콜레스테롤
"오늘의AI위키"의 AI를 통해 더욱 풍부하고 폭넓은 지식 경험을 누리세요.
1. 개요
콜레스테롤은 동물의 세포막을 구성하는 지질의 일종으로, 스테로이드의 일종이다. 1769년 담석에서 처음 발견되었으며, 인체 내에서는 간에서 합성되거나 음식물을 통해 섭취된다. 콜레스테롤은 세포막 유지, 호르몬 생성 등 생명 유지에 필수적인 역할을 하며, 혈액 내 리포단백질 형태로 운반된다. 혈중 콜레스테롤 수치가 높으면 고지혈증, 동맥경화증, 심혈관 질환의 위험이 증가하며, 반대로 낮으면 우울증, 암 등의 위험이 있을 수 있다. 콜레스테롤 수치는 식단, 유전적 요인, 약물 등에 의해 조절되며, 콜레스테롤 유도체는 액정 디스플레이, 온도계 등에도 활용된다.
더 읽어볼만한 페이지
- 신호전달 경로에 관한 - 지방산
지방산은 탄소 원자와 카르복실기로 이루어진 카르복실산으로, 탄소 사슬 길이, 이중 결합 유무 및 위치, 기하 이성질체 등에 따라 다양한 종류로 나뉘며, 에너지 저장 및 세포막 구성 성분으로서 생체 내 중요한 역할을 하고 여러 산업 분야에서 활용된다. - 뉴로스테로이드 - 디하이드로에피안드로스테론
디하이드로에피안드로스테론(DHEA)은 부신에서 생성되어 안드로겐, 에스트로겐, 신경 스테로이드로 작용하며, 안드로겐 및 에스트로겐 수용체, 신경전달물질 수용체에 영향을 미치고 신경영양 인자 역할을 하며, DHEA-S로 대사되어 혈액-뇌 장벽을 통과하여 중추 신경계로 이동하며, 전문의약품으로 부신 기능 저하 등의 치료에 사용된다. - 뉴로스테로이드 - 프로게스테론 (약품)
프로게스테론은 다양한 상표명으로 판매되는 약물이며, 여러 가지 구성 요소를 포함한다. - 호르몬에 관한 - 코르티솔
코르티솔은 부신피질에서 생성되는 스테로이드 호르몬으로, 혈당, 면역, 대사 조절과 스트레스 반응에 관여하며, 과다 분비 시 질환을 유발하고 장기간 노출 시 해마 손상을 초래할 수 있으며, 분비량은 HPA 축에 의해 조절되고 일주기 리듬에 따라 변화한다. - 호르몬에 관한 - 스테로이드 호르몬
스테로이드 호르몬은 콜레스테롤에서 합성되어 생식샘과 부신에서 생성되는 지용성 호르몬으로, 세포 내 수용체와 결합하여 유전자 전사를 조절함으로써 생식 기능, 혈당 조절, 전해질 균형 등 다양한 생리작용을 조절하며, 합성 스테로이드 호르몬의 오남용과 환경호르몬은 건강에 악영향을 미칠 수 있다.
2. 역사
콜레스테롤이라는 명칭은 1784년 연구자가 담석에서 콜레스테롤 고체를 처음으로 분석화학적으로 확인했을 때, 그리스어 'chole-'(담즙)와 'stereos'(고체)에서 유래한 '콜레스테린(cholesterin)'으로 명명되었다. 그러나 이후 화학 구조가 알코올임이 밝혀져 화학 명명법 접미사 "-ol"이 붙어 현재의 명칭이 되었다.[108]
- 1769년: 프랑수아 풀레티에 드 라 살(François Poulletier de la Salle)이 담석에서 콜레스테롤을 발견하였다.
- 1784년: 콜레스테롤이 분리되었다.
- 1815년: 미셸 외젠 슈브뤠르가 "콜레스테린"으로 명명하였다.[184]
- 1888년: 프리드리히 라이니처 (Friedrich Reinitzer)가 콜레스테롤의 화학식을 C27H46O로 결정하였다. 하이드록시기가 포함된다는 것이 밝혀지면서 "콜레스테롤"이라고 불리게 되었다.
- 1910년: 아돌프 빈다우스와 오토 디일스가 혈관의 아테롬(죽상경화반)에 고농도의 콜레스테롤이 포함되어 있음을 발견하였다.
- 1913년: 아니치코프(Nikolai Nikolaevich Anitschkow)가 콜레스테롤이 아테롬성 동맥경화의 원인 물질임을 발견하였다.
- 1927년: 하인리히 비란트가 담즙산 및 그 유연 물질의 구조 연구로 노벨 화학상을 수상하였다. 디일스는 콜레스테롤에서 "디일스의 탄화수소(Diels' hydrocarbon, 3'-methyl-1,2-cyclopentenophenanthrene; C18H16)"로 화학 변환하여 스테로이드 골격의 구조를 결정하였다.
- 1928년: 빈다우스가 스테롤류의 구조(및 그 비타민류와의 관련성)에 대한 연구로 노벨 화학상을 수상하였다.
- 1939년: 부테낭트가 콜레스테롤에서 생성되는 성호르몬에 대한 연구, 루지치카가 콜레스테롤을 포함한 스테로이드류(및 테르페노이드)에 대한 연구로 노벨 화학상을 수상하였다.
- 1951년: 로버트 번스 우드워드, 존 콘퍼스 등에 의해 최초로 콜레스테롤의 스테로이드 골격(코르티존)이 완전 합성되었다.[187] 이는 생합성 경로와는 다른 경로로 합성된 것이다.
- 1964년: 콘라트 블로흐, 페오도르 리넨 등이 콜레스테롤과 지방산의 생합성 기구와 조절에 관한 연구로 노벨 생리학·의학상을 수상하였다.
- 1985년: 마이클 브라운, 조셉 골드스타인 등이 콜레스테롤 대사의 상세와 그에 관련된 질환 연구로 노벨 생리학·의학상을 수상하였다. 그들에 의해 LDL 수용체와 그 기능이 발견되었다.
2. 1. 한국의 콜레스테롤 연구사
콜레스테롤은 화장품, 의약품, 액정 등의 산업 제품 원료로 사용된다. 이러한 콜레스테롤은 천연물에서 정제하여 원료로 사용되며, 콜레스테롤을 많이 함유한 고등동물의 조직이나 오징어 내장 등에서 추출하여 산업 원료로 이용된다.3. 생화학
모든 동물 세포는 세포 유형과 장기의 기능에 따라 다양한 양의 콜레스테롤을 합성한다. 하루에 합성되는 콜레스테롤 중 20-25%는 간에서 합성되며, 장, 부신, 생식 기관도 많은 양의 콜레스테롤을 합성한다.[36]
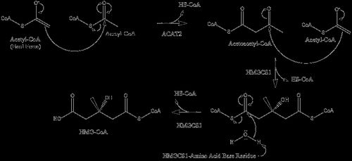
체내 콜레스테롤 생합성은 아세틸-CoA와 아세토아세틸-CoA 분자 각각 한 개에서 시작된다. 두 분자는 축합되어 3-하이드록시-3-메틸글루타릴-CoA (HMG-CoA)가 된다. 이어서 HMG-CoA 환원효소가 HMG-CoA를 환원시켜 메발론산이 된다. 이 단계는 속도 조절 단계이자 비가역적 단계로 스타틴(콜레스테롤 저하제 계열)의 작용 부위이다.[221][222]
메발론산은 ATP를 이용하는 세 단계를 거쳐 3-인산-5-파이로인산메발론산이 되고, 이어 탈카복실화되어 활성형 아이소프렌인 이소펜테닐 파이로인산이 된다. 이소펜테닐 파이로인산 분자 세 개가 머리-꼬리(head-to-tail영어) 축합을 통해 파르네실 피로인산이 된다. 파네실 파이로인산 두 분자는 머리-머리 축합을 통해 스쿠알렌이 된다.[223] 옥시도스쿠알렌 시클라제는 스쿠알렌을 고리화하여 라노스테롤을 형성한다.[224]
라노스테롤은 19단계의 반응을 거쳐 최종적으로 콜레스테롤이 된다.[38][39][40][41][42]
콘라트 블로흐와 페오도어 리넨은 콜레스테롤과 지방산 대사의 일부 메커니즘과 조절 방법에 대한 발견으로 1964년 노벨 생리학·의학상을 공동 수상했다.[43]
"콜레스테롤"이라는 단어는 고대 그리스어의 "chole-"("담즙")과 "stereos"("고체")에서 유래하며, 뒤에 알코올을 나타내는 화학 접미사 "-ol"이 붙었다.
콜레스테롤은 인체 모든 조직의 세포막에서 발견되는 지질이다. 포유류에서는 콜레스테롤 대부분이 음식에서 유래하는 것이 아니라 체내에서 합성되며, 혈장에 포함된 리포단백질이라는 입자를 매개체로 운반된다. 콜레스테롤은 간장, 척수, 뇌 등 막 조직이 밀집한 세포로 구성된 장기에 고농도로 분포되어 있다. 성인 체내 콜레스테롤량(100~150g) 중 약 1/4이 뇌에,[109] 약 1/3이 뇌를 포함한 신경계에 집중되어 있다.[108] 동맥경화증에 형성되는 아테롬(혈관 내벽에 쌓이는 찌꺼기)에도 고농도로 존재하며, 콜레스테롤이 담즙에서 결정화되면 담석의 원인이 된다.
식물 세포막에서는 소량의 콜레스테롤만 발견되며, 다른 종류의 스테로이드(피토스테롤)가 유사한 역할을 한다. 진핵생물은 일부 예외(곤충, 섬모충 등)를 제외하고 대부분 스테롤을 스스로 생합성한다. 각 진핵생물은 고유한 스테롤 조성을 가지는데, 동물의 주요 스테롤은 콜레스테롤, 식물은 피토스테롤, 균류는 에르고스테롤을 합성한다. 진핵생물 이외에서는 콜레스테롤이 검출되지 않았다(스테롤 자체가 드물다).
콜레스테롤을 많이 함유한 천연물에서 추출하면, 히드록시기(OH기) 부분에 지방산이 결합한 에스터체인 아실콜레스테롤 등이 포함된 조추출물이 얻어진다. 이 혼합물에서 순수한 콜레스테롤을 얻으려면, 지방산을 비누화하여 제거한 후, 비누화되지 않은 분획을 추출하고, 아세톤 또는 알코올을 사용하여 재결정한다. 이중결합이 없는 콜레스타놀이나 7-데히드로콜레스테롤 등을 제거하기 위해, 브롬을 첨가하여 콜레스테롤의 이브롬화물로 만들기도 한다. 이브롬화물은 난용성을 나타내므로 재결정 등으로 쉽게 정제할 수 있으며, 그 후 이브롬화물을 탈브롬화하여 콜레스테롤로 되돌린다.[112]
콜레스테롤 지방산을 포함하는 몇몇 콜레스테롤 유도체는 특정한 액정으로 알려져 있으며, 이 분자는 '''콜레스테릭 액정'''이라 불리는 배향 상태를 취한다. 콜레스테릭 액정은 네마틱 액정의 일종으로, 네마틱 액정의 다이렉터(분자 집합체의 방향)가 공간적으로 세차 운동처럼 비틀리면서 회전하여 나선형으로 배향하는 성질을 가진다. 이는 콜레스테릭 액정 분자가 카이랄성을 가지고 있기 때문이다. 콜레스테릭 액정은 키랄 네마틱 상이라고도 불린다. 콜레스테릭 상의 나선 피치는 가시광선 파장과 거의 같은 경우가 많으며, 이때 선택 반사라는 현상이 관찰되어 색이 보인다. 회전초밥에서 초밥 생선에 녹색 반사광이 보이는 경우가 있는데, 이것이 그 이유이다. 나선 피치는 미세한 온도 변화에 반응하기 때문에, 온도에 따라 색채가 변한다. 따라서 콜레스테롤 유도체는 액정 온도계나 온도 반응성 잉크로 이용된다. 풍뎅이나 금풍뎅이와 같은 금속성 광택을 보이는 일부 딱정벌레의 구조색은 이것에 의한 것으로 생각된다.

콜레스테릭 액정은 표시 재작성 시에만 전압 인가가 필요할 뿐, 투과/반사 상태에서 전기를 소비하지 않는다. 낮은 전압에서는 가로 방향 나선 자세를 취해 투과 상태가 되고, 보통 뒷면의 검정색을 표시한다. 더 높은 전압을 가하면 세로 방향 나선 자세를 취해 반사 상태가 된다.
콜레스테릭 액정은 색채를 반사하기 때문에 백라이트가 필요 없다는 장점이 있지만, 단색에서는 1층 표시 구조로 충분하지만, 의사 풀 컬러에서는 적어도 RGB와 같은 3층을 적층해야 하며, 투과 시 광 손실로 표시가 어두워지는 단점이 있다.
2005년 일본 가전 메이커가 콜레스테릭 액정 시제품을 제작했다.[116] 1989년부터 켄트 주립대학교와 미국 국립 과학 재단 등에서 콜레스테릭 액정을 액정 디스플레이로 사용한 연구가 이루어졌으며, 그 연구자들에 의해 Kent Displays사가 설립되었다. 이 회사의 ChLCD를 사용한 상품으로는 부기보드가 있으며,[117] 미국 초등학교 등에서 사용되고 있다. 일본에서는 킹짐에서 판매되고 있다.
