-alder-reaction
RSC 온톨로지 ID0000006

2. 역사

딜스-알더 반응은 여러 화학자들의 얽히고 설킨 연구와 실패, 그리고 오토 딜스와 쿠르트 알더의 통찰력 있는 인식으로 만들어졌다. 1928년부터 1937년까지 ''유스투스 리비히 아날렌 데어 케미''와 ''독일 화학회 보고''에 게재된 28편의 논문에서 그들의 획기적인 연구는 이 반응의 광범위한 적용 가능성과 6원 고리 형성에 있어서의 중요성을 확립했다. 처음 19편의 논문은 딜스와 알더가 공동으로 저술했으며, 이후 논문은 딜스와 다양한 공동 저자들이 함께 저술했다.[62][63]

1928년 딜스와 알더가 발견한 반응.


그러나 이 반응의 역사는 더 거슬러 올라가는데, 19세기 후반과 20세기 초에 여러 화학자들이 독립적으로 딜스-알더 반응을 포함하는 반응들을 접했지만, 당시에는 그런 것으로 인식하지 못하고 놓쳐버린 발견들과 간과된 기회들이 있었다.[64]

  • 테오도르 칭케는 1892년과 1912년 사이에 반응성이 높은 다이엔 유사체인 테트라클로로사이클로펜타디에논과 관련된 일련의 실험을 수행했다.[65][66][67][68]
  • 1910년, 세르게이 레베데프는 부타디엔, 이소프렌, 디메틸부타디엔의 열적 중합 반응을 체계적으로 연구했는데, 이는 현재 딜스-알더 자체 반응으로 인식되며, 이량체화 생성물에 대한 상세한 분석을 제공하고, 공액 시스템의 중요성을 인식했다.[69]
  • 헤르만 슈타우딩거는 1912년에 출판된 케텐에 대한 연구에서 [4+2] 고리 첨가 반응을 다루었다.
  • 한스 폰 오일러-첼핀과 K. O. 조셉슨은 1920년에 이소프렌과 부타디엔 반응을 연구하면서, 딜스-알더 고리 첨가 반응과 일치하는 생성물을 관찰했지만, 더 이상의 연구를 진행하지 않았다.[72]
  • 1900년대 초반 발터 알브레히트는 요하네스 틸레의 연구실에서 사이클로펜타디엔과 파라-벤조퀴논의 반응을 연구했지만, 1906년 출판물에서 고리 첨가 측면을 완전히 간과했다.


이러한 관찰들은 더 광범위한 고리 첨가 반응의 가능성을 암시했지만, 당시에는 그 중요성이 제대로 평가되지 않은 채 고립된 사건으로 남아 있었으며, 어떤 연구자도 그들의 발견을 일반화하려고 시도조차 하지 않았다.[64]

딜스와 알더는 이전 연구자들과 달리, 다이엔과 다이엔 친전자체가 결합하여 고리형 구조를 형성하는 반응의 일반성과 예측 가능성을 인식했다. 다양한 다이엔과 다이엔 친전자체의 조합을 탐구하는 체계적인 연구를 통해, 그들은 "다이엔 합성"을 강력한 새로운 합성 방법으로 확립했다.

2. 1. 발견

1928년 독일 킬 대학의 오토 딜스(Otto Diels)와 그의 제자 쿠르트 알더(Kurt Alder)가 다이엔과 특정 종류의 화합물(친다이엔체)이 반응성이 좋게 반응한다는 사실을 발견했다.[97] 이들은 이 발견으로 1950년 노벨 화학상을 수상했다.[98]

딜스-알더 반응은 여러 연구자들의 연구와 실패, 그리고 딜스와 알더의 통찰력 있는 인식으로 이루어졌다. 1928년부터 1937년까지 ''유스투스 리비히 아날렌 데어 케미''(Justus Liebigs Annalen der Chemie)와 ''독일 화학회 보고''(Berichte der deutschen chemischen Gesellschaft)에 게재된 28편의 논문에서 그들의 연구를 상세히 다루었으며, 이 반응의 광범위한 적용과 6원 고리 형성에 있어서의 중요성을 확인시켰다. 처음 19편의 논문은 딜스와 알더가 공동으로 저술했으며, 이후 논문은 딜스와 여러 공동 저자들이 함께 저술했다.[62][63] 그러나 이 반응은 19세기 후반과 20세기 초, 여러 화학자들이 독립적인 연구를 통해 발견했지만, 그 중요성이 제대로 인식되지 못했다.[64]

  • 테오도르 칭케(Theodor Zincke)는 반응성이 높은 다이엔 유사체인 테트라클로로사이클로펜타디에논과 관련된 실험을 1892년과 1912년 사이에 수행했다.[65][66][67][68]
  • 1910년, 세르게이 레베데프(Sergey Lebedev)는 부타디엔, 이소프렌, 디메틸부타디엔의 열적 중합 반응을 연구했는데, 이는 현재 딜스-알더 자체 반응으로 인식되며, 이량체화 생성물에 대한 분석을 제공하고, 이 과정에서 공액 시스템의 중요성을 인식했다.[69]
  • 헤르만 슈타우딩거(Hermann Staudinger)는 1912년에 출판된 케텐(ketenes)에 대한 연구에서 한 분자의 케텐이 불포화 화합물과 반응하여 4원 고리를 형성하는 [2+2] 고리 첨가 반응과 [4+2] 고리 첨가 반응을 모두 다루었다.
  • 한스 폰 오일러-첼핀(Hans von Euler-Chelpin)과 K. O. 조셉슨(K. O. Josephson)은 1920년에 이소프렌과 부타디엔 반응을 연구하면서, 딜스-알더 고리 첨가 반응과 일치하는 생성물을 모두 관찰했지만, 더 이상의 연구를 진행하지 않았다.[72]
  • 1900년대 초반 발터 알브레히트(Walter Albrecht)는 요하네스 틸레(Johannes Thiele)의 연구실에서 사이클로펜타디엔과 파라-벤조퀴논의 반응을 연구했다. 그의 1902년 박사 학위 논문은 딜스-알더 부가물의 형성을 설명하고, 구조적 배정을 제공했다.[73] 그러나 1906년 출판물에서[74] 이 반응을 1,4-첨가 반응에 이은 1,2-첨가 반응으로 해석하여, 고리 첨가 측면을 완전히 간과했다.


