맨위로가기

할로젠 결합

"오늘의AI위키"는 AI 기술로 일관성 있고 체계적인 최신 지식을 제공하는 혁신 플랫폼입니다.
"오늘의AI위키"의 AI를 통해 더욱 풍부하고 폭넓은 지식 경험을 누리세요.

1. 개요

할로젠 결합은 할로젠 원자가 부분 전하에 정전기적으로 인력을 받을 때 발생하는 비공유 상호작용이다. 이 결합은 수소 결합과 유사하게 전자 공여체/수용체 관계를 가지며, 할로젠 원자가 전자를 받는 물질로 작용한다. 할로젠 결합은 강력하고 지향성을 가지며, 결정 공학, 제어 중합, 생체 고분자 등 다양한 분야에서 응용된다. 특히, 신약 설계에서 분자 인식 및 결합에 중요한 역할을 한다.

더 읽어볼만한 페이지

  • 분자간 힘 - 소수성
    소수성은 물을 기피하는 성질로, 생물학, 화학 등 다양한 분야에서 중요하게 다루어지며, 미셀 형성, 단백질 구조 형성, 초소수성 현상 등과 관련되어 자가 세척, 랩온어칩, 제약 분야 등에 응용된다.
  • 분자간 힘 - 반데르발스 힘
    반데르발스 힘은 원자, 분자, 표면 간에 작용하는 인력으로, 입자들의 변동하는 극성화 상관관계에서 발생하며, 영구 다극자, 유도된 다극자, 순간 다극자 간 상호작용의 총합으로, 공유결합이나 이온결합보다 약하지만 물질의 물리적·화학적 특성, 생체 분자 상호작용, 도마뱀붙이의 벽면 부착 등에 중요한 역할을 한다.
  • 화학 결합 - 원자가 전자
    원자가 전자는 원자의 최외각 전자껍질에 존재하며 화학적 성질을 결정하는 데 중요한 역할을 하고, 주족 원소는 최외각 전자껍질의 전자로 정의되지만 전이 원소는 (n-1)d 궤도의 전자도 포함하며, 주기율표 족에 따라 예측 가능하지만 예외도 존재하고, 화학 결합, 산화 상태, 전기 전도도에 영향을 미친다.
  • 화학 결합 - 파울리 배타 원리
    파울리 배타 원리는 1925년 볼프강 파울리가 제시한 양자역학 원리로, 동일한 페르미온은 동일한 양자 상태에 존재할 수 없으며, 원자의 전자 배치, 화학 결합, 천체 특성 등을 설명하는 데 중요한 역할을 한다.
할로젠 결합
개요
명칭할로젠 결합
영어 명칭Halogen bond
일본어 명칭ハロゲン結合 (harogen ketsugō)
정의
정의할로젠 원소가 포함된 분자 사이의 정전기적 인력 상호작용
IUPAC 정의 (2013년)'전기 양성적인 할로젠 원소와 루이스 염기 사이의 비공유 결합적 상호작용. X-Y···B로 표현되며, 여기서 X는 할로젠 원소, Y는 X와 공유 결합된 원소, B는 루이스 염기이다.'
특성
유사점수소 결합과 유사한 상호작용
형성 조건할로젠 원자가 전기 음성도가 큰 원소에 결합되어 양전하를 띠는 영역(σ-hole)을 가질 때 형성됨
결합 세기약한 반 데르 발스 힘부터 강한 공유 결합까지 다양함
결합 거리반 데르 발스 거리보다 짧음
방향성방향성을 가짐
관여 원소아이오딘(I) > 브로민(Br) > 염소(Cl) > 플루오린(F) 순으로 강한 결합 형성.
결합 수용체음전하를 띤 이온, 질소, 산소, 을 포함하는 분자, π 시스템, 금속 착물 등
역사
최초 관찰1863년, 프레데릭 거스리가 아이오딘과 암모니아의 부가물을 연구하면서 관찰
본격적인 연구20세기 후반부터 결정 구조 분석을 통해 할로젠 결합의 존재가 확인되면서 활발하게 연구됨
응용
재료 과학새로운 재료 설계
결정 공학분자 간 상호작용 조절
생물학약물 설계, 단백질 구조 연구
촉매 작용화학 반응 촉진
관련 용어
σ-hole (시그마 홀)할로젠 원자 표면의 양전하 영역
루이스 염기전자쌍을 제공할 수 있는 분자 또는 이온

2. 정의

할로젠 결합은 할로젠 원자가 부분 전하에 정전기적으로 인력을 받을 때 발생하며, 이는 시그마(σ) 결합과 관련이 있다. 이론적으로 모든 할로젠 원자가 할로젠 결합에 참여할 수 있지만, 실제로는 분극화 정도나 전기 음성도에 따라 결합 형성에 차이가 있다.