3. 1. 구조
콜레스테롤은 모든 동물 세포막에 다양하게 존재하지만, 원핵생물에는 존재하지 않는다.[21] 콜레스테롤은 막을 구성하고 유지하는 데 필요하며, 생리적 온도 범위에서 막 유동성을 조절한다. 콜레스테롤 분자의 히드록시기는 막 주변의 물 분자와 상호작용하는데, 이는 막 인지질과 스핑고지질의 극성 머리와 같으며, 부피가 큰 스테로이드와 탄화수소 사슬은 다른 지질의 무극성 지방산 사슬과 함께 막에 삽입된다. 인지질 지방산 사슬과의 상호작용을 통해 콜레스테롤은 막을 더 촘촘하게 만들어, 막 유동성을 변화시키고[22] 막의 완전성을 유지하여 동물 세포가 세포벽(식물과 대부분의 박테리아처럼)을 만들 필요가 없게 한다. 막은 단단해지지 않고 안정적이고 내구성이 있어 동물 세포가 모양을 바꾸고 동물이 움직일 수 있게 한다.사환식 고리 구조는 콜레스테롤 분자가 ''trans'' 형태이기 때문에 콜레스테롤의 측쇄를 제외한 모든 부분이 단단하고 평면적이어서 세포막의 유동성에 기여한다.[23] 이러한 구조적 역할에서 콜레스테롤은 중성 용질,[24] 수소 이온 및 나트륨 이온에 대한 원형질막의 투과성을 감소시킨다.[25]
콜레스테롤은 8개의 입체 중심 때문에 256개의 입체이성질체가 존재하지만, 생화학적으로 중요한 것은 두 가지(각각 ''nat''-콜레스테롤과 ''ent''-콜레스테롤, ''natural''과 ''enantiomer''의 약자)뿐이며,[104][105] 자연적으로 발생하는 것은 하나(''nat''-콜레스테롤)뿐이다.
3. 2. 생합성
모든 동물 세포는 세포 유형과 장기의 기능에 따라 다양한 양의 콜레스테롤을 합성한다. 하루에 합성되는 콜레스테롤의 20-25%는 간에서 합성되며, 장, 부신, 생식 기관도 많은 양의 콜레스테롤을 합성한다.[36]몸에서 일어나는 콜레스테롤 생합성은 아세틸-CoA와 아세토아세틸-CoA 분자 각각 한 개에서 시작된다. 두 분자는 축합되어 3-하이드록시-3-메틸글루타릴-CoA (HMG-CoA)가 된다.

이어서 HMG-CoA 환원효소가 HMG-CoA를 환원시켜 메발론산이 된다. 이 단계는 속도 조절 단계이자 비가역적 단계로 스타틴(콜레스테롤 저하제 계열)의 작용 부위이다.[221][222]

메발론산은 ATP를 이용하는 세 단계를 거쳐 3-인산-5-파이로인산메발론산이 되고, 이어 탈카복실화되어 활성형 아이소프렌인 이소펜테닐 파이로인산이 된다.

이소펜테닐 파이로인산 분자 세 개가 머리-꼬리(head-to-tail영어) 축합을 통해 파르네실 피로인산이 된다.

파네실 파이로인산 두 분자는 머리-머리 축합을 통해 스쿠알렌이 된다.[223]


옥시도스쿠알렌 시클라제는 스쿠알렌을 고리화하여 라노스테롤을 형성한다.[224]



마지막으로, 라노스테롤은 19단계의 반응을 거쳐 최종적으로 콜레스테롤이 된다.[38][39][40][41][42] 이 과정에는 탄소 제거를 위한 메틸기의 산화를 돕는 NADPH와 산소, 알켄기를 이동시키는 뮤타제, 그리고 케톤의 환원을 돕는 NADH가 포함된다.


콘라트 블로흐와 페오도어 리넨은 콜레스테롤과 지방산 대사의 일부 메커니즘과 조절 방법에 대한 발견으로 1964년 노벨 생리학·의학상을 공동 수상했다.[43]
3. 3. 조절
콜레스테롤 생합성은 존재하는 콜레스테롤 수치에 의해 직접적으로 조절되지만, 관련된 항상성 기전은 부분적으로만 이해되고 있다. 음식물 섭취량이 증가하면 체내 콜레스테롤 생산이 감소하고, 반대로 음식물 섭취량이 감소하면 생산이 증가한다. 주요 조절 기전은 소포체에서 SREBP(스테롤 조절 요소 결합 단백질 1과 2)에 의한 세포 내 콜레스테롤 감지이다.[44] 콜레스테롤이 존재하면 SREBP는 SCAP(SREBP 절단 활성화 단백질)과 INSIG-1이라는 두 가지 다른 단백질에 결합한다. 콜레스테롤 수치가 떨어지면 INSIG-1은 SREBP-SCAP 복합체에서 분리되고, 이 복합체는 골지체로 이동할 수 있게 된다. 여기서 SREBP는 S1P와 S2P(site-1 protease와 site-2 protease)에 의해 절단되는데, 이 두 효소는 콜레스테롤 수치가 낮을 때 SCAP에 의해 활성화된다.절단된 SREBP는 핵으로 이동하여 전사 인자로 작용, 스테롤 조절 요소(SRE)에 결합하여 많은 유전자의 전사를 자극한다. 여기에는 LDL 수용체와 HMG-CoA 환원효소가 포함된다. LDL 수용체는 혈류에서 순환하는 LDL을 제거하는 반면, HMG-CoA 환원효소는 콜레스테롤의 체내 생산을 증가시킨다.[45] 이 신호 전달 경로의 상당 부분은 1970년대에 마이클 S. 브라운 박사와 조지프 L. 골드스타인 박사가 밝혀냈다. 1985년, 그들은 이 연구로 노벨 생리학·의학상을 수상했다. 그들의 후속 연구는 SREBP 경로가 지질 형성 및 대사, 그리고 신체 연료 배분을 조절하는 많은 유전자의 발현을 어떻게 조절하는지 보여준다.
콜레스테롤 수치가 높으면 콜레스테롤 합성도 중단될 수 있다. HMG-CoA 환원효소는 세포질 영역(촉매 기능을 담당)과 막 영역을 모두 포함한다. 막 영역은 분해 신호를 감지한다. 콜레스테롤(및 기타 스테롤) 농도가 증가하면 이 영역의 올리고머화 상태가 변하여 프로테아좀에 의한 파괴에 더 취약해진다. 이 효소의 활성은 AMP 활성화 단백질 키나아제에 의한 인산화에 의해서도 감소될 수 있다. 이 키나아제는 ATP가 가수분해될 때 생성되는 AMP에 의해 활성화되므로, ATP 수치가 낮을 때 콜레스테롤 합성이 중단된다.[46]
4. 생리학
콜레스테롤은 모든 동물의 생명에 필수적인 물질이다. 대부분의 세포는 콜레스테롤을 합성할 수 있지만, 주로 간세포에서 합성되거나 섭취되어 혈액을 통해 온몸으로 운반된다. 말초 조직의 콜레스테롤 수치는 흡수와 배출의 균형에 의해 조절된다.[10] 정상적인 조건에서 뇌 콜레스테롤은 식이성 및 간 콜레스테롤과 분리되어 있으며, 혈액-뇌 장벽을 통과하지 않는다. 대신 별세포가 뇌에서 콜레스테롤을 생성하고 분포시킨다.[11]
별세포와 간세포 모두에서 콜레스테롤 합성은 복잡한 37단계 과정을 통해 일어난다. 이 과정은 메발론산 또는 HMG-CoA 환원효소 경로(스타틴 약물의 표적)로 시작되며, 처음 18단계를 포함한다. 그 후 19단계를 거쳐 생성된 라노스테롤을 콜레스테롤로 전환한다.[12]
인체에서 콜레스테롤은 다음과 같은 생리적 기능을 수행한다.
콜레스테롤은 물에 잘 녹지 않아 혈액 내에서 지질단백질 형태로 운반된다. 지질단백질은 암죽미립, 초저밀도 지질단백질(VLDL), 저밀도 지질단백질(LDL), 중간밀도 지질단백질(IDL), 고밀도 지질단백질(HDL) 등 여러 종류가 있으며, 각각 다른 조직으로 콜레스테롤을 운반한다. 특히 LDL은 '나쁜 콜레스테롤'로 알려져 있으며, 혈관벽에 쌓여 죽상동맥경화증을 유발할 수 있다. 반면 HDL은 '좋은 콜레스테롤'로, 콜레스테롤을 간으로 운반하여 제거하는 역할을 한다.
콜레스테롤은 체내에서 재활용된다. 간은 콜레스테롤을 담즙으로 배출하고, 담즙은 담낭에 저장되었다가 소화관으로 배출된다. 배출된 콜레스테롤의 약 50%는 소장에서 재흡수되어 혈류로 돌아간다.[191] 식물은 극소량의 콜레스테롤을 생산하며, 대신 파이토스테롤이라는 유사한 물질을 생산한다. 파이토스테롤은 소화관에서 콜레스테롤 흡수를 억제하는 역할을 한다.[194]
콜레스테롤은 간에서 글라이신, 타우린, 글루쿠론산, 황산염과 결합하여 담즙산으로 산화된다.[233] 담즙산은 콜레스테롤과 함께 간에서 배출되어 담낭으로 이동한다. 담즙산의 약 95%는 장에서 재흡수되고, 나머지는 대변으로 배출되는데,[234] 이는 장간 순환의 기초가 되며 식이 지방의 소화 및 흡수에 필수적이다. 담낭에서와 같이 농축된 경우에 콜레스테롤은 결정화하여 담석의 주요 성분이 된다.[235][236]
4. 1. 기능
콜레스테롤은 동물의 생존에 필수적이다. 각 세포는 간단한 분자로부터 콜레스테롤을 합성할 수 있다. 콜레스테롤 합성 반응은 37단계에 이르는 복잡한 과정을 거치며, 첫 효소는 HMG-CoA 환원효소라는 세포 내 단백질이다. 콜레스테롤을 포함하는 지방이 혈류에서 지질단백질 내에서 수송되는 방법에 따라 죽상동맥경화증의 진행 경과와 밀접한 관련이 있다.[191]약 68kg인 남성의 경우, 하루에 콜레스테롤 약 1,000 mg (1 g)을 합성한다. 전신에 약 35 g이 존재하며, 일차적으로는 체내의 모든 세포막에 분포한다.
섭취된 콜레스테롤은 대부분 에스터화되는데, 이러한 콜레스테롤은 흡수율이 낮다. 신체는 추가적인 콜레스테롤이 흡수되면 콜레스테롤 합성을 줄인다.[191] 이러한 이유로 콜레스테롤 섭취 후 7시간 내에는 전신에 분포하는 콜레스테롤이나 혈중 콜레스테롤 농도가 높아지지만, 7-10시간이 지나면 평상시와 비교했을 때 차이가 거의 없다.[192]
콜레스테롤은 재활용된다. 간은 에스터화되지 않은 형태의 콜레스테롤을 담즙을 통하여 소화관(intestinal tract영어)으로 배출한다. 이렇게 분비된 콜레스테롤의 절반 정도는 소장에서 재흡수되어 혈류로 돌아온다.
식물은 극소량의 콜레스테롤을 생산한다.[193] 식물은 콜레스테롤과 화학적으로 유사한 파이토스테롤을 생산한다. 파이토스테롤은 소화관에서 재흡수되는 콜레스테롤과 경쟁하기 때문에 콜레스테롤 재흡수를 낮춰 줄 수 있다.[194] 소화관 상피가 콜레스테롤 대신 파이토스테롤을 흡수하면, 대개는 다시 위장관으로 배출한다.
콜레스테롤은 세포막을 만들고 유지하는데 필수적이다. 콜레스테롤은 생리적 온도 범위 내에서 세포막의 유동성을 조절한다. 콜레스테롤의 수산화기는 막 인지질 및 스핑고지질의 극성 머리 부분과 상호작용하고, 부피가 큰 스테로이드와 탄화 수소 사슬은 다른 지질의 비극성 지방산 사슬과 함께 막 안에 파묻혀 있다. 인지질 지방산 사슬과의 상호작용을 통하여 콜레스테롤은 막을 밀집시키고 유동성은 낮춘다.[195] 콜레스테롤의 4개 고리 구조는 트랜스 형태로, 곁사슬을 제외하고는 뻣뻣하고 평면 형태를 이루기 때문에[196] 막의 유동성을 낮출 수 있다. 이러한 구조적 영향으로 콜레스테롤은 중성 용질,[197] 수소 이온, 나트륨 이온[198]의 막 투과성을 감소시킨다.
세포막 내에서 콜레스테롤은 세포내 수송, 세포 신호전달, 신경 전도에도 관여한다. 콜레스테롤은 캐비올리와 클라트린 피막 홈의 구조뿐만 아니라 캐비올리나 클라트린 의존성 세포내이입을 포함하는 함입 기능에 필수적인 요소이다. 콜레스테롤이 세포 내 이입에서 하는 역할은 메틸 β-사이클로덱스트린(MβCD)이 원형질 막에서 콜레스테롤을 제거하는 특성을 이용하여 연구한다.