이러한 관찰들은 고리 첨가 반응의 가능성을 암시했지만, 당시에는 그 중요성이 제대로 평가되지 않은 채 고립된 사건으로 남아 있었으며, 어떤 연구자도 그들의 발견을 일반화하려고 시도조차 하지 않았다.[64]

딜스와 알더는 이전 연구자들과 달리, 다이엔과 다이엔 친전자체가 결합하여 고리형 구조를 형성하는 반응의 일반성과 예측 가능성을 인식했다. 다양한 다이엔과 다이엔 친전자체의 조합을 탐구하는 체계적인 연구를 통해, 그들은 "다이엔 합성"을 강력한 새로운 합성 방법으로 확립했다.

3. 중요성

딜스-알더 반응은 탄소로 이루어진 고리형 분자를 만드는 데 유용한 몇 안 되는 반응 중 하나이다. 특히 육각형 구조의 탄소-탄소 결합을 만들 수 있으며, 가열 외에 다른 과정이 불필요하여 유기 합성에서 매우 유용하다. 반응성이 매우 좋아 실온에서 바로 반응이 진행되기도 하며, 대부분의 다이엔과 친다이엔체가 딜스-알더 반응을 통해 생성물을 형성한다.[99][100]

4. 반응 메커니즘

딜스-알더 반응은 협동 고리형 반응(concerted pericyclic reaction)의 일종으로, 단일 고리형 전이 상태를 거쳐 중간체 없이 일어난다.[5][6] 이 반응은 분자 궤도 이론과 우드워드-호프만 규칙으로 설명된다. 딜스-알더 반응은 [π4s + π2s] 고리 첨가 반응으로 분류되는데, 이는 4π 전자 시스템 (다이엔 구조)과 2π 전자 시스템 (다이노필 구조)의 suprafacial/suprafacial 상호 작용을 통해 진행됨을 의미한다. 이러한 상호작용은 에너지 장벽 없이 전이상태를 유도하여 반응이 비교적 쉽게 일어나도록 한다.[7]

최전선 분자 궤도 (FMO) 이론에 따르면, 일반적인 경우 (정상 전자 요구 딜스-알더 반응)에는 전자 풍부한 다이엔의 최고 점유 분자 궤도 (HOMO)와 전자 부족 다이노필의 최저 비점유 분자 궤도 (LUMO) 사이의 상호 작용이 중요하다.

딜스-알더 반응의 FMO 분석


그러나 역 전자 요구 딜스-알더 반응에서는 다이엔에 전자 끄는 기가, 다이노필에 전자 주는 기가 있을 때, 다이엔의 LUMO와 다이노필의 HOMO 간 상호작용이 중요해진다. 어떤 경우든 구성 요소의 HOMO와 LUMO는 동위상이며 결합 상호 작용이 발생한다. 반응물은 바닥 상태에 있으므로 반응은 열적으로 시작되며 빛에 의한 활성화는 필요하지 않다.[7]

딜스-알더 반응은 열에 의해 반응이 진행되지만, 빛에 의해서는 진행되지 않는다 (열역학적으로 허용, 광화학적으로 금지). 그 이유는 바닥 상태에서는 공액 다이엔의 HOMO는 π2 궤도이지만, 빛에 의해 전자가 여기되면 여기 상태에서는 HOMO의 궤도가 π3 궤도가 되어, 다이엔 파일의 LUMO와 궤도 겹침이 없어지기 때문이다.

딜스-알더 반응의 분자 오비탈


다이메틸포름아미드나 에틸렌 글리콜과 같은 극성 유기 용매, 심지어 물에서도[13] 특정 딜스-알더 반응의 반응 속도가 증가한다. 예를 들어, 사이클로펜타다이엔과 부테논의 반응은 2,2,4-트리메틸펜테인을 용매로 사용했을 때보다 물에서 700배 더 빠르다.[13]

5. 반응물

딜스-알더 반응의 반응물은 크게 다이엔과 친다이엔체 두 가지로 나뉜다.
다이엔 (Diene)은 탄소의 이중 결합-단일 결합-이중 결합 순으로 이루어진 구조를 갖는 물질이다. 일반적으로 s-시스 형과 s-트랜스 형 두 가지 형태로 존재하며, 이 둘은 특정 에너지 이상의 조건에서 서로 전환될 수 있다. 딜스-알더 반응에는 s-시스 형태의 다이엔이 참여하는데, 이는 다이엔의 1번과 4번 탄소가 고리형 전이 상태를 거쳐 반응하기에 충분히 가까운 거리에 있기 때문이다. 반면 s-트랜스 형태는 양 끝이 너무 멀어 친다이엔체의 p 오비탈과 효과적으로 겹칠 수 없다.[103]