할로젠 결합은 수소 결합과 유사하게 전자를 주는 물질(도너, D)과 전자를 받는 물질(억셉터, A) 사이의 상호작용으로 설명할 수 있다. 수소 결합에서는 수소 원자가 전자를 받는 역할을 하지만, 할로젠 결합에서는 할로젠 원자가 이 역할을 한다.


  • 수소 결합: \mathrm{D{-}H \cdots A}
  • 할로젠 결합: \mathrm{D{-}X \cdots A}


할로젠 결합에서 할로젠 원자(X)는 아이오딘(I), 브로민(Br), 염소(Cl), 드물게 플루오린(F)이 될 수 있다. 일반적으로 아이오딘이 가장 강한 할로젠 결합을 형성하며, 결합 세기는 F < Cl < Br < I 순서로 감소한다.[41]

다이할로젠 분자(I2, Br2 등)는 강한 할로젠 결합을 형성하는 경향이 있다. 할로젠 원자가 전기 음성도가 높은 원자와 결합하고 있을 때 더 강한 할로젠 결합이 형성되기 쉽다.[42] 예를 들어, 요오드화 퍼플루오로알케인류는 할로젠 결합 결정 공학에 유용하게 사용된다.

할로젠 결합은 강하고 특이적이며 방향성을 갖는 상호작용으로, 5-180 kJ/mol의 세기를 가진다. 이는 수소 결합보다는 약간 약하지만, 경쟁할 수 있는 수준이다. 할로젠 결합은 180° 각도로 형성되는 경향이 있으며, 이는 오드 하셀의 연구에서 밝혀졌다.[43] 할로젠과 루이스 염기 사이의 거리가 짧을수록 할로젠 결합은 더 강해진다.

2. 1. 할로젠 결합의 특징

아이오딘 일염화물과 트라이메틸아민 복합체 내의 할로젠 결합


할로젠 결합은 할로젠 원자가 부분 전하에 정전기적으로 인력을 받을 때 발생한다. 이 원자는 반대편 σ-결합 내에서 공유 결합되어야 한다. 해당 결합과 관련된 전자 밀도는 반대편에 양전하를 띤 "구멍"을 남긴다.[8] 이론적으로 모든 할로젠은 할로젠 결합에 참여할 수 있지만, 문제의 전자 구름이 분극화를 잘 못하거나 할로젠이 연관된 σ-결합을 분극화할 정도로 전기 음성도가 높으면 σ-구멍이 줄어든다.[3][9] 결과적으로 할로젠 결합 성향은 F < Cl < Br < I 순서를 따른다.[10][11]

할로젠 결합과 확장된 옥텟 부분 결합 사이에는 명확한 구분이 없다. 표면적으로 할로젠 결합처럼 보이는 것이 예상치 못한 공명 구조 내에서 완전한 결합으로 밝혀질 수도 있다.[12][13][14][15]

2. 2. 공여체 특성

다전자 공여체는 고립 전자쌍 및 공여체 핵과 공선성을 이루는 할로젠 결합을 선호한다. 피리딘 유도체는 고리 평면에 가깝게 할로젠 결합을 공여하며, 두 C–N–X 각도는 약 120°이다.[16] 카르보닐기, 티오케톤, 셀레노카르보닐 그룹은 삼각 평면 분자 구조를 가지며, 루이스 공여체 원자 주변에 1개 또는 2개의 할로젠 결합을 받아들일 수 있다.[17]

이온은 일반적으로 중성 종보다 할로젠 결합 수용체로 더 우수하다. 이온 쌍이 더 많이 해리될수록 음이온과 형성되는 할로젠 결합이 더 강해진다.[18]

3. 다른 결합과의 비교

할로젠 결합은 수소 결합과 유사하게 전자 공여체/전자 수용체 관계를 중심으로 하지만, 수소 결합보다 더 강하고 방향성에 민감하다. 일반적인 수소 결합의 결합 에너지는 20 kJ/mol 정도인 반면, 할로젠 결합 에너지는 10~200 kJ/mol 범위이다.[17]

σ-홀 개념은 15족 원소(닉토젠 결합), 16족 원소(칼코젠 결합), 18족 원소(에어로젠 결합)로 확장될 수 있다.[19]

할로젠 결합과 수소 결합을 비교하면 다음과 같다.