최근에는 원형질 막의 지질 뗏목 형성을 돕는 세포 신호 전달과 관련된 역할이 밝혀졌다. 지질 뗏목은 수용체 단백질을 가까운 거리에 모으고 2차 신호전달 분자를 밀집시킨다.[199] 뉴런의 미엘린 수초는 슈반 세포의 빽빽한 층에서 유래하여 콜레스테롤이 풍부하며, 자극이 효율적으로 전도될 수 있도록 절연 기능을 한다.[200]
세포 내에서 콜레스테롤은 몇몇 생화학 경로의 전구체 분자이다. 간에서 콜레스테롤은 담즙으로 전환되어 담낭에 저장된다. 담즙에는 담염이 들어있어 소화관에서 지방의 용해성을 높이고 지방뿐만 아니라 지용성 비타민 A, D, E, K의 흡수를 돕는다. 콜레스테롤은 비타민 D, 부신 호르몬인 코르티솔과 알도스테론을 포함하는 스테로이드 호르몬, 성 호르몬인 프로게스테론, 에스트로겐, 테스토스테론 및 그 유래물을 합성하는 주요 전구체 분자이다.[201]
콜레스테롤이 항산화제 역할을 한다는 연구 결과도 있다.[202]
4. 2. 체내 수송
콜레스테롤은 물에 약간만 녹기 때문에 혈류에 녹는 콜레스테롤의 양은 매우 적다. 대신 콜레스테롤은 지질단백질 내에서 운반된다. 지질단백질은 공 모양의 입자로, 바깥쪽이 양친매성 분자인 단백질과 지질에 둘러싸여 있다. 양친매성 분자는 수용성 부분이 바깥쪽을, 지용성 부분이 안쪽을 향하게 정렬되어 있다. 트라글리세라이드와 콜레스테롤 에스터는 양친매성 분자로 둘러싸인 내부에서 운반되고, 양극성인 인지질과 콜레스테롤은 지질단백질 입자의 단일층 표면에 박힌 형태로 운반된다.[227]혈액에 있는 지질단백질은 몇 가지 종류로 나뉜다. 밀도가 점점 증가하는 순으로 나열하면, 암죽미립, 초저밀도 지질단백질(VLDL), 저밀도 지질단백질(LDL), 중간밀도 지질단백질(IDL), 고밀도 지질단백질(HDL) 순이다. 단백질/지질 비율이 낮으면 지질단백질의 밀도는 낮아진다. 서로 다른 지질단백질에 포함되어 있는 콜레스테롤은 대체로 똑같지만, 종종 자유 알코올 형태나 콜레스테롤 에스터 형태인 것도 있다.[227]
지질단백질에는 아포지질단백질이 포함된다. 아포지질단백질은 세포막의 특정한 수용체에 결합하여 지질을 특정한 조직으로 이동시킨다. 지질단백질 입자는 이러한 분자 주소를 가지고 있어서 콜레스테롤 수송의 시작점과 끝점을 결정한다.
암죽미립(chylomicron영어)은 콜레스테롤 수송 분자 중에서 가장 밀도가 낮은 것으로, 껍질에 아포지질단백질 B-48, C, E가 있다.[227] 암죽미립은 장에서 근육 혹은 에너지나 지방 생산이 필요한 다른 조직으로 지방을 운반하여 지방산이 연료로 소비되거나 저장되도록 한다. 쓰이지 않은 콜레스테롤은 콜레스테롤이 풍부한 암죽미립 잔여물에 남아 간으로 이동한다.[227]
초저밀도 지질단백질(VLDL)은 간에서 트리아실글리세롤과 담즙산 합성에 이용되지 않은 콜레스테롤이 모여 생산된다. VLDL의 껍질에는 아포지질단백질B100과 E가 있다.[227]
혈관은 중간밀도 지질단백질(IDL) 분자에서 트리아실글리세롤을 잘라내 흡수하여 콜레스테롤 농도를 높인다. IDL 분자는 이후 두 가지 방법으로 소비된다. 하나는 간의 라이페이스에 의해 대사되어 단세포 표면의 LDL 수용체에 결합하여 흡수되는 것이고, 다른 하나는 혈류에서 계속해서 트리아실글리세롤을 잃고 LDL 분자가 되는 것이다.
저밀도 지질단백질(LDL)은 주요 혈중 콜레스테롤 운반체이다. 각 LDL 분자에는 1,500여 개의 콜레스테롤 에스터가 들어있다. LDL 분자의 껍질에는 단 한 개의 아포지질단백질 B100이 있어 말초 조직에서 LDL 수용체가 인식할 수 있다. LDL 수용체와 아포지질단백질 B100이 결합하면 LDL 수용체는 클라트린 피막 홈(clathrin-coated pit영어)으로 모여든다. LDL과 그 수용체는 세포내이입을 통해 세포 내에서 소포를 형성한다. 이 소포는 리소좀과 합쳐지고, 소포 내의 콜레스테롤 에스터는 리소좀에 있는 라이페이스에 의해 가수분해된다. 콜레스테롤은 막 생합성에 이용되거나 다시 에스터화되어 세포 내에 저장된다.[228]
LDL 수용체는 콜레스테롤 흡수 과정에서 모두 쓰이고, 수용체의 합성은 SREBP에 의해 조절된다. SREBP는 또한 세포 내에 콜레스테롤이 존재하는지에 따라 콜레스테롤의 신생(''de novo'') 합성을 조절하는 단백질이기도 하다. 세포 내에 콜레스테롤이 많으면 LDL 수용체의 합성은 중단되어 LDL 분자로부터 새로운 콜레스테롤이 유입되지 않도록 한다. 반대로 세포에 콜레스테롤이 부족하면 LDL 수용체 합성이 진행된다.
이 과정이 정확히 조절되지 않으면, 수용체에 결합하지 못한 LDL 분자가 혈류에 나타난다. 이들은 산화하여 대식세포에 포식되고, 끝내는 거품 세포를 형성한다. 거품 세포는 종종 혈관벽에 잡혀 죽상동맥경화반()이 생기는 원인이 된다.
고밀도 지질단백질(HDL)은 역방향 콜레스테롤 수송(RCT)을 통해 콜레스테롤을 다시 간으로 운반한다.[228][229] HDL이 많으면 건강에 유리하고,[230] 적으면 동맥의 죽종과 관련이 있다.[228]

4. 3. 대사, 재활용 및 배설
콜레스테롤은 체내에서 재활용된다. 간은 에스터화되지 않은 형태의 콜레스테롤을 담즙을 통해 소화관으로 배출하는데, 이렇게 분비된 콜레스테롤의 절반 정도는 소장에서 재흡수되어 혈류로 돌아간다.[191]식물은 극소량의 콜레스테롤을 생산한다.[193] 식물은 콜레스테롤과 화학적으로 유사한 파이토스테롤을 생산하는데, 파이토스테롤은 소화관에서 재흡수되는 콜레스테롤과 경쟁하기 때문에 콜레스테롤 재흡수를 낮춰 줄 수 있다.[194] 소화관 상피세포가 콜레스테롤 대신 파이토스테롤을 흡수하면, 대개는 다시 위장관으로 배출한다.
콜레스테롤은 간에서 글라이신, 타우린, 글루쿠론산, 황산염과 결합하여 담즙산으로 산화된다.[233] 담즙산은 콜레스테롤과 함께 간에서 배출되어 담낭으로 이동한다. 담즙산의 약 95%는 장에서 재흡수되고, 나머지는 대변으로 배출되는데,[234] 이는 장간 순환의 기초가 되며 식이 지방의 소화 및 흡수에 필수적이다. 담낭에서와 같이 농축된 경우에 콜레스테롤은 결정화하여 담석의 주요 성분이 된다.[235][236] 매일 최대 1g의 콜레스테롤 에스터가 대장에 유입된다. 이 콜레스테롤은 식이로 공급된 것이거나, 담즙 혹은 장 상피세포에서 유래하였거나, 대장의 세균이 대사한 것일 수 있다. 콜레스테롤은 대개 코프로스타놀로 전환되며 흡수되지 않는 스테롤로 대변을 통해 배출된다.
콜레스테롤은 대체로 포유류와 관련된 스테로이드이지만, 인간을 감염시키는 병원체인 결핵균은 콜레스테롤을 완전히 분해할 수 있으며, 콜레스테롤의 유무에 따라 조절되는 유전자를 다량 가지고 있다.[237]
5. 임상적 의의
인지질 이중층(주황색 인산 부분 + 하늘색 지방산 사슬)에 단백질(녹갈색 (4))과 콜레스테롤(노란색 (7))이 끼워져 있다.]] 인지질로 만든 인공 지질 이중층은 실제 세포막과 유사하지만, 상전이 온도(Tc)를 갖는다. Tc 이상에서는 유동적이지만, 이하에서는 유동성을 잃는다. 콜레스테롤을 30–50 mol% 첨가하면 유동성이 증가하고 Tc가 사라진다. 콜레스테롤의 히드록시기는 인지질의 인산기와 수소 결합하고, 스테로이드 골격과 탄화수소 측쇄는 인지질 지방산 사슬 사이에 끼워진다. 콜레스테롤은 세포 내 막계에는 일반적이지만, 미토콘드리아 막에는 거의 없다.
콜레스테롤은 동물 세포막의 필수 성분이지만, 식물 세포막에는 피토스테롤류(시토스테롤, 스티그마스테롤 등), 균류에는 에르고스테롤이 있다. 세균 세포막에는 콜레스테롤이 없지만,[122] 일부 세균은 호파노이드를 이용한다.
콜레스테롤은 물에 거의 녹지 않아 혈액 내에서 지질단백질을 통해 운반된다. 지질단백질은 양친매성 분자로 둘러싸여 있으며, 트라이글리세라이드와 콜레스테롤 에스터는 내부에, 인지질과 콜레스테롤은 표면에 위치한다.[227]
혈액 속 지질단백질은 밀도에 따라 암죽미립, 초저밀도 지질단백질(VLDL), 저밀도 지질단백질(LDL), 중간밀도 지질단백질(IDL), 고밀도 지질단백질(HDL) 등으로 나뉜다. 지질단백질에는 아포지질단백질이 포함되어 세포막 수용체에 결합, 콜레스테롤 수송을 조절한다.
- 암죽미립(chylomicron영어): 장에서 근육, 에너지/지방 생산 조직으로 지방 운반, 남은 콜레스테롤은 간으로 이동.[227]
- 초저밀도 지질단백질(VLDL): 간에서 생성, 트라이아실글리세롤과 콜레스테롤 운반.[227]
- 중간밀도 지질단백질(IDL): VLDL에서 트라이아실글리세롤 흡수 후 생성, 콜레스테롤 농도 증가.[227]
- 저밀도 지질단백질(LDL): 혈액 내 주요 콜레스테롤 운반체, 아포지질단백질 B100 통해 LDL 수용체와 결합.[228]
- 고밀도 지질단백질(HDL): 콜레스테롤을 간으로 운반(역방향 콜레스테롤 수송).[228][229] HDL 수치가 높으면 건강에 좋다.[230]
콜레스테롤 생합성은 스테롤 조절 요소 결합 단백질(SREBP)에 의해 조절된다.[44] 콜레스테롤 수치가 낮으면 SREBP는 핵으로 이동, LDL 수용체와 HMG-CoA 환원효소 유전자 전사를 촉진한다.[45] 콜레스테롤 수치가 높으면 HMG-CoA 환원효소 분해 촉진, AMP 활성화 단백질 키나아제에 의해 합성 중단.[46]
지질가설에 따르면 혈중 콜레스테롤 수치가 높으면 죽상동맥경화증, 심장마비, 뇌졸중, 말초동맥질환 위험이 증가한다. LDL은 "나쁜 콜레스테롤", HDL은 "좋은 콜레스테롤"로 불린다.

LDL, IDL, VLDL 수치는 죽상동맥경화증과 관련이 깊다. 가족성 고콜레스테롤혈증은 LDL 수용체, PCSK9, 아포지단백 B 유전자 돌연변이로 발생한다. 포화/트랜스지방 섭취 감소, 지질저하제(스타틴 등) 복용으로 콜레스테롤 수치를 낮출 수 있다. 스타틴은 심혈관 질환 발생률을 감소시킨다.
국립콜레스테롤교육프로그램과 미국심장협회는 총 콜레스테롤 200 mg/dL 미만을 정상, 240 mg/dL 초과를 고콜레스테롤로 정의한다.[93][82] LDL, HDL을 개별 측정하는 것이 일반적이며, LDL은 100 mg/dL (2.6 mmol/L) 미만이 이상적이다.[96][97]
총 콜레스테롤은 HDL, LDL, VLDL의 합으로, Friedewald 공식으로 LDL을 추정한다.