다이엔은 사슬 또는 고리 형태일 수 있으며, 다양한 치환기를 가질 수 있다. 부타다이엔의 경우 s-트랜스 배치가 더 안정하지만, 대부분 에너지 차이는 작다.(~2–5 kcal/mol)[25] C2 또는 C3 위치에 부피가 큰 치환기를 가지면 반응 속도가 증가하는데, 예를 들어 2-tert-뷰틸-부타-1,3-다이엔은 부타다이엔보다 27배 더 반응성이 높다.[5][26] 반대로, C2와 C3 모두에 부피가 큰 치환기를 가지면 반응성이 떨어진다.[26] 말단 치환기(C1과 C4)가 부피가 큰 경우에도 반응 속도가 감소한다.[27]

다니셰프스키 다이엔(1-메톡시-3-트리메틸실록시-부타-1,3-다이엔)은 특히 반응성이 높다.[28] 이 외에도 브라사르 다이엔,[29] 라왈 다이엔[30] 등이 반응성이 높은 다이엔으로 알려져 있다.

안트라센은 중심 고리가 덜 방향족이기 때문에 말레산 무수물과 80°C에서, 약한 다이엔친인 아세틸렌과도 250°C에서 9,10 부가물을 형성할 수 있다.[32]
친다이엔체 (Dienophile)이중 결합 혹은 삼중 결합을 포함하는 물질, 즉 파이 결합을 하고 있는 물질이다. 에틸렌은 반응성이 좋지 않지만, 프로페날, 에틸 프로페노에이트, 말레산 무수물 등은 반응성이 매우 크다. Methyl propynoate와 같은 알카인도 친다이엔체로 사용 가능하다.[101] 친다이엔체는 탄소들끼리 컨쥬게이션을 형성하여 전자가 비편재화될 수 있으며, 페닐기 등과 함께 컨쥬게이션을 이룰 수도 있다. 또한 루이스 산으로도 사용 가능하다.[102]

5. 1. 다이엔 (Diene)

s-시스와 s-트랜스 형 부타다이엔


탄소의 이중결합-단일결합-이중결합 순으로 이루어진 구조를 갖는 물질로, 일반적으로 s-시스 형과 s-트랜스 형 두 가지 형태로 존재한다. 이 둘 사이에서는 특정한 값 이상의 에너지만 주어지면 서로 전환이 가능하며 딜스-알더 반응을 위해서는 반드시 s-시스 형태로 존재해야 한다. s-시스 형태에서는 다이엔의 1번과 4번 탄소에 접근하여 고리형 전이 상태를 거쳐 반응하기에 충분히 가까운 거리에 있지만, s-트랜스 형태에서는 다이엔 파트너의 양끝이 너무 멀리 떨어져 있어 친다이엔체의 p오비탈과 효과적으로 겹칠 수 없다.[103]

딜스-알더 반응의 다이엔 구성 요소는 사슬 열린 형태 또는 고리 형태일 수 있으며, 다양한 종류의 치환체를 가질 수 있다.[5] 그러나 반응에 참여할 수 있는 유일한 배향체이므로, s-''시스'' 배치를 가질 수 있어야 한다. 부타다이엔은 일반적으로 s-''트랜스'' 배치가 더 안정하지만, 대부분의 경우 에너지 차이는 작다(~2–5 kcal/mol).[25]

C2 또는 C3 위치의 부피가 큰 치환기는 s-''트랜스'' 배치를 불안정하게 만들어 다이엔을 반응성 s-''시스'' 배치로 강제함으로써 반응 속도를 증가시킬 수 있다. 예를 들어, 2-''tert''-뷰틸-부타-1,3-다이엔은 단순한 부타다이엔보다 27배 더 반응성이 높다.[5][26] 반대로, C2와 C3 모두에 부피가 큰 치환기를 가진 다이엔은 치환기 간의 입체적 상호 작용으로 s-''시스'' 배치가 불안정해지므로 반응성이 떨어진다.[26]

말단 치환기(C1과 C4)가 부피가 큰 다이엔은 다이엔과 다이엔친의 접근을 방해하여 반응 속도를 감소시킨다.[27]

특히 반응성이 높은 다이엔은 1-메톡시-3-트리메틸실록시-부타-1,3-다이엔으로, 다니셰프스키 다이엔이라고도 알려져 있다.[28] 이 다이엔은 에놀 실릴 에테르의 탈보호 후 1-메톡시 치환체의 제거를 통해 α,β-불포화된 시클로헥세논 시스템을 제공하는 수단으로 특별한 합성적 유용성을 가진다. 다니셰프스키 다이엔의 다른 합성적으로 유용한 유도체로는 1,3-알콕시-1-트리메틸실록시-1,3-부타다이엔 (브라사르 다이엔)[29]과 1-다이알킬아미노-3-트리메틸실록시-1,3-부타다이엔 (라왈 다이엔)이 있다.[30] 이러한 다이엔 및 유사한 다이엔의 반응성 증가는 C1과 C3에서의 공여체의 시너지 효과로 인해 발생하며, 이로 인해 HOMO가 비슷한 단일 치환 다이엔보다 훨씬 높아진다.[31]

다니셰프스키, 브라사르, 라왈 다이엔의 일반적인 형태


불안정한 (따라서 반응성이 높은) 다이엔은 합성적으로 유용할 수 있다. 예를 들어, ''o''-퀴노디메탄은 현장에서 생성될 수 있다. 반대로, 나프탈렌과 같은 안정적인 다이엔은 강제 조건 및/또는 ''N''-페닐말레이미드와 같은 고반응성 다이엔친이 필요하다. 안트라센은 중심 고리가 덜 방향족이기 때문에 (따라서 딜스-알더 합성에 더 반응성이 높음) 말레산 무수물과 80°C에서, 그리고 심지어 약한 다이엔친인 아세틸렌과도 250°C에서 9,10 부가물을 형성할 수 있다.[32]