  • 수소 결합: \mathrm{D{-}H \cdots A}
  • 할로젠 결합: \mathrm{D{-}X \cdots A}


여기서 D(도너, 공여체)는 전자 부족 화학종(수소 또는 할로젠)을 제공하는 원자, 원자단, 분자이다. H는 수소 결합에 관여하는 수소 원자, X는 할로젠 결합에 관여하는 할로젠이다. A(억셉터, 수용체)는 전자 풍부한 화학종이다.

두 결합 모두 전자를 주는 물질과 전자를 받는 물질 간의 관계를 갖는다는 유사점이 있다. 차이점은 어떤 화학종이 전자를 주고 받는지에 있다. 수소 결합에서는 수소 원자가 전자를 받아 전자 풍부한 부위(전자를 주는 물질)로부터 전자 밀도를 받아 비공유 결합성 상호작용을 형성한다. 반면 할로젠 결합에서는 할로젠 원자가 전자를 받는 물질이다. 전자 밀도 이동으로 반 데르 발스 반지름보다 작은 거리까지 원자 간 거리가 가까워진다.[40]

할로젠 결합에는 아이오딘(I), 브로민(Br), 염소(Cl), 드물게 플루오린(F)이 관여한다. 이들 할로젠은 모두 할로젠 결합 공여체로 작용할 수 있으며, 결합 강도는 일반적으로 F < Cl < Br < I 순으로, 아이오딘이 가장 강한 상호작용을 형성한다.[41]

다이할로젠 분자(I2, Br2 등)는 강한 할로젠 결합을 형성하는 경향이 있다. 염소 및 플루오린의 할로젠 결합 강도와 유효성은 할로젠 결합 공여체의 성질에 따라 달라진다. 할로젠 원자가 전기 음성도가 높은(전자 끌개) 부위와 결합하면 강한 할로젠 결합이 형성되기 쉽다.[42]

예를 들어 요오드화 퍼플루오로알케인류는 할로젠 결합 결정 공학에 적합하다. F2는 강한 할로젠 결합 공여체로 작용하지만, 플루오린화 탄소는 약한 할로젠 결합 공여체이다. 이는 플루오린 원자와 결합한 알킬 그룹이 전기 음성이 아니기 때문이다. 또한 루이스 염기(할로젠 결합 수용체)는 전기 음성도가 높을수록, 음이온은 중성 분자보다 더 좋은 할로젠 결합 수용체이다.

할로젠 결합은 강력하고 특이적이며 방향성을 갖는 상호작용으로, 잘 정의된 구조를 형성한다. 할로젠 결합 강도는 5~180 kJ/mol 범위로, 수소 결합보다 약간 약하지만 경쟁할 만하다. 오드 하셀의 1954년 브로민과 1,4-다이옥산 연구에서 할로젠 결합이 180° 각도로 형성되는 경향이 밝혀졌다.[43] 할로젠(루이스 산, 할로젠 결합 공여체)과 루이스 염기(할로젠 결합 수용체) 사이의 짧은 거리는 할로젠 결합 강도에 기여한다. 할로젠 결합의 인력으로 인해 공여체와 수용체 간 거리가 반 데르 발스 반지름 합보다 짧아진다. 할로젠 결합 상호작용은 할로젠과 루이스 염기 간 거리가 짧을수록 강해진다.

4. 역사

1,4-다이옥산과 브롬의 1:1 부가물의 사슬, 할로젠 결합의 첫 번째 결정학적 증거.


1814년, 장자크 콜린은 기체 암모니아와 요오드 혼합물에서 금속성 액체를 발견하면서 할로젠 결합 연구가 시작되었다.[20] 프레데릭 거스리는 50년 후 I2···NH3 복합체의 조성을 확립했지만,[20] 분자 상호작용의 물리적 과정은 로버트 S. 멀리컨의 이론이 개발될 때까지 밝혀지지 않았다.[20]

1954년 오드 하셀은 1,4-다이옥산과 브롬 혼합물의 X선 회절 패턴 연구를 통해 할로젠 결합의 존재를 증명했다.[22] 이 연구에서 다이옥산 산소 원자와 브롬 원자 사이의 거리가 2.71 Å으로, 원자의 반 데르 발스 반지름의 합(3.35 Å)보다 훨씬 가깝다는 것을 발견했다. 또한 O-Br과 Br-Br 결합 사이의 각도는 약 180°였다. 하셀은 이러한 사실을 바탕으로 할로젠 원자가 전자쌍 공여 분자의 고립 전자쌍 궤도의 축과 일치하는 결합 방향으로 전자쌍 공여체에 직접 연결된다고 결론지었다.[8] 하셀은 이 연구로 1969년 노벨 화학상을 수상했다.[23]