프레이밍험 심장 연구에 따르면 총 콜레스테롤 증가는 사망률 증가와 관련이 있지만, 질병 자체가 사망 위험을 높일 수 있다. 저콜레스테롤혈증은 우울증, 암, 뇌출혈과 관련될 수 있으며, 기저 질환의 결과일 수 있다.[76]
콜레스테롤 검사는 과거에는 8시간 공복 후 시행했지만, 최근 연구는 공복 여부가 큰 영향을 미치지 않음을 보여준다.[192] 미국 심장 협회는 20세 이상 성인에게 4~6년마다 검사를 권장한다.[102]
일반적인 검사는 지질 프로파일 검사로, 총 콜레스테롤, HDL, LDL, 트리글리세리드 수치를 측정한다.[3]
다음은 콜레스테롤 검사 결과의 일반적인 참고 범위이다.
일본에서는 총콜레스테롤 220 이상을 고콜레스테롤혈증으로 간주하지만,[108] 이는 과학적 근거가 부족하다는 비판을 받는다.
5. 1. 고콜레스테롤혈증
콜레스테롤은 물에 거의 녹지 않아 혈류 내에서 극히 적은 양만 운반된다. 대신 콜레스테롤은 지질단백질 안에서 운반되는데, 이는 바깥쪽이 양친매성 분자인 단백질과 지질로 둘러싸인 공 모양 입자이다. 양친매성 분자는 물에 잘 녹는 부분(친수성)은 바깥쪽, 기름에 잘 녹는 부분(소수성)은 안쪽을 향한다. 트라이글리세라이드와 콜레스테롤 에스터는 양친매성 분자로 둘러싸인 내부에서, 양극성 인지질과 콜레스테롤은 지질단백질 입자 표면의 단일층에 박힌 형태로 운반된다.[227]혈액 속 지질단백질은 밀도에 따라 암죽미립, 초저밀도 지질단백질(VLDL), 저밀도 지질단백질(LDL), 중간밀도 지질단백질(IDL), 고밀도 지질단백질(HDL) 등으로 나뉜다. 단백질/지질 비율이 낮을수록 밀도가 낮아진다. 지질단백질 종류에 따라 포함된 콜레스테롤은 대부분 같지만, 자유 알코올 형태나 콜레스테롤 에스터 형태인 경우도 있다.[227]
지질단백질에는 아포지질단백질이 포함되어 세포막의 특정 수용체에 결합, 지질을 특정 조직으로 이동시킨다. 지질단백질 입자는 이 분자 주소를 통해 콜레스테롤 수송의 시작과 끝을 결정한다.
- 암죽미립(chylomicron영어): 가장 밀도가 낮은 콜레스테롤 수송 분자로, 껍질에 아포지질단백질 B-48, C, E가 있다.[227] 장에서 근육, 에너지/지방 생산 조직으로 지방을 운반, 지방산이 연료로 쓰이거나 저장되게 한다. 남은 콜레스테롤은 콜레스테롤 풍부한 암죽미립 잔여물에 남아 간으로 이동한다.[227]
- 초저밀도 지질단백질(VLDL): 간에서 트라이아실글리세롤, 담즙산 합성에 쓰이지 않은 콜레스테롤로 생성. 껍질에 아포지질단백질 B100, E 포함.[227]
- 중간밀도 지질단백질(IDL): 혈관이 IDL 분자에서 트라이아실글리세롤을 흡수, 콜레스테롤 농도 증가. 이후 간 라이페이스에 의해 대사되어 LDL 수용체에 결합, 흡수되거나, 혈류에서 계속 트라이아실글리세롤을 잃고 LDL이 된다.
- 저밀도 지질단백질(LDL): 혈액 내 주요 콜레스테롤 운반체. 각 LDL 분자에 약 1,500개 콜레스테롤 에스터 포함. 껍질에 아포지질단백질 B100 하나만 있어 말초 조직 LDL 수용체가 인식. 결합 후 클라트린 피막 홈(clathrin-coated pit영어)에 모여 세포내이입으로 소포 형성, 리소좀과 합쳐져 콜레스테롤 에스터 가수분해. 콜레스테롤은 막 생합성에 이용되거나 에스터화되어 세포 내 저장.[228]
- LDL 수용체: 콜레스테롤 흡수 과정에서 사용, SREBP에 의해 합성 조절. SREBP는 세포 내 콜레스테롤 여부에 따라 콜레스테롤 신생(''de novo'') 합성 조절. 콜레스테롤 많으면 LDL 수용체 합성 중단, 부족하면 합성 진행.
- 수용체에 결합 못한 LDL 분자는 혈류에 나타나 산화, 대식세포에 포식되어 거품 세포 형성. 거품 세포는 혈관벽에 쌓여 죽상동맥경화반(atherosclerotic plaque영어) 유발.
- 고밀도 지질단백질(HDL): 역방향 콜레스테롤 수송(RCT) 통해 콜레스테롤을 간으로 운반.[228][229] HDL 많으면 건강에 좋고,[230] 적으면 동맥 죽종과 관련.[228]
콜레스테롤 생합성은 기존 수치에 의해 조절되지만, 항상성 기전은 완전히 밝혀지지 않았다. 음식 섭취 증가 시 체내 생산 감소, 섭취 감소 시 반대. 소포체에서 SREBP(1, 2)에 의한 세포 내 콜레스테롤 감지가 주요 조절 기전.[44] 콜레스테롤 있으면 SREBP는 SCAP, INSIG-1과 결합. 수치 감소 시 INSIG-1 분리, SREBP-SCAP 복합체 골지체 이동. SREBP는 S1P, S2P에 의해 절단(저콜레스테롤 시 SCAP 활성화).
절단된 SREBP는 핵으로 이동, 전사 인자로 작용해 스테롤 조절 요소(SRE)에 결합, 여러 유전자 전사 촉진. LDL 수용체, HMG-CoA 환원효소 포함. LDL 수용체는 혈액 LDL 제거, HMG-CoA 환원효소는 체내 콜레스테롤 생산 증가.[45] 1970년대 마이클 S. 브라운, 조지프 L. 골드스타인 박사 연구로 상당 부분 밝혀져 1985년 생리학·의학 노벨상 수상. 이후 SREBP 경로가 지질 형성, 대사, 연료 배분 조절 유전자 발현 조절한다는 사실 확인.
콜레스테롤 수치 높으면 합성 중단. HMG-CoA 환원효소는 세포질(촉매 기능), 막 영역 포함. 막 영역은 분해 신호 감지. 콜레스테롤 등 농도 증가 시 올리고머화 상태 변화, 프로테아좀에 의해 쉽게 파괴. 효소 활성은 AMP 활성화 단백질 키나아제 인산화로 감소. 이 키나아제는 ATP 가수분해 시 생성 AMP로 활성화, ATP 낮을 때 콜레스테롤 합성 중단.[46]
지질가설: 혈중 콜레스테롤 수치 높으면 죽상동맥경화증 위험 증가, 심장마비, 뇌졸중, 말초동맥질환 위험 증가. 높은 LDL, 특히 높은 농도와 작은 입자 크기가 HDL보다 더 영향.[73] LDL은 "나쁜 콜레스테롤", 기능성 HDL 높은 농도는 "좋은 콜레스테롤". 균형은 유전, 체성분, 약물, 식단[74], 기타 요인[75]에 영향. 2007년 연구, 혈중 총 콜레스테롤 수치는 심혈관, 전체 사망률에 지수적 영향, 젊은 층에서 연관성 큼. 고콜레스테롤혈증 영향은 고령층에서 더 큼.[76]
LDL, IDL, VLDL 등 지단백 분획 수치가 죽상동맥경화증 정도, 진행과 관련.[77] 총 콜레스테롤 정상이라도 작은 LDL, HDL 위주면 죽종 성장률 높음. IDEAL, EPIC 연구 사후 분석, HDL 높을수록(아포지단백 A-I, B 조정 후) 심혈관 질환 위험 증가, "좋은 콜레스테롤" 역할 의문 제기.[78][79]
250명 중 1명, LDL 수용체 유전자 돌연변이로 가족성 고콜레스테롤혈증.[80] PCSK9, 아포지단백 B 유전자 돌연변이도 포함.[81]
포화/트랜스지방 감소/제거 식단, 콜레스테롤 수치 감소 가능.[82] 지질저하제(스타틴, 피브레이트, 콜레스테롤 흡수 억제제, 단클론항체 치료법(PCSK9 억제제), 니코틴산 유도체, 담즙산 흡수제) 복용.[83] 국제 가이드라인 존재.[84]
HMG-CoA 환원효소 억제제(스타틴) 인체 시험, 지단백 수송 패턴 건강하게 변화 시 심혈관 질환 발생률 감소, 낮은 콜레스테롤 수치에도 효과.[85] 스타틴, LDL 38.7 mg/dL 감소 시 심혈관 질환, 뇌졸중 위험 약 21% 감소.[86] 죽종 진행 늦춤.[87] 심혈관 질환력 있으면 콜레스테롤 수치 관계없이 스타틴 효과,[88] 없는 남성은 높은 수치 낮춰("1차 예방") 효과.[89] 여성 1차 예방은 남성 연구 기반,[90] 2007년 이전 대규모 시험, 여성 사망률/심혈관 질환 감소 미확인.[91] 메타분석, 성별 차이 없이 사망률 감소.[92]
국립콜레스테롤교육프로그램 1987년 보고서, 총 혈중 콜레스테롤 200 mg/dL 미만 정상, 200–239 mg/dL 경계선상, 240 mg/dL 초과 고콜레스테롤.[93] 미국심장협회 유사 지침 제공.[82] 스타틴, LDL 감소 효과, 심혈관 질환 고위험군 1차 예방, 발생군 2차 예방에 사용.[94] 1980-2018년 세계 평균 총 콜레스테롤, 남녀 약 4.6 mmol/L (178 mg/dL), 지역별 차이, 서구 감소.[95]
최근 검사, LDL("나쁜"), HDL("좋은") 개별 측정. LDL 이상적 수치 100 mg/dL (2.6 mmol/L) 미만.[96][97]
총 콜레스테롤: HDL, LDL, VLDL 합. 보통 총 콜레스테롤, HDL, 트라이글리세라이드 측정. VLDL은 트라이글리세라이드 5분의 1로, LDL은 Friedewald 공식(변형식)으로 추정. LDL 추정치 = [총 콜레스테롤] − [총 HDL] − [추정 VLDL]. 트라이글리세라이드 400 mg/dL 초과 시 직접 LDL 측정, 추정 오차 큼.[98]
프레이밍험 심장 연구, 총 콜레스테롤 10 mg/dL (0.6 mmol/L) 증가 시 30년 전체 사망률 5%, 심혈관 질환 사망률 9% 증가. 50세 이상, 총 콜레스테롤 1 mg/dL (0.06 mmol/L) 감소 시 전체 사망률 11%, 심혈관 질환 사망률 14% 증가. 다른 상관관계 때문, 질병 자체가 사망 위험, 체중 감소 등 요인 변화, 혈청 콜레스테롤 감소.[99] 볼라르베르크 건강 모니터링, 증진 프로그램, 모든 연령 남성, 50세 이상 여성 동일 효과. 총 콜레스테롤 186 mg/dL (10.3 mmol/L) 이하, 암, 간/정신 질환 사망 가능성 높음. 젊은 층도 효과, 노화 허약함 지표 평가와 모순.[100]
5. 2. 저콜레스테롤혈증
저콜레스테롤혈증은 혈중 콜레스테롤 수치가 비정상적으로 낮은 상태를 말한다.[76] 이 질환에 대한 연구는 비교적 제한적이지만, 일부 연구에서는 우울증, 암, 뇌출혈과의 연관성을 제시하고 있다.[76] 일반적으로 낮은 콜레스테롤 수치는 기저 질환의 결과로 나타난다.[76]콜레스테롤 합성의 유전적 결함은 스미스-렘리-오피츠 증후군을 유발할 수 있으며, 이는 종종 낮은 혈장 콜레스테롤 수치와 관련된다. 갑상선 기능 항진증 또는 LDL 수용체의 상향 조절을 유발하는 기타 내분비 장애도 저콜레스테롤혈증을 초래할 수 있다.[101]
LDL 콜레스테롤 수치가 비정상적으로 낮을 경우 가족성 저콜레스테롤혈증, 저베타리포단백혈증, 무베타리포단백혈증, 갑상선기능항진증, 만성간염, 간경변, 신질환, 애디슨병, 간실질세포손상, 소화흡수불량증후군 등이 의심된다.