5. 2. 친다이엔체 (Dienophile)

이중결합 혹은 삼중결합을 포함하는 물질, 즉 파이 결합을 하고 있는 물질이다. 에틸렌 자체는 반응성이 좋지 않지만, 프로페날(propenal), 에틸 프로페노에이트(ethyl propenoate), 말레산 무수물(maleic anhydride) 등은 반응성이 매우 크다. Methyl propynoate와 같은 알카인들도 친다이엔체로서 사용할 수 있다.[101] 친다이엔체는 내부의 탄소들끼리 컨쥬게이션을 형성하여 전자가 비편재화(delocalization)되며, 이는 결합 3개에만 해당하지 않고 페닐기 등과 함께 컨쥬게이션을 이룰 수 있다. 또한 루이스 산으로도 사용 가능하다.[102]

6. 입체화학

딜스-알더 반응에서 공액 다이엔의 1번과 4번에 치환기가 있고, 다이엔 파일에도 치환기가 있는 경우, 여러 생성물이 예상된다. 이때 속도론적으로 지배적인 endo 부가체와 열역학적으로 지배적인 exo 부가체가 존재하며, 생성물의 입체 선택성은 '''endo 규칙'''에 의해 설명된다. 예를 들어, 사이클로펜타다이엔과 카보닐기 등 π 전자를 가진 치환기를 갖는 다이엔 파일과의 반응에서는, 치환기의 π 궤도와 공액 다이엔의 π 궤도가 겹쳐지는 이차 궤도 상호작용 때문에 endo 부가체가 우선적으로 생성된다.



하지만 입체적인 영향이 크면 반응 기질에 따라 exo 부가체가 우선적으로 생성되기도 한다. 특히 분자 내 딜스-알더 반응은 컨포메이션의 자유도가 낮아 endo 규칙이 성립하지 않는 경우가 많다.

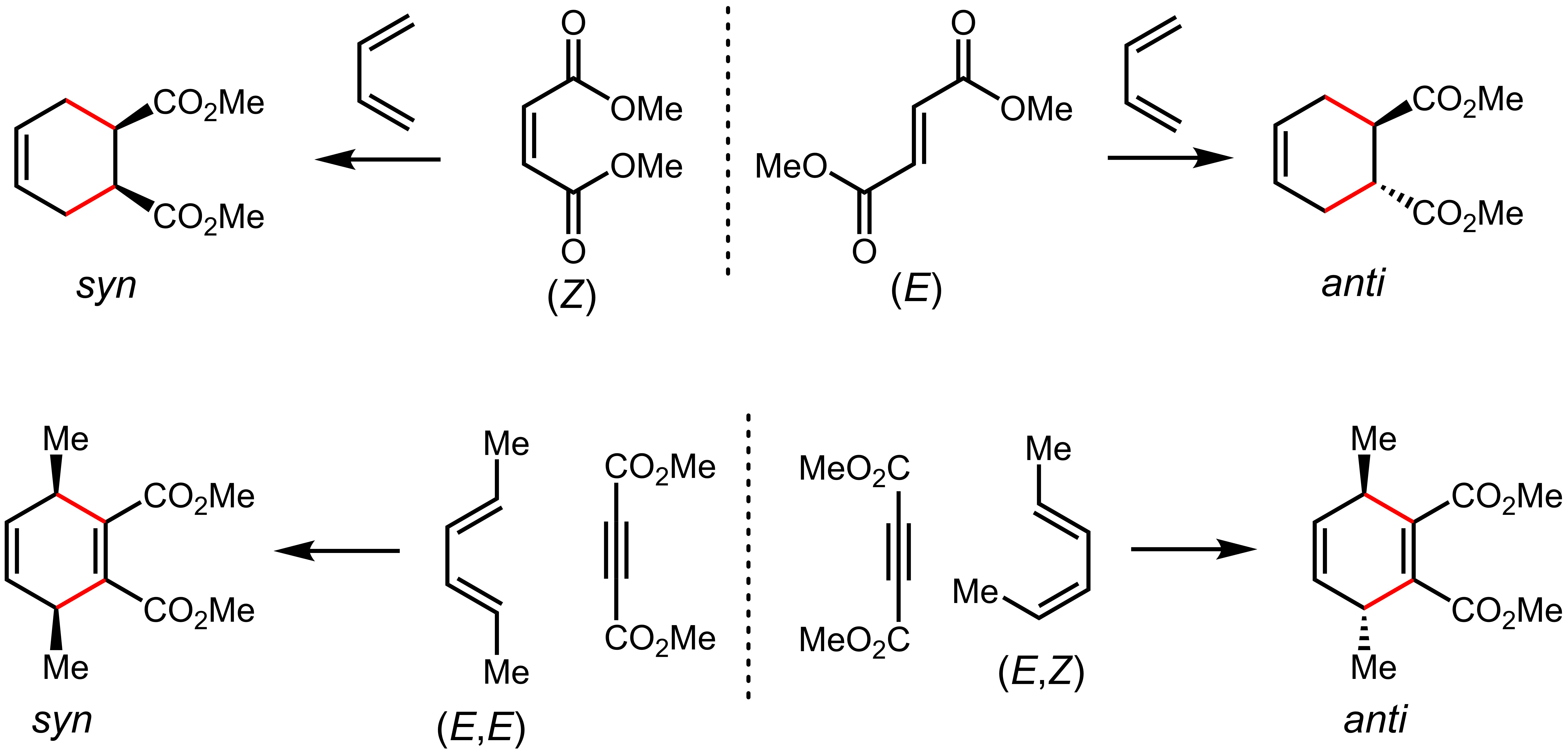
6. 1. 입체 특이성 (Stereospecificity)