1978년 뒤마 등은 유기 용매에서 CCl4, CBr4, SiCl4, SiBr4테트라히드로푸란, 테트라히드로피란, 피리딘, 아니솔, 디-n-부틸 에테르 복합체 연구를 통해 "할로젠 결합" 용어를 처음 사용했다.[24]

1990년대 중반 레건 등의 연구를 통해 할로젠 결합과 수소 결합의 유사성이 주목받았다.[25]

2007년, 폴리처와 머레이의 계산 결과는 할로젠 핵 주변의 이방성 전자 밀도 분포, 즉 "σ-홀"[9]이 할로젠 결합의 높은 방향성의 근간이 된다는 것을 보여주었다.[26]

5. 응용

할로젠 결합은 결정 공학, 제어 중합, 생체 고분자, 신약 설계 등 다양한 분야에서 응용된다.

결정 공학에서는 할로젠 결합의 강도와 방향성을 이용하여 분자 간 상호작용을 제어하고 결정 구조를 형성한다.[33] 할로젠 결합은 공중합체를 안정화하거나[34][35] 액체에서 메조상을 유도할 수 있으며,[36] 실세스퀴옥산 등에서 할로젠 결합으로 유도된 액정상이 알려져 있다.[32]

특정 아미드는 할로젠 결합을 통해 폴리(디아이오다이아세틸렌)(PIDA)의 선형 중합을 유도할 수 있다.[38] 이는 광전지, 유기 전계 발광 소자, 화학 센서 등에 응용될 수 있는 공액 고분자(중합체)를 만드는 데 활용된다.

생체 고분자에서 할로젠 결합은 입체 구조, 기질 특이성, 결합, 분자 접힘 등에 중요한 역할을 한다.[67] 할로젠화 핵염기는 체외에서 산소, 질소, 황과 할로젠 결합을 형성할 수 있다.[6] 단백질 구조 데이터 뱅크(PDB)의 연구에 따르면, 단백질-기질 복합체에서 할로젠-산소, 할로젠-질소, 할로젠-황 상호작용이 발견되었다.[66]

신약 설계에서 할로젠 결합은 억제제의 효능 및 선택성에 기여한다. 예를 들어, 억제제 IDD 594는 브롬 할로젠 결합을 통해 인간 알도스 환원효소에 선택적으로 결합하여 당뇨병 치료에 응용될 수 있다.[39]

5. 1. 결정 공학



할로젠 결합의 강도와 방향성은 결정 공학의 핵심 도구이다. 결정 공학은 분자 간 상호작용을 제어하여 결정 구조를 형성하려는 시도이다.[33] 할로젠 결합은 공중합체를 안정화하거나[34][35] 액체에서 메조상을 유도할 수 있다.[36] 할로젠 결합으로 유도된 액정상은 알콕시스틸바졸[36]과 실세스퀴옥산 (그림)에서 알려져 있다.[32] 할로젠 결합의 입체 효과에 대한 민감성은 부피가 큰 분자가 다공성 물질로 결정화되도록 돕는다. 요오드와 방향족 화합물 파이 궤도 사이의 할로젠 결합은 분자가 약 40%가 공극인 패턴으로 결정화되도록 한 사례가 있다.[37]

5. 2. 제어 중합

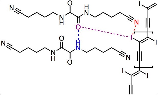
특정 아미드는 할로젠 결합을 통해 폴리(디아이오다이아세틸렌)(PIDA)의 선형 중합을 유도할 수 있다. Sun, Lauher, Goroff는 특정 아미드가 수소 결합을 통해 자기 조직화된 다음, 할로젠 결합을 통해 디아이오다이아세틸렌 단량체로 전이되어 선형 중합을 보장한다는 것을 발견했다. 순수한 디아이오다이아세틸렌 결정은 자발적으로 중합되지 않지만, 할로젠 결합에 의한 조직화는 공결정이 자발적으로 중합될 정도로 충분히 강하다.[38]

촉매-단량체 공결정. 단위는 5.25Å마다 반복되고 51.3˚로 정렬된다.


중합 후 결정 구조: 산소 원자(보라색)는 수소 결합(파란색 점선)과 고분자의 요오드 치환체와 약한 할로젠 결합을 형성한다. 요오드는 또한 말단 니트릴(빨간색 점선)과 할로젠 결합을 형성할 수 있다.


PIDA ('''1''')、단량체 ('''2''')、호스트 골격 ('''3'''-'''7''')이 사용된다.