리포단백질은 세포의 생명 유지에 필수적인 콜레스테롤이 아포단백질과 결합한 것이다. 무베타리포단백혈증은 상염색체 열성 유전 질환으로, 콜레스테롤이 감소하고 LDL 콜레스테롤은 검출되지 않으며, 초저밀도리포단백질(VLDL)과 LDL을 통해 말초 조직으로 전달되는 비타민E에도 심각한 결핍이 발생한다. 혈장에 아포B가 없는 것으로 확진된다. 치료에는 고용량(100–300 mg/kg)의 비타민E, 식물성지방, 기타 지용성 비타민 보충을 실시한다. 저베타리포단백혈증은 상염색체 우성 유전 질환 또는 상호 우성 유전 질환이다. LDL 콜레스테롤 결손의 병태에는 무베타리포단백혈증과 유사한 치료를 한다. 저알파리포단백혈증의 치료도 마찬가지이다. 카일로마이크론 정체병은 상염색체 열성 유전 질환이다. 치료는 지방, 지용성 비타민(비타민E) 보충을 실시한다.[156]
저콜레스테롤은 뇌졸중의 위험 요인이기도 하다.[162]
5. 3. 검사법
콜레스테롤 검사는 일반적으로 8시간 동안 공복 상태를 유지한 후 시행했지만, 최근 연구 결과에 따르면 공복 여부는 검사 결과에 큰 영향을 미치지 않는다. 2012년 캘거리 대학 크리스토퍼 교수팀은 20만 명 이상을 대상으로 연구한 결과, 공복과 비공복 상태에서 측정한 콜레스테롤 수치에 큰 차이가 없음을 밝혔다.[192] 유럽동맥경화학회(EAS)와 유럽임상화학임상검사연맹(EFLM)도 덴마크, 캐나다, 미국 등에서 30만 명 이상을 조사한 결과, 공복 여부에 따른 콜레스테롤 수치 차이가 없다는 결론을 내리고, 비공복 상태에서의 검사를 권고하는 성명을 발표했다.[192]세브란스병원 차봉수 교수는 콜레스테롤이 음식 섭취에 크게 좌우되지 않는 체내 구성 성분이며, 특히 당뇨병 환자의 경우 장시간 공복이 저혈당을 유발할 수 있어 비공복 검사가 더 안전하다고 설명했다.[192] 강남세브란스병원 안철우 교수는 식후 상태가 콜레스테롤 수치에 더 민감하게 반응하므로, 오히려 식후 검사가 더 정확한 진단을 가능하게 한다고 언급했다.[192]
미국 심장 협회(American Heart Association)는 20세 이상 성인에게 4~6년마다 콜레스테롤 검사를 권장한다.[102] 스타틴(statin) 약물 복용자는 첫 복용 후 4~12주 이내, 이후 3~12개월마다 검사를 받아야 한다.[103] 45~65세 남성과 55~65세 여성은 1~2년에 한 번, 65세 이상 노인은 매년 검사를 받는 것이 좋다.
일반적인 콜레스테롤 검사는 12시간 금식 후 팔의 정맥에서 채취한 혈액 샘플을 이용해 지질 프로파일(lipid profile) 검사를 실시한다.[3] 이 검사를 통해 총 콜레스테롤, HDL 콜레스테롤, LDL 콜레스테롤, 트리글리세리드 수치를 측정한다.[3]
총 콜레스테롤 5.2 mmol/L (200 mg/dL) 이하, HDL 1 mmol/L (40 mg/dL) 초과, LDL 2.6 mmol/L (100 mg/dL) 미만, 트리글리세리드 1.7 mmol/L (150 mg/dL) 미만이면 정상 또는 적정 수치로 판정한다.[3]
다음은 콜레스테롤 검사 결과의 일반적인 참고 범위이다.
일본에서는 총콜레스테롤 수치가 220 이상이면 고콜레스테롤혈증으로 간주하는 경향이 있는데, 이는 일본동맥경화학회의 가이드라인에 따른 것이다.[108] 그러나 이 기준은 동맥경화성 질환의 선별검사를 위한 것으로, 실제 치료가 필요한 환자는 이보다 적을 수 있다.[108]
총콜레스테롤 수치 220 기준은 과학적 근거가 부족하다는 비판이 있었음에도 오랫동안 유지되어 왔다.[108] 1980년대에는 240~250이 기준이었으나, 1987년 일본동맥경화학회에서 220으로 변경한 이후 현재까지 유지되고 있다.[108]
5. 4. 치료
콜레스테롤 생합성은 체내 콜레스테롤 수치에 의해 직접 조절되지만, 항상성 기전은 완전히 밝혀지지 않았다. 음식 섭취가 늘면 체내 생산이 줄고, 섭취가 줄면 그 반대 현상이 나타난다. 소포체에서 SREBP(스테롤 조절 요소 결합 단백질 1과 2)가 세포 내 콜레스테롤을 감지하는 것이 주요 조절 기전이다.[44] 콜레스테롤이 있으면 SREBP는 SCAP, INSIG-1과 결합한다. 콜레스테롤 수치가 낮아지면 INSIG-1이 분리되고 SREBP-SCAP 복합체는 골지체로 이동, S1P와 S2P에 의해 절단되어 활성화된다.절단된 SREBP는 핵으로 이동해 전사 인자로 작용, 스테롤 조절 요소(SRE)에 결합하여 여러 유전자의 전사를 촉진한다. 여기에는 혈류에서 LDL을 제거하는 LDL 수용체와 콜레스테롤 내생성 생산을 증가시키는 HMG-CoA 환원효소가 포함된다.[45] 이 경로는 1970년대 Michael S. Brown 박사와 Joseph L. Goldstein 박사가 발견했으며, 1985년 생리학 또는 의학 분야 노벨상을 수상했다.
콜레스테롤 수치가 높으면 합성이 중단될 수 있다. HMG-CoA 환원효소는 세포질 및 막 영역을 가지며, 막 영역은 분해 신호를 감지한다. 콜레스테롤 농도가 증가하면 막 영역의 올리고머화 상태가 변해 프로테아좀에 의한 파괴에 취약해진다. 이 효소는 AMP 활성화 단백질 키나제에 의한 인산화로 활성이 감소될 수 있다. 이 키나제는 ATP가 가수분해될 때 생성되는 AMP에 의해 활성화되므로, ATP 수치가 낮을 때 콜레스테롤 합성이 중단된다.[46]
분석화학에서 콜레스테롤 확인 정성 반응은 다음과 같다.
- 살코프스키 반응 (Salkowski reaction): 클로로폼 용액에 진한 황산을 가하면 클로로폼 층은 적색, 황산 층은 녹색 형광을 띤다.[113][114]
- 리버만-부르하르트 반응 (Liebermann-Burchard reaction): 클로로폼 용액에 무수초산, 황산 1방울을 가하면 클로로폼 층은 적색에서 녹색으로 변한다.[113][115]
- 추가예프 반응 (Chugaev reaction): 빙초산 용액에 염화아연, 염화아세틸을 가열하면 적색에서 자주색으로 변한다.[115]
- 토르텔리-야페 반응 (Tortelli-Jaffe reaction): 아세트산 용액에 브롬의 클로로폼 용액을 쌓으면 8위에 이중 결합을 가진 스테롤은 계면에 녹색 고리를 형성한다.[110]
- 디기토닌 침전 반응: 디기토닌 알코올 용액을 가하면 3-β-히드록시스테롤은 침전을 생성한다.[110]
인지질 이중층(주황색+하늘색)에 단백질(녹갈색 (4))과 콜레스테롤(노란색 (7))이 끼워져 있다.
인공 지질 이중층은 세포막과 유사하지만 상전이 온도 Tc를 갖는다. Tc 이상에서는 유동적이지만, 이하에서는 유동성을 잃는다. 30–50 mol% 콜레스테롤 첨가 시 유동성이 증가하고 Tc가 소멸한다. 콜레스테롤 히드록시기는 인지질 인산기와 수소 결합하고, 스테로이드 골격과 탄화수소 측쇄는 인지질 지방산 사슬 사이에 끼워진다. 콜레스테롤은 세포 내 막계에 존재하지만 미토콘드리아 막에는 거의 없다.
콜레스테롤은 동물 세포막의 필수 성분이지만, 식물 세포막에는 피토스테롤류(시토스테롤, 스티그마스테롤 등), 균류에는 에르고스테롤이 있다. 세균 세포막에는 콜레스테롤이 없지만,[122] 일부 세균은 호파노이드를 이용한다.
콜레스테롤은 생체 세포막의 유연성을 부여하고, 스테로이드 호르몬은 세포핵 내 수용체 단백질과 결합, 전사 인자로 작용하여 유전자 발현을 조절한다. 다세포 동물 체내에서 콜레스테롤은 담즙산, 리포단백질 등과 복합체를 형성하여 이동하며, 수송 분자에 따라 이동 조직이 조절된다. 콘라트 블로흐, 페오도르 리넨은 콜레스테롤과 지방산 대사 조절 기전을 밝혀 1964년 노벨 생리학·의학상을 수상했다.
트리글리세리드 섭취량은 50–125 g/일,[129] 콜레스테롤은 200–300 mg/일이다. 고등동물에서 콜레스테롤은 트리글리세리드 등과 함께 인지질 마이셀을 형성, 리포단백질로 수송된다. 리포단백질은 비중, 크기, 아포리포단백질 종류로 분류된다.

머리(원형 1)는 친수성, 지방쇄(사슬 2)는 친유성.
콜레스테롤은 리포단백질 마이셀에 저장되어 혈류로 수송된다. 아포리포단백질이 세포의 콜레스테롤 수송 방향을 결정한다.
콜레스테롤 수송은 간 중심의 담즙산, 카일로마이크론에 의한 장간순환과 LDL, HDL에 의한 혈장 순환으로 나뉜다. LDL은 간에서 말초, HDL은 조직에서 간으로 콜레스테롤을 수송한다. LDL 콜레스테롤은 "나쁜 콜레스테롤", HDL 콜레스테롤은 "좋은 콜레스테롤"로 불린다.
카일로마이크론은 소장 점막과 간 사이 지방을 수송, 간에서 중성지방과 콜레스테롤을 방출 후 LDL 입자로 변환되어 다른 조직으로 수송한다.
LDL reseptor - LDL 수용체
LDL patikula - LDL 입자
klatrin - 클라트린
lizozom - 리소좀
HDL 입자는 콜레스테롤을 간으로 역수송, 분비시킨다. 거대 HDL 입자가 많을수록 건강에 좋다.
세포 흡수는 세포막 표면 리포단백질 수용체가 리포단백질을 식별, 엔도사이토시스로 일어난다. 흡수된 소포는 리소좀 대사를 받는다.
혈중 콜레스테롤(TC)은 동맥경화증과 연결되어 왔지만, 현재는 위험인자 중 하나이다.
콜레스테롤은 심혈관 질환(관상동맥질환, 협심증, 심근경색 등)의 위험 인자이다.[150] 미국심장학회 가이드라인:[151]
LDL(악성), HDL(선성) 콜레스테롤 수치를 따로 측정하는 것이 일반적이며, 총 콜레스테롤 수치만 보는 방법은 시대에 뒤떨어졌다. LDL 수치를 100 mg/dL (2.6 mmol/L) 이하, 고위험 환자는 70 mg/dL 이하로 하는 것이 바람직하다. 총 콜레스테롤에서 HDL 비율은 5대 1 이하가 적절하다.
Heart Protection Study (HPS) 등 연구에서 LDL 저하 요법이 죽상경화증 치료와 동등하거나 그 이상인지 조사했다. 소수 사례에서 LDL 저하가 관상동맥질환 진행을 억제했지만, 치료 필요성이 없어진 사례는 적었다.
HMG-CoA 환원효소 저해제(스타틴) 임상 시험에서 지단백 영향이 명확해졌다. 스타틴은 지단백 분포를 건강한 형태로 변화, HDL 증가 작용을 한다. 무증상 환자에게 스타틴 투여 시 심질환 사망률 감소 효과는 통계적으로 유의미한 차이가 없었다.
동맥경화 환자는 지질 이상증이 증상 악화 인자이나,[152] 낮은 콜레스테롤이 관상동맥질환, 동맥경화를 개선하는지는 불명확하다.
당뇨병 환자는 고혈당, 고인슐린혈증으로 혈관 내피 세포 손상, 동맥경화, 관상동맥질환, 지방간 위험이 있어 지질 이상증에 주의해야 한다.[153] 메타볼릭 증후군이 주목받고 있다.
일본은 총콜레스테롤 220 이상을 고콜레스테롤혈증으로 간주한다. 일본동맥경화학회 「동맥경화성 질환 진료 가이드라인」 영향이다. 선별검사 기준이나, 220 이상이라도 치료 불필요한 경우가 많다.
선별검사는 정밀 검사 필요 환자를 좁히는 것이 목표이나, 총콜레스테롤 220 이상을 모두 환자 후보로 간주, 남성 26%, 여성 33%가 정밀 검사 대상으로 판정된다. 여성의 정밀 검사 필요 비율이 더 높은 역설적 상황이다.
1980년대까지 기준은 250~240이었으나, 1987년 일본동맥경화학회에서 220으로 변경되었다. 220은 과학적 타당성이 부족하다는 의견이 많았고, 「일본 지질 개입 시험」 결과도 240을 기준으로 심장 관상동맥 질환 위험이 증가함을 보였지만, 2007년까지 220이 유지되었다.
1999년 240으로 개정 직전이었으나, "220 정착, 변경 시 혼란 야기" 주장으로 보류되었다. 240 채택 시 환자 수 감소로 병원 경영 위기 초래 가능성이 작용했을 수 있다.