딜스-알더 반응은 입체 특이적 반응으로, 다이엔과 친다이엔체의 입체 화학 정보가 생성물에 유지된다.[18][19] 예를 들어, 다이엔체의 이중 결합에서 ''시스''(또는 ''트랜스'') 관계의 치환기는 시클로헥센 고리와 관련하여 동일한 탄소에서 ''시스''(또는 ''트랜스'') 치환기를 생성한다. 마찬가지로, ''시스'',''시스'' 및 ''트랜스'',''트랜스'' 이치환 다이엔은 생성물의 해당 탄소에서 ''시스'' 치환기를 생성하는 반면, ''시스'',''트랜스'' 이치환 다이엔은 ''트랜스'' 치환기를 생성한다.[18][19]

500x500px


새로 형성된 단일 결합의 양쪽 끝에서 인접한 입체 중심이 생성되는 딜스-알더 반응은 두 가지 다른 가능한 입체 화학적 결과를 갖는다. 다이엔체의 가장 중요한 치환기가 다이엔 π 시스템을 향하고 반응이 진행됨에 따라 그 아래로 미끄러지는 전이 상태는 ''엔도'' 전이 상태라고 한다. 대안적인 ''엑소'' 전이 상태에서는 반대 방향으로 향한다.

아크롤레인에 첨가되는 시클로펜타디엔의 ''엔도'' 및 ''엑소'' 전이 상태; 이 반응 및 다양한 다른 다이엔체의 ''엔도''/''엑소'' 생성물 비율


다이엔체가 단일 전자 인출/공액 치환기를 갖거나, 서로 ''시스'' 관계에 있는 두 개의 전자 인출/공액 치환기를 갖는 경우, ''엔도'' 전이 상태가 일반적으로 선호된다. 이러한 선호도는 '''알더 엔도 규칙'''으로 알려져 있다. 알더가 원래 진술했듯이, 선호되는 전이 상태는 "이중 결합의 최대 축적"을 갖는 것이다. ''엔도'' 선택성은 말레산 무수물과 벤조퀴논과 같은 단단한 다이엔체에서 일반적으로 더 높으며, 아크릴산염 및 크로톤산염과 같은 다른 다이엔체의 경우 선택성이 그다지 두드러지지 않는다.[20]

다이엔체상의 전자 인출 그룹이 모두 한쪽에 있는 경우 ''엔도'' 규칙이 적용된다.


이 효과의 기원에 대한 가장 널리 받아들여지는 설명은 다이엔체와 다이엔의 π 시스템 간의 유리한 상호 작용, 즉 ''2차 오비탈 효과''이다. 전기 쌍극자 및 반 데르 발스 힘 인력이 작용할 수 있으며, 용매가 때때로 선택성에 실질적인 차이를 만들 수 있다.[5][21][22] 2차 오비탈 겹침 설명은 우드워드와 호프만에 의해 처음 제안되었다.[23]

400x400px


6. 2. 입체 선택성 (Stereoselectivity) - 엔도/엑소 이성질체 (Endo/Exo Isomer)

딜스-알더 반응은 엔도(endo)와 엑소(exo) 이성질체, 두 가지 다른 입체화학적 결과를 낳을 수 있다.[105] 이 두 이성질체는 다이엔과 친다이엔체가 반응하는 방향에 따라 구분되며, 전이 상태도 달라진다.[107]

  • 엔도(endo) 전이 상태: 친다이엔체의 치환기가 다이엔 π 시스템을 향하는 형태이다.
  • 엑소(exo) 전이 상태: 친다이엔체의 치환기가 다이엔 π 시스템 반대 방향을 향하는 형태이다.


일반적으로 '''알더 엔도 규칙(Alder endo rule)'''에 따라 엔도 전이 상태가 선호된다.[106] 알더 엔도 규칙은 "이중 결합의 최대 축적"을 갖는 전이 상태가 선호된다는 것이다.[20] 이는 다이엔체와 다이엔의 π 시스템 간의 유리한 상호 작용, 즉 ''2차 오비탈 효과''로 설명된다.[5][21][22]

그러나 고도로 치환된 다이엔, 매우 부피가 큰 다이엔체, 또는 가역 반응 (예: 다이엔으로서의 푸란)과 같이 입체 효과가 큰 경우에는 엑소 이성질체가 선호될 수 있다.[108]

7. 위치 선택성 (Regioselectivity)

딜스-알더 반응에서 치환된 다이엔과 친다이엔체가 반응할 때, 생성물에서 치환기의 위치는 프론티어 분자 궤도(Frontier Molecular Orbital, FMO) 이론으로 설명할 수 있다. 일반적으로 '오르토-파라 규칙'을 따르는데, 이는 시클로헥센 생성물이 이치환된 아렌의 오르토 및 파라 위치와 비슷한 위치에 치환기를 갖는다는 것을 의미한다.

8. 관련 현상

딜스-알더 반응과 유사한 여러 반응들이 알려져 있다.