폴리아세틸렌이 전도성을 나타낸다는 Heeger, McDiaramid, 시라카와 히데키 등의 발견(재료 제조는 어렵지만)에서 공액 고분자(중합체)의 특성을 이용한 응용이 비롯되었다. 그 이후, 이 공액 고분자의 주 골격 (예: 폴리(''p''-페닐렌비닐렌))을 모방하는 연구가 진행되었다. 공액 고분자는 광전지, 유기 전계 발광, 전계 효과 트랜지스터, 화학 센서 등 많은 실용적인 응용 분야가 있다. Goroff 등은 할로겐 결합 골격을 이용하여 단량체 ('''2''')를 사전에 정렬하여, 질서 정연한 폴리(요오드다이아세틸렌) (PIDA, '''1''')를 조제했다. PIDA는 요오드를 쉽게 변환할 수 있기 때문에, 다른 공액 고분자의 매우 우수한 전구체이다. 예를 들어, C-I 결합의 절단은 전기화학적 환원이 될 수 있다.[64]

단량체 ('''2''')의 결정 구조는 다양한 조성과 연결성을 가지며 무질서하다. 호스트 ('''3'''-'''7''')의 분자 패킹은 주로 단량체 ('''2''')와 각 호스트 분자와의 공결정 실험을 통해 조사되었다. 호스트 '''3'''과 '''4'''는 단량체 ('''2''')와 사전에 조제되었지만, 요오드 주변의 입체적 부피 때문에 단량체의 위상적 중합을 얻을 수 없었다. 호스트 '''5'''-'''7'''은 수소 결합과 할로겐 결합을 이용하여 단량체 ('''2''')를 중합하기 쉬운 적절한 거리에 고정했다.

실제로 호스트 '''7'''을 사용한 경우, 공결정을 분리할 때 자발적으로 중합이 일어났다. 결정 구조에서는 고분자 사슬이 수소 결합 네트워크에 모두 평행하고, 호스트의 니트릴이 각 요오드 원자와 할로겐 결합을 하고 있는 것으로 나타났다. 흥미롭게도, 고분자 '''1'''의 결정 중 요오드 원자의 절반은 옥살아미드의 산소 원자와 근접한 위치에 존재한다. 호스트 '''7'''의 산소 원자는 수소 결합과 할로겐 결합 모두에서 수용체로 작용하고 있다.

5. 3. 생체 고분자

할로젠 결합은 생체 고분자의 입체 구조, 기질 특이성, 결합, 분자 접힘에 중요한 역할을 한다.[67] 할로젠화 핵염기는 체외에서 산소, 질소, 황과 할로젠 결합을 형성할 수 있다.[6]

생체 분자 수준에서 할로젠 결합은 단백질-리간드 상호작용에서 주쇄의 카르보닐기 및/또는 아미노산 잔기의 히드록시기 및 카르복실기와 주로 결합한다. DNA 및 단백질-리간드 복합체에서는 루이스 염기 도너 원자와 루이스 산(할로젠) 사이의 결합 거리가 반데르발스 반지름의 합보다 짧다. 구조 및 화학적 환경에 따라 할로젠 결합은 강하거나 약할 수 있으며, 몇몇 단백질-리간드 복합체의 경우 수소 결합에 필적하는 수준이다.


5. 3. 1. 생체 고분자 내 할로젠 결합 사례

대부분의 생체 고분자는 할로젠 원자를 거의 또는 전혀 포함하지 않는다. 그러나 분자가 할로젠을 포함하는 경우 할로젠 결합은 종종 분자 입체 구조를 이해하는 데 필수적이다. 계산 연구에 따르면 알려진 할로젠화된 핵염기는 ''체외''에서 산소, 질소, 또는 과 할로젠 결합을 형성한다. 흥미롭게도 산소 원자는 일반적으로 비공유 전자쌍으로 할로젠을 끌어들이지 않고, 오히려 π 전자를 카르보닐기 또는 아미드기에서 끌어들인다.[6]

할로젠 결합은 신약 설계에서도 중요하다. 예를 들어, 억제제 IDD 594는 그림과 같이 브롬 할로젠 결합을 통해 인간 알도스 환원효소에 결합한다. 유사한 알데히드 환원효소가 효소를 대체하거나, 염소가 약물 할로젠을 대체하면 분자가 서로 결합하지 못하는데, 그 이유는 변형된 기하 구조가 할로젠 결합을 억제하기 때문이다.[39]