220 기준으로 진찰 후 질병 진단 시 치료 목표치가 240으로 완화되는 비합리적 상황이다.[108]
6. 식이
동물성 지방은 트라이글리세라이드와 그보다는 적은 인지질, 그리고 콜레스테롤의 복잡한 혼합물이다. 따라서 동물성 지방이 든 음식에는 콜레스테롤이 들어있기 마련이다.[203] 치즈, 노른자, 쇠고기, 돼지고기, 가금류, 물고기, 새우 등이 주요 식이원이다.[205] 사람의 모유에도 상당한 양의 콜레스테롤이 들어 있다.[204]
식물에서 섭취할 수 있는 콜레스테롤은 그리 많지 않다.[205][206] 아마 씨앗이나 땅콩에는 콜레스테롤과 유사한 화합물인 파이토스테롤이 포함되어 있다. 파이토스테롤은 장에서 흡수되는 콜레스테롤과 경쟁한다.[207] 파이토스테롤은 기능성 식품이나 LDL 콜레스테롤을 낮추는 의약식품(nutraceutical)을 통해 보충할 수 있다.[208] EFSA[209] 및 FDA 권고에 따르면 하루에 파이토스테롤 1.6-3.0 g이 권장 보충량이며, 메타분석에 따르면 하루 평균 2.15 g을 섭취했을 때 LDL 콜레스테롤을 8.8% 낮추는 것으로 밝혀졌다.[210] 그러나 파이토스테롤 식이 보충에 대해서는 의문이 제기되기도 한다.[211][212]
지방 섭취는 혈중 콜레스테롤 농도에 영향을 미친다. 불포화 지방 섭취는 혈청 LDL과 총콜레스테롤 농도를 낮추고 HDL 농도를 높인다. 포화 지방은 HDL, LDL, 총콜레스테롤 농도를 모두 높인다.[213] 트랜스 지방은 LDL 농도를 높이는 반면 HDL 농도는 낮춘다.[214] 따라서 대부분의 보건 당국은 LDL 콜레스테롤을 낮추는 식단과 생활 습관을 권장한다.[215][216][217] 미국 농무부는 포화지방을 일일 에너지 요구량의 7% 이하, 콜레스테롤은 하루 200mg 미만으로 섭취할 것을 권고한다.[218] 한국영양학회는 성인의 콜레스테롤 섭취 기준을 하루 300mg 미만으로 정했다.[216]
6. 1. 콜레스테롤 함유 식품
식품으로부터 섭취하는 콜레스테롤의 대부분은 동물성 식품에서 온다. 예를 들어, 계란 노른자(약 1400 mg/100 g), 마른 오징어(건조; 약 980 mg/100 g), 새우류(약 170 mg/100 g)[176] 등이 있다. 식물성 식품(아마씨와 땅콩)에는 콜레스테롤 유사 화합물인 파이토스테롤이 포함되어 있으며, 혈장 내 콜레스테롤 수치를 낮춘다고 알려져 있다.[175]
동물성 지방은 트라이글리세라이드와 그보다는 적은 인지질 그리고 콜레스테롤의 복잡한 혼합물이다. 따라서 동물성 지방이 든 음식에는 콜레스테롤이 들어있기 마련이다.[203] 주요 식이원은 치즈, 노른자, 쇠고기, 돼지고기, 가금류, 물고기, 새우이다.[205] 사람의 모유에도 상당한 양의 콜레스테롤이 들어 있다.[204]
식물에서 섭취할 수 있는 콜레스테롤은 그리 많지 않다.[205][206] 아마 씨앗이나 땅콩에는 콜레스테롤과 유사한 화합물인 파이토스테롤이 포함되어 있다. 파이토스테롤은 장에서 흡수되는 콜레스테롤과 경쟁한다.[207] 파이토스테롤은 관련 기능성 식품이나 LDL 콜레스테롤을 낮추는 것으로 밝혀진 의약식품을 통해 보충할 수 있다.[208]
6. 2. 식이 지침
동물성 지방은 트라이글리세라이드, 인지질, 콜레스테롤의 혼합물이다. 따라서 동물성 지방이 든 음식에는 콜레스테롤이 들어있다.[203] 치즈, 노른자, 쇠고기, 돼지고기, 가금류, 물고기, 새우 등이 주요 콜레스테롤 공급원이다.[205] 사람의 모유에도 상당량의 콜레스테롤이 함유되어 있다.[204]식물성 식품에는 콜레스테롤이 많지 않다.[205][206] 아마 씨앗이나 땅콩에는 콜레스테롤과 유사한 파이토스테롤이 들어있다. 파이토스테롤은 장에서 콜레스테롤 흡수와 경쟁한다.[207] 파이토스테롤은 기능성 식품이나 LDL 콜레스테롤을 낮추는 의약식품(nutraceutical)으로 보충할 수 있다.[208] 하루 1.6~3.0g의 파이토스테롤 섭취가 권장되며, 평균 2.15g 섭취 시 LDL 콜레스테롤이 8.8% 감소한다.[210] 그러나 파이토스테롤 보충에 대해서는 의문이 제기되기도 한다.[211][212]
지방 섭취는 혈중 콜레스테롤 농도에 영향을 준다. 불포화 지방 섭취는 혈청 LDL과 총콜레스테롤 농도를 낮추고 HDL 농도를 높인다. 포화 지방은 HDL, LDL, 총콜레스테롤 농도를 모두 높인다.[213] 트랜스 지방은 LDL 농도를 높이고 HDL 농도는 낮춘다.[214] 따라서 대부분의 보건 당국은 LDL 콜레스테롤을 낮추는 식단과 생활 습관을 권장한다.[215][216][217] 미국 농무부는 포화지방을 일일 에너지 요구량의 7% 이하, 콜레스테롤은 하루 200mg 미만으로 섭취할 것을 권고한다.[218] 한국영양학회는 성인의 콜레스테롤 섭취 기준을 하루 300mg 미만으로 정했다.[216]
식물은 매우 적은 양의 콜레스테롤을 생성한다.[17] 대신 식물성 스테롤을 더 많이 생성하는데, 이는 장에서 콜레스테롤 재흡수와 경쟁하여 콜레스테롤 재흡수를 감소시킨다.[18] 식물 스테롤과 스테놀을 포함하는 천연 식물성 스테롤 섭취량은 식습관에 따라 하루 약 200~300mg이다.[19]
2015년 미국 보건복지부와 미국 농무부의 과학 자문위원회는 콜레스테롤 섭취 상한선(하루 300mg)을 삭제하고 "콜레스테롤 섭취를 최대한 줄이라"고 권고했다.[68] 미국 심장 협회와 미국 심장 대학은 특정 콜레스테롤 제한량보다는 건강한 식단에 중점을 두도록 권장하며, 콜레스테롤 함량이 낮은 DASH 식단과 지중해식 식단을 추천한다.[69] 일부 지침에서는 하루 1.6~3.0g의 피토스테롤 섭취를 권장하며, 평균 2.1g 섭취 시 LDL 콜레스테롤이 12% 감소하는 것으로 나타났다.[71]
동물성 식품은 콜레스테롤의 주요 공급원이다. 계란 노른자(약 1400 mg/100 g), 마른 오징어(건조; 약 980 mg/100 g), 새우류(약 170 mg/100 g) 등이 대표적이다.[176] 식물성 식품(아마씨, 땅콩)에는 콜레스테롤 유사 화합물인 피토스테롤이 함유되어 있으며, 혈중 콜레스테롤 수치를 낮춘다고 알려져 있다.[175]
2003년 WHO는 1일 콜레스테롤 섭취 목표량을 300mg 미만으로 설정했다.[177] 미국 농무부와 보건복지부의 "Dietary Guidelines for Americans 2010"에서는 건강한 사람의 경우 300mg이었다. 한국 보건복지부의 「한국인의 영양섭취 기준(2010년)」에서는 성인 남성 750mg, 여성 600mg으로 상한선을 설정했다.
그러나 보건복지부의 「한국인의 영양섭취 기준(2020년)」에서는 콜레스테롤 섭취를 "1일 200mg 미만으로 유지하는 것이 바람직하다"고 제시했다.[178] 2015년 "미국인을 위한 식생활 지침 2015-2020년판"에서는 콜레스테롤 섭취 목표량이 삭제되었고, 가능한 적게 섭취해야 한다고 밝혔다.[179] 2015년 미국심장재단과 미국심장병학회도 섭취 기준을 삭제했지만, 미국지질학회의 『고지혈증을 위한 가이드라인』에서는 200mg 미만을 제시한다.[180]
2019년 논문에서는 하루 콜레스테롤 섭취량이 300mg 증가하면 심혈관 질환 위험은 3.2%, 조기 사망 위험은 4.4% 증가하며, 계란 반 개를 더 먹을 때마다 각각 1.1%, 1.9%씩 증가한다고 밝혔다.[181] 2010년 문헌 조사에서는 하루 계란 1개 섭취 시, 주 1개 미만 섭취에 비해 당뇨병 위험이 2배 이상이며, 심혈관 질환 위험이 있다면 콜레스테롤 섭취를 제한해야 한다고 한다.[182]
오스트레일리아 시드니 대학교 연구[183]에서는 2형 당뇨병 환자 140명을 대상으로 고계란 섭취군(주 12개)과 저계란 섭취군(주 2개 미만)으로 나누어 3개월간 비교한 결과, 계란 섭취량이 많아도 지질 프로파일에 악영향이 없다고 한다.[183]
7. 콜레스테릭 액정
콜레스테롤 유도체는 다른 단순 콜레스테릭 지질과 함께 콜레스테릭 상이라고 하는 액정 상을 생성한다. 콜레스테릭 상은 실제로 키랄성을 갖는 네마틱 상이며, 온도가 변하면 색깔이 변하는 특징이 있다. 이러한 특성 때문에 콜레스테롤 유도체는 액정 디스플레이 온도계와 온도 감응 페인트에서 온도를 나타내는 데 사용된다.
8. 기타
콜레스테롤은 동물의 생리 과정에서 필수적인 물질이지만, 혈중 콜레스테롤량이 과다해지면 고지혈증을 일으켜 혈관 장애를 중심으로 하는 생활습관병의 원인이 된다. 혈액 검사에서 콜레스테롤 수치를 측정하는데, TC 또는 T-CHO는 혈중 총 콜레스테롤, LDLC 또는 LDL-C는 소위 "나쁜 콜레스테롤", HDLC 또는 HDL-C는 소위 "좋은 콜레스테롤"을 나타내는 경우가 많다. LDL-C는 일본에서만 사용되는 스크리닝 지표이며 측정 정확도에 의문이 제기되고 있다.[142]
식물에서 유래한 콜레스테롤의 대부분은 동물성 식품에서 유래하며, 계란 노른자에 다량 함유되어 있어 계란 섭취량은 종종 연구 대상이 된다.[137][138][139][140] 식물의 피토스테롤은 혈장 내 콜레스테롤량을 낮춘다고 여겨진다.[141]
8. 1. 올바른 검사법
2012년 캘거리 대학 크리스토퍼 교수팀은 20만 명이 넘는 대상을 연구한 결과, 콜레스테롤 검사에 공복은 큰 영향을 주지 않는다고 밝혔다. 유럽동맥경화학회(EAS)와 유럽임상화학임상검사연맹(EFLM)은 덴마크, 캐나다, 미국 등에서 30만 명 이상을 상대로 조사한 결과, 공복과 비공복 상태에서 잰 콜레스테롤 수치를 비교하였더니 별 차이가 없었다고 발표하며, 콜레스테롤 수치를 위한 혈액 검사는 공복이 아닌 비공복일 때 하도록 권고한다는 성명을 유럽심장저널에 발표했다.[1]세브란스병원 내분비내과 차봉수 교수는 콜레스테롤은 본래 몸속에 존재하는 세포 구성성분으로, 음식을 먹고 안 먹고에 좌우되지 않는다고 말했다. 특히 당뇨병 환자의 경우는 검사를 위해 공복을 장시간 하면 저혈당증을 일으킬 위험이 높아 비공복 상태에서 검사를 받는 것이 훨씬 안전하다고 덧붙였다.[1]
강남세브란스병원 내분비내과 안철우 교수는 콜레스테롤은 식후 상태가 더 민감하다며, 오히려 공복이 아닌, 밥을 먹은 후 콜레스테롤 수치를 검사하는 것이 정확한 진단을 할 수 있다고 말했다. 즉, 검사를 위해 8시간을 공복 상태로 있는 자체가 정확도와 예민도를 낮추는 원인이 된다는 것이다.[1]
참조
[1]
웹사이트
Cholesterol, 57-88-5
https://pubchem.ncbi[...]
PubChem, National Library of Medicine, US National Institutes of Health
2019-11-09
[2]
웹사이트
Safety (MSDS) data for cholesterol
http://physchem.ox.a[...]
[3]
웹사이트
Cholesterol
https://medlineplus.[...]
MedlinePlus, National Library of Medicine, US National Institutes of Health
2020-12-10
[4]
MeshName
Cholesterol
2013
[5]
논문
Regulation of beta-amyloid production in neurons by astrocyte-derived cholesterol
2021-08-17
[6]
논문
Cholesterol requirement of mycoplasmas
1970-05
[7]
논문
Steroidogenic enzymes: structure, function, and role in regulation of steroid hormone biosynthesis
https://zenodo.org/r[...]
1992-12
[8]
논문
Recherches chimiques sur les corps gras, et particulièrement sur leurs combinaisons avec les alcalis. Sixième mémoire. Examen des graisses d'homme, de mouton, de boeuf, de jaguar et d'oie
https://books.google[...]