카보닐기는 다이엔과 반응하여 다이하이드로피란 고리를 생성할 수 있는데, 이 반응은 옥소-딜스-알더 반응으로 알려져 있다.[34] 이민은 다이엔체로 사용되거나 다이엔의 다양한 위치에 존재하여 아자-딜스-알더 반응을 통해 다양한 ''N''-헤테로고리 화합물을 형성할 수 있다. 니트로소 화합물(R-N=O)은 다이엔과 반응하여 옥사진을 생성할 수 있다. 클로로설포닐 이소시아네이트는 빈스 락탐을 제조하기 위해 다이엔체로 활용될 수 있다.[5][35]

헥사데히드로 딜스-알더 반응은 알켄과 다이엔 대신 알킨과 다이인을 사용하여 불안정한 벤자인 중간체를 형성하고, 이를 포획하여 방향족 생성물을 형성하는 반응이다. 이 반응을 통해 고도로 작용화된 방향족 고리를 한 단계로 형성할 수 있다.[58][59]

최근에는 생물에서의 딜스-알더 반응도 몇 종류 알려졌다. 그 중 "마크로포민산 합성 효소"에서 반응 메커니즘이 상세하게 조사되고 있다.[93][94] 다만 이 반응 메커니즘에 대해서는 이의도 있다.[95] 또한 "인공 효소"(리보자임, 항체 효소)를 이용하는 시도도 이루어지고 있다.

8. 1. 역-딜스-알더 반응 (Retro-Diels-Alder reaction)

200°C 이상의 온도에서는 고리 화합물이 형성되지 않고, 생성된 화합물이 원래의 반응물로 되돌아간다. 이것은 딜스-알더 반응의 역반응이기 때문에, '''역-딜스-알더 반응'''이라고 한다.

8. 2. 헤테로-딜스-알더 반응 (Hetero-Diels-Alder reaction)

카보닐기는 다이엔과 반응하여 다이하이드로피란 고리를 생성할 수 있는데, 이 반응은 옥소-딜스-알더 반응으로 알려져 있다.[34] 이민은 다이엔체로 사용되거나 다이엔의 다양한 위치에 존재하여 아자-딜스-알더 반응을 통해 다양한 ''N''-헤테로고리 화합물을 형성할 수 있다. 니트로소 화합물(R-N=O)은 다이엔과 반응하여 옥사진을 생성할 수 있다. 클로로설포닐 이소시아네이트는 빈스 락탐을 제조하기 위해 다이엔체로 활용될 수 있다.[5][35]

8. 3. 헥사데하이드로 딜스-알더 반응 (Hexadehydro Diels–Alder reaction)

헥사데히드로 딜스-알더 반응은 알켄과 다이엔 대신 알킨과 다이인을 사용하여 불안정한 벤자인 중간체를 형성하고, 이를 포획하여 방향족 생성물을 형성하는 반응이다. 이 반응을 통해 고도로 작용화된 방향족 고리를 한 단계로 형성할 수 있다.[58][59]

8. 4. 기타

공액 디엔과 디엔오파일의 반응에 관여하는 6개의 원자 안에 헤테로원자를 포함하는 경우에 일어나는 이 반응은, 특히 '''헤테로-딜스-알더 반응'''이라고 불린다.

딜스-알더 반응은 최근 생물에서의 반응에서도 몇 종류가 알려지게 되었다. 그 중 "마크로포민산 합성 효소"에서 반응 메커니즘이 상세하게 조사되고 있다.[93][94] 다만 이 반응 메커니즘에 대해서는 이의도 있다.[95] 또한 "인공 효소"(리보자임, 항체 효소)를 이용하는 시도도 이루어지고 있다.

온도가 200도 이상인 경우, 환상 화합물이 형성되지 않게 되고, 생성된 화합물은 원래의 반응물로 되돌아간다. 이것은 이 반응의 역반응이기 때문에, '''레트로-딜스-알더 반응'''이라고 한다.

9. 응용

딜스-알더 반응은 다양한 천연물 및 의약품 합성에 널리 활용된다. 대표적인 예시는 다음과 같다.


  • 코르티손콜레스테롤 합성:
    R. B. 우드워드의 코르티손 전체 합성에서의 딜스-알더 반응
    부타디엔을 퀴논에 첨가하는 딜스-알더 반응이 사용되었다.[75]

  • 프로스타글란딘 합성:
    F2α 및 E2의 최초 합성에 사용되었다.[76] 딜스-알더 반응은 프로스타글란딘 시클로펜탄 코어의 3개 입체 중심의 상대적 입체 화학을 확립하며, 구리(II) 테트라플루오로붕산염과 같은 루이스 산 활성화가 필요했다.

  • 레세르핀 합성:
    딜스-알더 반응을 사용하여 D 및 E 고리의 ''시스''-데칼린 골격을 설정한다.[78]

  • 택솔 전체 합성:
    피라논이 다이에노필로 사용되었다.[80]

  • (-)-푸라퀴노신 C 합성:
    딜스-알더 반응이 핵심적인 단계이다.[82]

  • 타베르소닌 합성:
    딜스-알더 반응을 통해 알칼로이드 코어의 ''시스'' 상대 입체 화학을 확립하여 제조되었다.[83]

  • (+)-스테르푸렌 합성:
    비대칭 딜스-알더 반응[84]에 의해 제조될 수 있으며, 알렌의 분자 내 딜스-알더 반응을 특징으로 한다.