단백질 구조 데이터 뱅크(PDB, 2004년 7월판) 내의 단결정 구조를 기반으로 한 연구에서, PDB에 등록된 분해능 3 Å 이하의 단결정 구조를 대상으로 한 결과, 할로젠화 염기를 가진 6개의 핵산 구조와 66개의 단백질-기질 복합체에서 100개 이상의 할로젠-산소 상호작용 할로젠 결합이 발견되었다. 할로젠-산소 상호작용만큼 빈번하지는 않지만, 할로젠-질소 및 할로젠-황 접촉도 마찬가지로 확인되었다.[66]

생체 분자 수준에서 할로젠 결합은 기질 특이성, 결합, 분자 접힘에 중요하다.[67] 단백질-리간드 상호작용의 경우, 가장 일반적인 분극된 할로젠과의 전하 이동 결합은 주쇄의 카르보닐기 및/또는 아미노산 잔기의 히드록시기 및 카르복실기가 관여한다. DNA 및 단백질-리간드 복합체에서는 일반적으로, 루이스 염기 도너 원자(예: O, S, N)와 루이스 산(할로젠) 사이의 결합 거리는 이러한 반데르발스 반지름의 합보다 짧다. 구조적, 화학적 환경에 따라, 할로젠 결합 상호작용은 약할 수도 강할 수도 있다. 몇몇 단백질-리간드 복합체의 경우, 도너-액셉터의 방향성이 일치한다면, 할로젠 결합은 에너지적으로나 기하학적으로 수소 결합에 필적한다. 이 분자간 상호작용은 단백질-리간드나 DNA 구조를 안정화시키고 컨포메이션 (배좌)의 결정 요인인 것으로 나타났다.

분자 인식 및 결합에서도 할로젠 결합은 중요할 것이다. 이 주장의 약물 설계에서의 한 예는, IDD 594의 인간 알도스 환원효소에의 결합에서의 기질 특이성이다.[68] E. I. Howard는 이 단량체 효소에 대해 가장 뛰어난 분해능 (0.66 Å)의 구조를 보고했다. 이 생체 고분자는 316 아미노산 잔기로 이루어져 있으며, 알도스코르티코스테로이드, 알데히드를 환원한다. 본 효소에 의해 D-글루코스로부터 얻어지는 D-소르비톨은, 당뇨병의 병적 상태의 하류 효과에 기여하고 있다고 생각된다.[69] 따라서, 본 효소의 억제는 치료에 있어서 장점이 있다.

알데히드나 카르복실산을 갖는 억제제는 효과적이지만, 알데히드 환원효소의 기능을 손상시키기 때문에 독성을 나타낸다. 카르복실산 및 알데히드 억제제는, Trp 111, Tyr 48, His 110과 수소 결합을 한다. 억제제의 결합의 결과 만들어지는 특이성 포켓은 Leu 300, Ala 299, Phe 122, Thr 113, Trp 11로 구성된다. 억제제가 유효하기 위해 상호작용하는, 핵심 잔기는 Thr 113과 Trp 111인 것으로 확인되었다. IDD 594는, 할로젠이 선택성과 활성을 향상시키도록 설계되었다. 결합할 때, 본 화합물은 컨포메이션 변화를 유도하고, Thr의 산소 원자와 억제제의 브롬과의 할로젠 결합을 일으킨다. 이 할로젠 결합의 거리는 2.973(4) Å였다. 이 O-Br 할로젠 결합이, 본 억제제가 알데히드 환원효소가 아닌 인간 알도스 환원효소에 대해 높은 활성을 나타내는 데 기여하고 있다.

5. 3. 2. 신약 설계에의 응용



신약 설계에서 할로젠 결합은 중요하다. 예를 들어 억제제 IDD 594는 그림과 같이 브롬 할로젠 결합을 통해 인간 알도스 환원효소에 결합한다. 알데히드 환원효소 등 다른 효소가 이 효소를 대체하거나, 염소가 약물 내 할로젠을 대체하면 분자 간 결합이 불가능하다. 이는 변형된 기하 구조가 할로젠 결합을 억제하기 때문이다.[39]

할로젠 결합은 분자 인식 및 결합에도 중요하다. IDD 594와 인간 알도스 환원효소 결합에서의 기질 특이성이 그 예시이다.[68] E. I. Howard는 이 단량체 효소에 대해 가장 뛰어난 분해능(0.66 Å)의 구조를 보고했다. 이 생체 고분자는 316개의 아미노산 잔기로 구성되며, 알도스, 코르티코스테로이드, 알데히드를 환원하는 역할을 한다. 이 효소에 의해 D-글루코스로부터 생성되는 D-소르비톨은 당뇨병의 병적 상태를 유발하는 하류 효과에 기여하는 것으로 알려져 있다.[69] 따라서 이 효소를 억제하는 것은 치료에 도움이 될 수 있다.