1816
[9]
논문
Discovery of the lipoproteins, their role in fat transport and their significance as risk factors
1998-02
[10]
논문
Mechanisms and regulation of cholesterol homeostasis
2020-04
[11]
논문
The shared role of cholesterol in neuronal and peripheral inflammation
2023-09
[12]
논문
Cholesterol Biosynthesis from Lanosterol
https://www.jbc.org/[...]
1999-05
[13]
웹사이트
National Health and Nutrition Examination Survey
https://www.cdc.gov/[...]
United States Center for Disease Control
[14]
논문
Dietary cholesterol: from physiology to cardiovascular risk
2011-07
[15]
논문
Regulation of cholesterol storage in adipose tissue.
1974-09
[16]
논문
Effects of increasing amounts of dietary cholesterol on postprandial lipemia and lipoproteins in human subjects
1994-11
[17]
논문
Cholesterol and Plants
[18]
논문
Phytosterols and vascular disease
2007-02
[19]
논문
Food Ingredients That Inhibit Cholesterol Absorption
2017-06
[20]
논문
Divergent changes in serum sterols during a strict uncooked vegan diet in patients with rheumatoid arthritis
2001-02
[21]
서적
Biochemistry
[22]
서적
Life: The Science of Biology
Freeman
[23]
논문
Cholesterol interactions with phospholipids in membranes
2002-01
[24]
논문
Modulation of membrane function by cholesterol
1991-10
[25]
논문
Do sterols reduce proton and sodium leaks through lipid bilayers?
2001-07
[26]
논문
Kinetic disruption of lipid rafts is a mechanosensor for phospholipase D
2016-12
[27]
논문
Cholesterol in signal transduction
2000-04
[28]
서적
Histology: a text and atlas: with correlated cell and molecular biology
Lippincott Williams & Wilkins
[29]
논문
Cholesterol binding to ion channels
[30]
논문
Ligand Activation of ERRα by Cholesterol Mediates Statin and Bisphosphonate Effects
2016-03
[31]
서적
Nuclear Receptors in Development and Disease
Elsevier Science
[32]
논문
Overview of steroidogenic enzymes in the pathway from cholesterol to active steroid hormones
2004-12
[33]
서적
Skin barrier
Taylor & Francis
2006
[34]
논문
Biogeographic and disease-specific alterations in epidermal lipid composition and single-cell analysis of acral keratinocytes
2022-08
[35]
논문
Stratum corneum lipids in disorders of cornification. Steroid sulfatase and cholesterol sulfate in normal desquamation and the pathogenesis of recessive X-linked ichthyosis
1984-10
[36]
뉴스
How it's made: Cholesterol production in your body
https://www.health.h[...]
Harvard Health Publishing
2018-10-18
[37]
웹사이트
Biosynthesis and Regulation of Cholesterol (with Animation)
http://pharmaxchange[...]
2013-09-17
[38]
웹사이트
Cholesterol metabolism (includes both Bloch and Kandutsch-Russell pathways) (Mus musculus) – WikiPathways
https://www.wikipath[...]
2021-02-02
[39]
논문
Cholesterol biosynthesis and homeostasis in regulation of the cell cycle
2013
[40]
웹사이트
Kandutsch-Russell pathway
https://pubchem.ncbi[...]
2021-02-02
[41]
서적
Biochemistry
https://archive.org/[...]
WH Freeman
[42]
서적
Biochemistry
W.H. Freeman
[43]
웹사이트
The Nobel Prize in Physiology or Medicine, 1964
https://www.nobelpri[...]
Nobel Prize, Nobel Media
[44]
논문
Regulation of sterol synthesis in eukaryotes
[45]
논문
The SREBP pathway: regulation of cholesterol metabolism by proteolysis of a membrane-bound transcription factor
1997-05
[46]
서적
Biochemistry
https://archive.org/[...]
W.H. Freeman
[47]
서적
Anatomy and Physiology
Mosby/Elsevier
2010
[48]
논문
Apolipoprotein E: from cardiovascular disease to neurodegenerative disorders
2016-07
[49]
논문
The relationships of markers of cholesterol homeostasis with carotid intima-media thickness
2010-10
[50]
논문
New insights into the regulation of HDL metabolism and reverse cholesterol transport
2005-06
[51]
논문
High-density lipoprotein cholesterol and cardiovascular disease. Four prospective American studies
1989-01
[52]
논문
The Tromsø heart-study. High-density lipoprotein and coronary heart-disease: a prospective case-control study
1977-05
[53]
논문
Biological activity of some oxygenated sterols
1978-08
[54]
논문
Oxysterol biosynthetic enzymes
2000-12
[55]
논문
Pregnenolone separation from cholesterol using Sephadex LH-20 mini-columns
https://zenodo.org/r[...]
[56]
논문
Bile acid synthesis from cholesterol: regulatory and auxiliary pathways
1994-12
[57]
논문
Bile acid regulation of hepatic physiology: I. Hepatocyte transport of bile acids
2003-02
[58]
논문
Gallstone disease
2007-06
[59]
논문
Pathogen roid rage: cholesterol utilization by Mycobacterium tuberculosis
2014
[60]
논문
Mycobacterium tuberculosis utilizes a unique heterotetrameric structure for dehydrogenation of the cholesterol side chain
2013-04
[61]
논문
Shrinking the FadE proteome of Mycobacterium tuberculosis: insights into cholesterol metabolism through identification of an α2β2 heterotetrameric acyl coenzyme A dehydrogenase family
2013-10
[62]
서적
Lipid analysis: isolation, separation, identification, and structural analysis of lipids
Oily Press
[63]
웹사이트
Cholesterol content in foods, rank order per 100 g; In: USDA Food Composition Databases
https://ndb.nal.usda[...]
United States Department of Agriculture
2019
[64]
논문
Lipids of human milk and infant formulas: a review
1978-06
[65]
논문
Plant cholesterol biosynthetic pathway overlaps with phytosterol metabolism
2016-12
[66]
논문
Effects of plant sterols and stanols on intestinal cholesterol metabolism: suggested mechanisms from past to present
2012-07
[67]
웹사이트
Scientific opinion on the substantiation of health claims related to plant sterols and plant stanols and maintenance of normal blood cholesterol concentrations
http://www.efsa.euro[...]
[68]
웹사이트
2015-2020 Dietary Guidelines {{!}} health.gov
https://health.gov/o[...]
2023-08-23
[69]
논문
Dietary Cholesterol and Cardiovascular Risk: A Science Advisory From the American Heart Association
2020-01
[70]
논문
Dietary Fats and Cardiovascular Disease: A Presidential Advisory From the American Heart Association
2017-07
[71]
논문
LDL-cholesterol-lowering effect of plant sterols and stanols across different dose ranges: a meta-analysis of randomised controlled studies
2014-07-01
[72]
논문
Controversial role of plant sterol esters in the management of hypercholesterolaemia
2009-02-01
[73]
논문
Lipoprotein management in patients with cardiometabolic risk: consensus statement from the American Diabetes Association and the American College of Cardiology Foundation
2008-04-01
[74]
웹사이트
More evidence for Mediterranean diet
https://www.heartuk.[...]
2011-03-08
[75]
논문
Dyslipidaemia
2003-08-01
[76]
논문
Blood cholesterol and vascular mortality by age, sex, and blood pressure: a meta-analysis of individual data from 61 prospective studies with 55,000 vascular deaths
2007-12-01
[77]
웹사이트
Detection, Evaluation and Treatment of High Blood Cholesterol in Adults (Adult Treatment Panel III) Final Report
https://www.nhlbi.ni[...]
National Institutes of Health. National Heart, Lung and Blood Institute
2002-09-01
[78]
논문
High-density lipoprotein cholesterol, high-density lipoprotein particle size, and apolipoprotein A-I: significance for cardiovascular risk: the IDEAL and EPIC-Norfolk studies
2008-02-01
[79]
논문
Meta-analysis of comparison of effectiveness of lowering apolipoprotein B versus low-density lipoprotein cholesterol and nonhigh-density lipoprotein cholesterol for cardiovascular risk reduction in randomized trials
2012-11-01
[80]
논문
Estimating the prevalence of heterozygous familial hypercholesterolaemia: a systematic review and meta-analysis
2017-09-01
[81]
웹사이트
Familial Hypercholesterolemia (FH)
https://www.heart.or[...]
[82]
웹사이트
Prevention and Treatment of High Cholesterol (Hyperlipidemia)
https://www.heart.or[...]
American Heart Association
2023
[83]
NICE
Lipid modification
2008
[84]
논문
Update on guidelines for management of hypercholesterolemia
2012-10-01
[85]
논문
Relation of different measures of low-density lipoprotein cholesterol to risk of coronary artery disease and death in a meta-regression analysis of large-scale trials of statin therapy
2010-05-01
[86]
논문
2018 AHA/ACC/AACVPR/AAPA/ABC/ACPM/ADA/AGS/APhA/ASPC/NLA/PCNA Guideline on the Management of Blood Cholesterol: A Report of the American College of Cardiology/American Heart Association Task Force on Clinical Practice Guidelines
2019-06-01
[87]
논문
Rosuvastatin and progression of atherosclerosis
2008-08-01
[88]
논문
MRC/BHF Heart Protection Study of cholesterol lowering with simvastatin in 20,536 high-risk individuals: a randomised placebo-controlled trial
2002-07-01
[89]
논문
Prevention of coronary heart disease with pravastatin in men with hypercholesterolemia. West of Scotland Coronary Prevention Study Group
1995-11-01
[90]
논문
Should women be offered cholesterol lowering drugs to prevent cardiovascular disease? Yes
2007-05-01
[91]
논문
Should women be offered cholesterol lowering drugs to prevent cardiovascular disease? No
2007-05-01
[92]
논문
The benefits of statins in people without established cardiovascular disease but with cardiovascular risk factors: meta-analysis of randomised controlled trials
2009-06-01
[93]
논문
Report of the National Cholesterol Education Program Expert Panel on Detection, Evaluation, and Treatment of High Blood Cholesterol in Adults. The Expert Panel
1988-01-01
[94]
논문
Management of Blood Cholesterol
2019-02-01
[95]
웹사이트
Mean total cholesterol trends Global estimates
https://apps.who.int[...]
[96]
웹사이트
How To Get Your Cholesterol Tested
https://www.heart.or[...]
American Heart Association
2023
[97]
웹사이트
About cholesterol
https://www.cdc.gov/[...]
US Centers for Disease Control and Prevention
2023-03-20
[98]
논문
Estimating low-density lipoprotein cholesterol by the Friedewald equation is adequate for classifying patients on the basis of nationally recommended cutpoints
1990-01-01
[99]
논문
Cholesterol and mortality. 30 years of follow-up from the Framingham study
https://jamanetwork.[...]
1987-04-24
[100]
논문
Why Eve is not Adam: prospective follow-up in 149650 women and men of cholesterol and other risk factors related to cardiovascular and all-cause mortality
[101]
논문
Effects of thyroid dysfunction on lipid profile
2011-02-24
[102]
웹사이트
How To Get Your Cholesterol Tested
http://www.heart.org[...]
American Heart Association
[103]
웹사이트
Getting a grasp of the Guidelines
http://www.cardiosou[...]
American College of Cardiology
[104]
논문
Cholesterol depletion results in site-specific increases in epidermal growth factor receptor phosphorylation due to membrane level effects. Studies with cholesterol enantiomers
2003-12-01
[105]
논문
Cholesterol through the looking glass: ability of its enantiomer also to elicit homeostatic responses
2012-09-01
[106]
웹사이트
Safety (MSDS) data for cholesterol
http://physchem.ox.a[...]
2007-10-20
[107]
서적
Merck Index
[108]
설명
[109]
웹사이트
건강을 지키는 ABC 단백질
http://www.biochemis[...]
2023-11
[110]
서적
新生化学ガイドブック
南江堂
2024-04
[111]
서적
Merck Index
[112]
서적
理化学辞典
岩波書店
[113]
서적
日本薬局方
[114]
서적
理化学辞典
岩波書店
[115]
서적
理化学辞典
岩波書店
[116]
서적
先端テクノロジーのしくみがよくわかる本
技術評論社
2006-11-05
[117]
웹사이트
How Liquid Crystal Displays Work in an eWriter
https://www.livescie[...]
2019-11-29
[118]
논문
2,3-Oxidosqualene, an intermediate in the biological synthesis of sterols from squalene
[119]
논문
Metabolic fate of 10,11-dihydrosqualene in sterol-producing rat liver homogenate
[120]
논문
Enzymic conversion of squalene 2,3-oxide to lanosterol and cholesterol
[121]
서적
Chemical Aspects of Biosynthesis
Oxford University Press
[122]
서적
理化学辞典
岩波書店
[123]
논문
Another cholesterol hypothesis: Cholesterol as antioxidant
https://doi.org/10.1[...]
[124]
논문
Do sterols reduce proton and sodium leaks through lipid bilayers?
[125]
웹사이트
콜레스테롤의 체내에서의 작용은? - 자주 묻는 질문
http://www.jmi.or.jp[...]