  • 칸타리딘 합성: 다케무라 등은 1980년에 고압을 이용하여 딜스-알더 반응을 통해 칸타리딘을 합성했다.[86]


딜스-알더 반응의 합성 응용 분야는 광범위하게 검토되었다.[87][88][89][90][91]

참조

[1] 서적 Organic Reactions
[2] 서적 Organic Reactions
[3] 간행물 Diels–Alder "click" reactions: recent applications in polymer and material science 2011
[4] 서적 Modern Organic Synthesis: An Introduction W. H. Freeman and Co.
[5] 문서 Carey
[6] 간행물 Mechanism of the Diels-Alder reaction: Reactions of butadiene with ethylene and cyanoethylenes
[7] 문서 Carey
[8] 문서 Carey
[9] 간행물 Transition-state structure variation in the Diels–Alder reaction from secondary deuterium kinetic isotope effects: The reaction of a nearly symmetrical diene and dienophile is nearly synchronous
[10] 간행물 Evidence for the concerted mechanism of the Diels–Alder reaction of butadiene with ethylene
[11] 간행물 Density Functional Theory Prediction of the Relative Energies and Isotope Effects for the Concerted and Stepwise Mechanisms of the Diels−Alder Reaction of Butadiene and Ethylene
[12] 간행물 Diels-Alder reactions in nonaqueous polar solvents. Kinetic effects of chaotropic and antichaotropic agents and of β-cyclodextrin
[13] 간행물 Hydrophobic acceleration of Diels-Alder reactions
[14] 간행물 Chaotropic salt effects in a hydrophobically accelerated Diels–Alder reaction
[15] 간행물 Initial-State and Transition-State Effects on Diels–Alder Reactions in Water and Mixed Aqueous Solvents
[16] 간행물 Organometallic reaction mechanisms. XII. Mechanism of methylmagnesium bromide addition to benzonitrile
[17] 서적 Frontier Orbital and Organic Chemical Reactions Wiley
[18] 간행물 Umlagerungen von 1,4,4- und 2,2,5-Trimethylbicyclo[3.2.1]oct-6-yl-Kationen
[19] 간행물 Stéréosélection acyclique-1,5: Synthèse de la chaîne latérale optiquement active de la vitamine E
[20] 간행물 Influence of steric interactions on endo stereoselectivity
[21] 간행물 Role of attractive interactions in endo–exo stereoselectivities of Diels–Alder reactions
[22] 간행물 Stereochemistry of the Diels–Alder reaction. II. Lewis acid catalysis of syn-anti isomerism
[23] 서적 The conservation of orbital symmetry 2013-10-22
[24] 간행물 The existence of secondary orbital interactions 2007
[25] 문서 Carey
[26] 간행물 Le 2,3-Ditertiobutylbutadiène
[27] 간행물 The Rate of Reaction of Maleic Anhydride with 1,3-Dienes as Related to Diene Conformation
[28] 간행물 Useful diene for the Diels–Alder reaction
[29] 간행물 Regiospecific syntheses of quinones using vinylketene acetals derived from unsaturated esters
[30] 간행물 Preparation and Diels−Alder Reactivity of 1-Amino-3-siloxy-1,3-butadienes
[31] 간행물 The Diels-Alder Reaction in Total Synthesis
[32] 문서 Chimie organica
[33] 간행물 Ketene Equivalents
[34] 서적 Comprehensive Organic Synthesis
[35] 간행물 Iminium Ion-Based Diels–Alder Reactions: N-Benzyl-2-Azanorborene http://www.orgsyn.or[...]
[36] 논문 Frontier molecular orbital theory of cycloaddition reactions https://doi.org/10.1[...] 1975-11-01
[37] 서적 Molecular orbitals and organic chemical reactions Wiley 2009
[38] 서적 Organic chemistry Oxford University Press 2012
[39] 논문 How Lewis Acids Catalyze Diels–Alder Reactions 2020-04-06
[40] 논문 Origin of rate enhancement and asynchronicity in iminium catalyzed Diels–Alder reactions 2020
[41] 논문 Bifunctional Hydrogen Bond Donor-Catalyzed Diels–Alder Reactions: Origin of Stereoselectivity and Rate Enhancement 2021-03-17
[42] 논문 Lewis Acid-Catalyzed Diels-Alder Reactions: Reactivity Trends across the Periodic Table 2021-07-21
[43] 논문 Origin of asynchronicity in Diels–Alder reactions 2021
[44] 논문 The Pauli Repulsion-Lowering Concept in Catalysis https://research.vu.[...] 2021-04-20
[45] 논문 How Alkali Cations Catalyze Aromatic Diels-Alder Reactions 2020-04
[46] 논문 How Lewis Acids Catalyze Ring-Openings of Cyclohexene Oxide 2021-02-19
[47] 논문 How Lewis Acids Catalyze Ene Reactions 2021-10-07
[48] 논문 Origin of rate enhancement and asynchronicity in iminium catalyzed Diels–Alder reactions 2020
[49] 논문 Bifunctional Hydrogen Bond Donor-Catalyzed Diels–Alder Reactions: Origin of Stereoselectivity and Rate Enhancement 2021-03-17
[50] 논문 Lewis Acid-Catalyzed Diels-Alder Reactions: Reactivity Trends across the Periodic Table 2021-07-21
[51] 논문 cis-2,5-Diaminobicyclo[2.2.2]octane, a New Scaffold for Asymmetric Catalysis via Salen−Metal Complexes 2011
[52] 논문 Asymmetric Diels–Alder cycloaddition reactions with chiral α,β-unsaturated N-acyloxazolidinones
[53] 논문 First application of attractive intramolecular interactions to the design of chiral catalysts for highly enantioselective Diels–Alder reactions