알데히드나 카르복실산을 포함하는 억제제는 효과적이지만, 알데히드 환원효소의 기능 또한 손상시켜 독성을 나타낸다. 카르복실산 및 알데히드 억제제는 Trp 111, Tyr 48, His 110과 수소 결합을 형성한다. 억제제 결합 결과 생성되는 특이성 포켓은 Leu 300, Ala 299, Phe 122, Thr 113, Trp 111로 구성된다. 억제제가 효과적으로 작용하기 위해서는 Thr 113과 Trp 111 잔기와의 상호작용이 필수적인 것으로 확인되었다. IDD 594는 할로젠을 통해 선택성과 활성을 향상시키도록 설계되었다. 결합 시, 이 화합물은 효소의 구조적 변화를 유도하여 Thr의 산소 원자와 억제제의 브롬 원자 사이에 할로젠 결합을 형성한다. 이 할로젠 결합 거리는 2.973(4) Å이다. 이러한 O-Br 할로젠 결합은 IDD 594가 알데히드 환원효소가 아닌 인간 알도스 환원효소에 대해 높은 활성을 나타내는 이유 중 하나이다.

참조

[1] 논문 Definition of the Halogen Bond (IUPAC Recommendations 2013): A Revisit https://pubs.acs.org[...] 2024-07-03
[2] 논문 Definition of the Halogen Bond (IUPAC Recommendations 2013) 2013
[3] 논문 Halogen bonding based recognition processes: a world parallel to hydrogen bonding 2005-05
[4] 논문 Halogen Bonding in Supramolecular Chemistry 2015-08
[5] 논문 Halogen bonding: a paradigm in supramolecular chemistry 2001-06
[6] 논문 Halogen bonds in biological molecules 2004-11
[7] 논문 The Halogen Bond 2016-02
[8] 논문 Structural aspects of interatomic charge-transfer bonding 1970-10
[9] 논문 Halogen bonding: the sigma-hole. Proceedings of "Modeling interactions in biomolecules II", Prague, September 5th-9th, 2005 2007-02
[10] 논문 An overview of halogen bonding 2007-02
[11] 문서
[12] 논문 Halogen Bonding versus Hydrogen Bonding: A Molecular Orbital Perspective 2012-04
[13] 논문 DFT calculations, structural and spectroscopic studies on the products formed between IBr and N,N'-dimethylbenzoimidazole-2(3H)-thione and -2(3H)-selone 2005-07
[14] 논문 Does fluorine participate in halogen bonding? 2015-03
[15] 논문 Halogen Bonding: An Odd Chemistry? 2021-05
[16] 논문 Reactions of pyridyl donors with halogens and interhalogens: an X-ray diffraction and FT-Raman investigation https://www.scienced[...] 2005-04-15
[17] 논문 Halogen bonding in supramolecular chemistry 2008-08-04
[18] 논문 Fluorous Interpenetrated Layers in a Three-Component Crystal Matrix https://pubs.acs.org[...] 2003-05-01
[19] 논문 Aerogen Bonding Interaction: A New Supramolecular Force? 2015-06
[20] 논문 Xxviii.—On the Iodide of Iodammonium https://zenodo.org/r[...]
[21] 논문
[22] 논문 The Structure of Bromine 1,4-Dioxanate http://actachemscand[...]
[23] 논문 Structural Aspects of Interatomic Charge-Transfer Bonding 1972
[24] 논문 CX4...Base Interactions as Models of Weak Charge-transfer Interactions: Comparison with Strong Charge-transfer and Hydrogen-bond Interactions 1978
[25] 논문 Prereactive Complexes of Dihalogens XY with Lewis Bases B in the Gas Phase: A Systematic Case for the Halogen Analogue B···XY of the Hydrogen Bond B···HX 1999-09
[26] 논문 Halogen bonding: an electrostatically-driven highly directional noncovalent interaction 2010-07
[27] 논문 Real-space imaging of anisotropic charge of σ-hole by means of Kelvin probe force microscopy 2021-11
[28] 웹사이트 First observation of an inhomogeneous electron charge distribution on an atom https://phys.org/new[...] 2023-09-07
[29] 논문 π covalency in the halogen bond 2020-07
[30] 논문 Visualization of π-hole in molecules by means of Kelvin probe force microscopy 2023-08
[31] 웹사이트 Scientists confirm decades-old theory of non-uniform distribution of electron density in aromatic molecules https://phys.org/new[...] 2023-09-07
[32] 논문 Synthesis, characterization and thermal properties of T8 type amido-POSS with p-halophenyl end-group 2017-10-01