(재단법인)일본육류소비종합센터
2024-04
[126]
서적
세계대백과사전
平凡社
[127]
논문
Serum concentrations of lipids, vitamin d metabolites, retinol, retinyl esters, tocopherols and selected carotenoids in twelve captive wild felid species at four zoos
[128]
웹사이트
지질 이상증(고지혈증)
http://polaris.hoshi[...]
호시약학대학 오픈리서치센터 鎌田勝雄
2024-04
[129]
간행물
제6차 개정 일본인의 영양 요구량 표3 지질 요구량보다 산출
후생노동성
[130]
웹사이트
제5회 지질(총콜레스테롤, HDL콜레스테롤, 중성지방)
http://www.nikkeibp.[...]
[131]
서적
지질의 화학
朝倉書店
[132]
웹사이트
지질 이상증
http://www.msdmanual[...]
MSD 매뉴얼 프로페셔널 버전
[133]
논문
HDL Phospholipid Content and Composition as a Major Factor Determining Cholesterol Efflux Capacity From Fu5AH Cells to Human Serum
http://atvb.ahajourn[...]
2016-03-28
[134]
논문
Joe Goldstein and Mike Brown: from cholesterol homeostasis to new paradigms in membrane biology
[135]
논문
Cholesterol and plants
https://doi.org/10.1[...]
ACS Publications
[136]
논문
Plant cholesterol biosynthetic pathway overlaps with phytosterol metabolism
http://www.nature.co[...]
2017-01
[137]
논문
Short-term egg yolk feeding in humans: Increase in apolipoprotein B and low density lipoprotein cholesterol
https://doi.org/10.1[...]
[138]
논문
Effect of dietary egg on human serum cholesterol and triglycerides
[139]
논문
Individual variation in the effects of dietary cholesterol on plasma lipoproteins and cellular cholesterol homeostasis in man
[140]
논문
고콜레스테롤식(계란 노른자 3개 + 일본차) 장기 사용자의 혈중 리포단백질 동태에 관하여
https://doi.org/10.5[...]
일본동맥경화학회
[141]
논문
Inhibition of cholesterol absorption by phytosterol-replete wheat germ compared with phytosterol-depleted wheat germ
[142]
PDF
平成25〜27年度厚生労働科学研究 non-HDL等血中脂質評価指針および脂質異常症標準化システムの構築と基盤整備に関する研究
https://www.mhlw.go.[...]
[143]
웹사이트
コレステロールは体内でつくられる?
http://www.jmi.or.jp[...]
財団法人日本食肉消費総合センター
2017-01-08
[144]
웹사이트
脂質異常症(高脂血症)
https://www.astellas[...]
アステラス製薬
2017-01-08
[145]
서적
心疾患予防 : ブックレット(図解)コレステロール仮說から脂肪酸のn-6/n-3バランスへ
https://www.kinokuni[...]
学会センター関西
2002-10
[146]
웹사이트
日本動脈硬化学会-公式サイト-
http://www.j-athero.[...]
2012-04-10
[147]
웹사이트
http://www.newswithv[...]
[148]
웹사이트
http://vitalitymagaz[...]
[149]
웹사이트
What Makes Atherosclerosis More Likely?
http://www.nhlbi.nih[...]
NHLBI
[150]
논문
豚肉に含まれる脂肪酸量と調理方法のコレステロール量の変化に対する影響
[151]
웹사이트
Cholesterol
https://www.heart.or[...]
American Heart Association
[152]
웹사이트
高脂血症・耐糖能低下・homocysteine値上昇はどの程度、虚血性心疾患発症を促進するか
http://www.lifescien[...]
ライフサイエンス出版
[153]
논문
健診・人間ドックで発見される肥満のない脂肪肝例に関する検討
[154]
웹사이트
総コレステロール値とがん発生リスクとの関連
https://epi.ncc.go.j[...]
がん対策研究所予防関連プロジェクト
2023-01-31
[155]
웹사이트
悪玉(LDL)コレステロール値とがんとの関係:低すぎると・・・
https://www.youtube.[...]
佐藤のりひろ - がん情報チャンネル
2023-01-08
[156]
웹사이트
低脂血症
https://www.msdmanua[...]
MSDマニュアル家庭版
[157]
논문
Seasonal variation in serum cholesterol levels: treatment implications and possible mechanisms
[158]
웹사이트
コレステロールと健康・疾病
http://kumamoto.lin.[...]
[159]
논문
世界の食事と生活習慣病
[160]
서적
「コレステロール常識」ウソ・ホント
講談社
[161]
PDF
厚生労働省:「日本人の食事摂取基準」(2010年版)
https://www.mhlw.go.[...]
[162]
PDF
長寿のためのコレステロールガイドライン2010年版
http://www.kinjo-u.a[...]
金城学院大学オープン・リサーチ・センター
[163]
웹사이트
Blood Test Results - Normal Ranges
http://www.bloodbook[...]
Bloodbook.Com
[164]
웹사이트
Adëeva Nutritionals Canada > Optimal blood test values
http://www.adeeva.co[...]
Adëeva Nutritionals Canada
2009-07-09
[165]
웹사이트
What are mg/dl and mmol/l? How to convert? Glucose? Cholesterol?
http://www.faqs.org/[...]
faqs.org
2009-07-21
[166]
기타
[167]
웹사이트
Reference range (cholesterol)
https://gpnotebook.c[...]
GPnotebook
[168]
서적
First Aid for the USMLE Step 1 2008 (First Aid for the Usmle Step 1)
McGraw-Hill Medical
[169]
웹사이트
Normal Reference Range Table
http://pathcuric1.sw[...]
The University of Texas Southwestern Medical Center at Dallas
[170]
웹사이트
Cholesterol (HDL and LDL) - plasma or serum
http://www.rcpamanua[...]
Royal College of Pathologists of Australasia
2007-08-06
[171]
웹사이트
What Your Cholesterol Levels Mean.
http://www.americanh[...]
American Heart Association
2009-09-12
[172]
기타
[173]
웹사이트
HDL Cholesterol
http://www.labtestso[...]
American Association for Clinical Chemistry
[174]
기타
[175]
논문
Inhibition of cholesterol absorption by phytosterol-replete wheat germ compared with phytosterol-depleted wheat germ
[176]
간행물
第五訂食品成分表
日本国厚生労働省
[177]
보고서
Report of a Joint WHO/FAO Expert Consultation
http://www.who.int/n[...]
2003
[178]
웹사이트
「「日本人の食事摂取基準」策定検討会」の報告書を取りまとめました
https://www.mhlw.go.[...]
2021-10-10
[179]
웹사이트
2015–2020 Dietary Guidelines for Americans
https://health.gov/s[...]
2021-10-10
[180]
논문
Egg Consumption and Human Cardio-Metabolic Health in People with and without Diabetes
[181]
뉴스
週に3個以上の卵を摂取、心疾患のリスク増大か 米研究
https://www.cnn.co.j[...]
2019-04-06
[182]
논문
Dietary cholesterol and egg yolks: not for patients at risk of vascular disease
http://www.ncbi.nlm.[...]
[183]
뉴스
糖尿病患者、週に12個の卵を食べても大丈夫? 脂質プロファイルには悪影響を及ぼさず
https://medical.nikk[...]
日経メディカルオンライン
2014-09-18
[184]
논문
Discovery of the lipoproteins, their role in fat transport and their significance as risk factors
http://jn.nutrition.[...]
[185]
논문
Untersuchungen über die Konstitution der Gallensäuren. XXXIX. Mitteilung. Zur Kenntnis der 12-Oxy-cholansäure
https://doi.org/10.1[...]
[186]
서적
理化学辞典
[187]
논문
The total synthesis of cholesterol
[188]
웹사이트
CYP51について
https://web.archive.[...]
[189]
웹인용
Cholesterol, 57-88-5
https://pubchem.ncbi[...]
PubChem, National Library of Medicine, US National Institutes of Health
2019-11-14
[190]
웹인용
Safety (MSDS) data for cholesterol
http://physchem.ox.a[...]
2007-10-20
[191]
논문
Dietary cholesterol: from physiology to cardiovascular risk
[192]
논문
Effects of increasing amounts of dietary cholesterol on postprandial lipemia and lipoproteins in human subjects
http://www.jlr.org/c[...]
1994-11
[193]
논문
Cholesterol and Plants
http://chemistry.osu[...]
2014-09-18
[194]
논문
Phytosterols and vascular disease
2007-02
[195]
서적
Life: The Science of Biology 9th Edition
Freeman
[196]
논문
Cholesterol interactions with phospholipids in membranes
2002-01
[197]
논문
Modulation of membrane function by cholesterol
1991-10
[198]
논문
Do sterols reduce proton and sodium leaks through lipid bilayers?
2001-07
[199]
논문
Cholesterol in signal transduction
2000-04
[200]
서적
Histology: a text and atlas: with correlated cell and molecular biology
Lippincott Wiliams & Wilkins
[201]
논문
Steroidogenic enzymes: structure, function, and role in regulation of steroid hormone biosynthesis
[202]
논문
Another cholesterol hypothesis: cholesterol as antioxidant
[203]
서적
Lipid analysis: isolation, separation, identification, and structural analysis of lipids
Oily Press
[204]
논문
Lipids of human milk and infant formulas: a review
http://www.ajcn.org/[...]
1978-06-01
[205]
웹인용
USDA National Nutrient Database for Standard Reference, Release 21
http://www.nal.usda.[...]
United States Department of Agriculture
2008-10-24
[206]
논문
Cholesterol and Plants
2005-12
[207]
논문
Inhibition of cholesterol absorption by phytosterol-replete wheat germ compared with phytosterol-depleted wheat germ
[208]
웹사이트
Scientific opinion on the substantiation of health claims related to plant sterols and plant stanols and maintenance of normal blood cholesterol concentrations
http://www.efsa.euro[...]
2014-09-18
[209]
기관
유럽 식품안전청
[210]
논문
Continuous dose-response relationship of the LDL-cholesterol-lowering effect of phytosterol intake
2009-02
[211]
저널
Differential effects on inhibition of cholesterol absorption by plant stanol and plant sterol esters in apoE-/- mice
2011-02
[212]
저널
Controversial role of plant sterol esters in the management of hypercholesterolaemia
2009-02
[213]
저널
Effect of dietary fatty acids on serum lipids and lipoproteins. A meta-analysis of 27 trials
1992-08
[214]
저널
Health effects of trans fatty acids
1997-10
[215]
웹인용
High cholesterol levels by NHS
http://www.nhs.uk/co[...]
National Health Service
2010-09-14
[216]
서적
콜레스테롤 성분표: 2012 기능성 성분표
농촌진흥청
2012-11-29
[217]
서적
성인을 위한 식생활 지침
[218]
웹인용
Dietary Guidelines for Americans 2005
http://www.health.go[...]
United States Department of Agriculture
2010-07-28
[219]
서적
The rise and fall of modern medicine
Carroll & Graf
[220]
저널
Concerning the possibility of a nut..
1992-07
[221]
일반
[222]
서적
레닌저 생화학
월드사이언스
2010-05-30
[223]
일반
[224]
일반
[225]
서적
Biochemistry
WH Freeman
[226]
서적
Biochemistry
W.H. Freeman
[227]
서적
레닌저 생화학
월드사이언스
2010-05-30
[228]
서적
레닌저 생화학
월드사이언스
2010-05-30
[229]
저널
New insights into the regulation of HDL metabolism and reverse cholesterol transport
2005-06
[230]
저널
High-density lipoprotein cholesterol and cardiovascular disease. Four prospective American studies
1989-01
[231]
저널
Biological activity of some oxygenated sterols
1978-08
[232]
저널
Oxysterol biosynthetic enzymes
2000-12
[233]
저널
Bile acid synthesis from cholesterol: regulatory and auxiliary pathways
1994-12
[234]
저널
Bile acid regulation of hepatic physiology: I. Hepatocyte transport of bile acids
2003-02
[235]
일반
[236]
저널
Gallstone disease
2007-06
[237]
저널
Pathogen roid rage: Cholesterol utilization by Mycobacterium tuberculosis
http://informahealth[...]
2014
[238]
저널
Mycobacterium tuberculosis utilizes a unique heterotetrameric structure for dehydrogenation of the cholesterol side chain
2013
[239]
저널
Shrinking the FadE Proteome of ''Mycobacterium tuberculosis'': Insights into Cholesterol Metabolism through Identification of an α2β2 Heterotetrameric Acyl Coenzyme A Dehydrogenase Family
2013
본 사이트는 AI가 위키백과와 뉴스 기사,정부 간행물,학술 논문등을 바탕으로 정보를 가공하여 제공하는 백과사전형 서비스입니다.
모든 문서는 AI에 의해 자동 생성되며, CC BY-SA 4.0 라이선스에 따라 이용할 수 있습니다.
하지만, 위키백과나 뉴스 기사 자체에 오류, 부정확한 정보, 또는 가짜 뉴스가 포함될 수 있으며, AI는 이러한 내용을 완벽하게 걸러내지 못할 수 있습니다.
따라서 제공되는 정보에 일부 오류나 편향이 있을 수 있으므로, 중요한 정보는 반드시 다른 출처를 통해 교차 검증하시기 바랍니다.
문의하기 : help@durumis.com