[54] 논문 Asymmetric Diels-Alder reactions catalyzed by a triflic acid activated chiral oxazaborolidine
[55] 논문 Triflimide activation of a chiral oxazaborolidine leads to a more general catalytic system for enantioselective Diels-Alder addition
[56] 논문 Chiral bis(oxazoline) copper(II) complexes: Versatile catalysts for enantioselective cycloaddition, Aldol, Michael, and carbonyl Ene reactions
[57] 논문 New Strategies for Organic Catalysis: The First Highly Enantioselective Organocatalytic Diels−Alder Reaction
[58] 논문 The hexadehydro-Diels–Alder reaction
[59] 논문 Hexadehydro-Diels–Alder Reaction: Benzyne Generation via Cycloisomerization of Tethered Triynes
[60] 논문 Recent advances of Diels–Alderases involved in natural product biosynthesis
[61] 간행물
[62] 논문 α-Picolin und Acetylen-dicarbonsäureeste
[63] 웹사이트 The Nobel Prize in Chemistry 1950 https://www.nobelpri[...] The Nobel Foundation 2016-02-19
[64] 논문 Discoveries missed, discoveries made: creativity, influence, and fame in chemistry https://www.scienced[...] 1992
[65] 논문 Ueberführung von Pentenderivaten in Indenderivate https://books.google[...] 1893
[66] 논문 Ueber die Einwirkung von Chlor auf o-Amidophenole und o-Diamine https://books.google[...] 1897
[67] 논문 Ueber die Umwandlung von Pentenderivaten in Indenderivate https://scholar.arch[...] 1909
[68] 논문 Über Tetrachlor-o-kresol und seine Umwandlung in Perchlorindon https://chemistry-eu[...] 1912
[69] 문서 О полимеризации двуэтиленовых углеводородов http://e-heritage.ru[...]
[70] 논문 Zur Kenntniss der Kautschukarten: Ueber Abbau und Constitution des Parakautschuks https://scholar.arch[...] 1905
[71] 서적 Die ketene https://archive.org/[...] Stuttgart, F. Enke 1912
[72] 논문 Über Kondensationen an Doppelbindungen. I.: Über die Kondensation von Isopren mit Benzochinon https://scholar.arch[...] 1920
[73] 간행물 Über Cyclopentadiënchinone. Kondensationsversuche mit Diphenylmethan, Dihydronaphtalin und Cyclopentadiën. Inaugural-Dissertation... von Walther Albrecht.. P. Stankiewicz'Buchdruckerei. 1902
[74] 논문 Additionsproducte von Cyklopentadiën und Chinonen https://scholar.arch[...] 1906
[75] 논문 The Total Synthesis of Steroids
[76] 논문 Stereo-controlled synthesis of prostaglandins F-2a and E-2 (dl)
[77] 논문 Synthesis of disodium prephenate and disodium epiprephenate. Stereochemistry of prephenic acid and an observation on the base-catalyzed rearrangement of prephenic acid to p-hydroxyphenyllactic acid
[78] 논문 General methodology for cis-hydroisoquinoline synthesis: Synthesis of reserpine
[79] 논문 General strategies for the synthesis of indole alkaloids. Total synthesis of (±)-reserpine and (±)-α-yohimbine
[80] 논문 Total synthesis of taxol
[81] 논문 Phenylboronic Acid as a Template in the Diels-Alder Reaction
[82] 논문 Total Synthesis of (−)-Furaquinocin C
[83] 논문 A General Strategy to Aspidosperma Alkaloids: Efficient, Stereocontrolled Synthesis of Tabersonine
[84] 논문 A short enantioselective synthesis of (+)-sterpurene: Complete intramolecular transfer of central to axial to central chiral elements
[85] 논문 Synthesis of (-)-tetracycline
[86] 논문 Simple, efficient total synthesis of cantharidin via a high-pressure Diels–Alder reaction
[87] 서적 Organic Reactions
[88] 서적 Organic Reactions
[89] 서적 Organic Reactions
[90] 서적 Organic Reactions
[91] 서적 Organic Reactions
[92] 논문 Syntheses in the hydroaromatic series. I. Addition of “diene” hydrocarbons
[93] 간행물 Insight into a natural Diels−Alder reaction from the structure of macrophomate synthase 2005
[94] 웹사이트 世界初の天然型 Diels-Alderase (北海道大学) http://www.hokudai.a[...]
[95] 간행물 Macrophomate Synthase: QM/MM Simulations Address the Diels-Alder versus Michael-Aldol Reaction Mechanism 2005
[96] 서적 Organic Chemistry
[97] 논문 Synthesen in der hydroaromatischen Reihe
[98] 웹인용 nobelprize.org http://www.nobelpriz[...] 2012-05-03
[99] 서적 유기화학 7판
[100] 서적 유기화학(제6판)
[101] 서적 유기화학 7판
[102] 논문 Niobium Pentachloride Activation of Enone Derivatives: DielsAlder and Conjugate Addition Products
[103] 서적 Organic Chemistry
[104] 논문
[105] 논문
[106] 논문
[107] 논문
[108] 논문
[109] 서적 Organic Chemistry. 3rd ed. New York, NY: McGraw-Hill
[110] 논문 The mechanism of the Diels-Alder reaction.
[111] 논문
[112] 논문
[113] 서적 식품화학 수학사



본 사이트는 AI가 위키백과와 뉴스 기사,정부 간행물,학술 논문등을 바탕으로 정보를 가공하여 제공하는 백과사전형 서비스입니다.
모든 문서는 AI에 의해 자동 생성되며, CC BY-SA 4.0 라이선스에 따라 이용할 수 있습니다.
하지만, 위키백과나 뉴스 기사 자체에 오류, 부정확한 정보, 또는 가짜 뉴스가 포함될 수 있으며, AI는 이러한 내용을 완벽하게 걸러내지 못할 수 있습니다.
따라서 제공되는 정보에 일부 오류나 편향이 있을 수 있으므로, 중요한 정보는 반드시 다른 출처를 통해 교차 검증하시기 바랍니다.

문의하기 : help@durumis.com