[33] 논문 Anion coordination and anion-templated assembly under halogen bonding control
[34] 논문 Halogen Bonding versus Hydrogen Bonding in Driving Self-Assembly Processes Perfluorocarbon-hydrocarbon self-assembly, part IX. This work was supported by MURST (Cofinanziamento '99) and EU (COST-D12-0012). Wiley-VCH 2000-05
[35] 논문 Perfluorocarbon−Hydrocarbon Self-Assembling. 1D Infinite Chain Formation Driven by Nitrogen···Iodine Interactions https://pubs.acs.org[...] 1998-08
[36] 논문 Halogen bonding: a new interaction for liquid crystal formation 2004-01
[37] 논문 Hexagonal crystalline inclusion complexes of 4-iodophenoxy trimesoate 2008-10
[38] 논문 Preparation of poly(diiododiacetylene), an ordered conjugated polymer of carbon and iodine 2006-05
[39] 논문 Ultrahigh resolution drug design I: details of interactions in human aldose reductase-inhibitor complex at 0.66 A 2004-06
[40] 간행물 Halogen Bonding: A Paradigm in Supramolecular Chemistry
[41] 간행물 An Overview of Halogen Bonding
[42] 간행물 Halogen Bonding Based Recognition Processes: A World Parallel to Hydrogen Bonding
[43] 논문 The Structure of Bromine 1,4-Dioxanate
[44] 간행물 Xxviii.—On the Iodide of Iodammonium
[45] 간행물
[46] 간행물
[47] 간행물
[48] 간행물 Structural Aspects of Interatomic Charge-Transfer Bonding
[49] 논문 Structural Aspects of Interatomic Charge-Transfer Bonding 1972
[50] 논문 Structural Chemistry of Donor-Acceptor Interactions 1968
[51] 논문 CX4...Base Interactions as Models of Weak Charge-transfer Interactions: Comparison with Strong Charge-transfer and Hydrogen-bond Interactions 1978
[52] 논문 Prereactive Complexes of Dihalogens XY with Lewis Bases B in the Gas Phase: A Systematic Case for the Halogen Analogue B···XY of the Hydrogen Bond B···HX 1999
[53] 논문 Halogen Bonding: An Electrostatically-driven Higly Directional Noncovalent Interaction 2010
[54] 논문 Halogen Bonding: The σ-Hole 2007
[55] 논문 Halogen Bonding in Supramolecular Chemistry 2015
[56] 논문 The Halogen Bond 2016
[57] 간행물 Innovation in Crystal Engineering
[58] 간행물 Photodimerization in the solid state
[59] 간행물 Engineering Functional Materials by Halogen Bonding
[60] 간행물 Anion coordination and anion-templated assembly under halogen bonding control
[61] 간행물 Halogen Bonding: A New Interaction for Liquid Crystal Formation
[62] 간행물 The Materials Chemistry of Alkoxystilbazoles and Their Metal Complexes
[63] 논문 Revealing molecular self-assembly and geometry of non-covalent halogen bonding by solid-state NMR spectroscopy
[64] 간행물 Preparation of Poly(Diiododiacetylene), an Ordered Conjugated Polymer of Carbon and Iodine
[65] 논문 Hexagonal Crystalline Inclusion Complexes of 4-Iodophenoxy Trimesoate
[66] 간행물 Halogen Bonds in Biological Molecules
[67] 간행물 X-ray crystal structure of the Ala-109-->Thr variant of human transthyretin which produces euthyroid hyperthyroxinemia. http://www.jbc.org/c[...]
[68] 간행물 Ultrahigh Resolution Drug Design I: Details of Interactions in Human Aldose Reductase-Inhibitor Complex at 0.66 Å
[69] 간행물 Aldose reductase in glucose toxicity: a potential target for the prevention of diabetic complications http://www.jbc.org/c[...]



본 사이트는 AI가 위키백과와 뉴스 기사,정부 간행물,학술 논문등을 바탕으로 정보를 가공하여 제공하는 백과사전형 서비스입니다.
모든 문서는 AI에 의해 자동 생성되며, CC BY-SA 4.0 라이선스에 따라 이용할 수 있습니다.
하지만, 위키백과나 뉴스 기사 자체에 오류, 부정확한 정보, 또는 가짜 뉴스가 포함될 수 있으며, AI는 이러한 내용을 완벽하게 걸러내지 못할 수 있습니다.
따라서 제공되는 정보에 일부 오류나 편향이 있을 수 있으므로, 중요한 정보는 반드시 다른 출처를 통해 교차 검증하시기 바랍니다.

문의하기 : help@durumis.com