카르디올리핀
"오늘의AI위키"의 AI를 통해 더욱 풍부하고 폭넓은 지식 경험을 누리세요.
1. 개요
카르디올리핀(CL)은 두 개의 포스파티드산 부분이 글리세롤 골격에 연결된 디포스파티딜글리세롤 지질로, 미토콘드리아 내막에 존재하며 세포 에너지 생성 및 세포자멸사 등 다양한 기능을 수행한다. CL은 4개의 알킬기를 가지며, 2개의 음전하를 띠며, 4개의 아실 사슬을 가진다. 진핵생물과 원핵생물에서 생합성 및 이화 작용 경로가 다르며, pH 변화 및 2가 양이온 존재에 따라 구조적 변화를 일으켜 막 융합에 관여한다. CL의 양적, 질적 변화는 바르트 증후군, CMAMMA, 탕제병, 파킨슨병, 알츠하이머병, 당뇨병, 암 등 다양한 질환과 관련이 있으며, 매독 진단 및 HIV-1 감염과도 연관된다.
더 읽어볼만한 페이지
- 인지질 - 포스파티딜에탄올아민
포스파티딜에탄올아민은 세포막의 주요 인지질로서 동물세포에서 심장 기능, 지단백질 분비, 혈액 응고, 아난다마이드 합성에 관여하고, 세균에서는 막 인지질의 음전하 중화, 막 단백질 구조 형성, 다약물 수송체 기능에 필수적이며, 식품 내 마이야르 반응을 통해 산화 스트레스 유발 및 혈관 질환, 당뇨병과의 연관성이 연구된다. - 인지질 - 포스파티딜콜린
포스파티딜콜린은 콜린, 글리세로인산, 지방산으로 구성된 인지질의 일종으로, 세포막 구성, 효소 작용 등 다양한 생리적 기능을 하며, 궤양성 대장염 치료에 효과가 있을 수 있지만, 치매 치료 효과는 불분명하고 동맥경화증을 증가시킬 수 있다. - 막생물학 - 포스파티딜에탄올아민
포스파티딜에탄올아민은 세포막의 주요 인지질로서 동물세포에서 심장 기능, 지단백질 분비, 혈액 응고, 아난다마이드 합성에 관여하고, 세균에서는 막 인지질의 음전하 중화, 막 단백질 구조 형성, 다약물 수송체 기능에 필수적이며, 식품 내 마이야르 반응을 통해 산화 스트레스 유발 및 혈관 질환, 당뇨병과의 연관성이 연구된다. - 막생물학 - 소포 (세포)
소포는 막으로 둘러싸인 작은 주머니 모양의 구조물로, 세포 내 물질 수송, 소화, 분비, 세포간 신호 전달, 세포 외부 물질 소화 및 배출 등 다양한 기능을 수행하며, 특히 세포외소포체는 질병과의 연관성으로 주목받고 있고, 클라트린, COPI, COPII, SNARE 단백질 등이 소포 형성 및 수송에 관여한다.
| 카르디올리핀 - [화학 물질]에 관한 문서 | |
|---|---|
| 명칭 | |
| IUPAC 이름 | 1,3-bis(sn-3’-phosphatidyl)-sn-글리세롤 |
| 일반 정보 | |
![]() | |
| ChEBI | 28494 |
| DrugBank | DB03429 |
| DrugBank 주석 | 특히 테트라스테아로일 카르디올리핀 |
| KEGG | C05980 |
2. 구조
카르디올리핀(CL)은 디포스파티딜글리세롤 지질의 일종으로, 두 개의 포스파티드산 부분이 글리세롤 골격에 연결된 이량체 구조를 갖는다. 4개의 알킬 사슬과 잠재적으로 2개의 음전하를 띨 수 있다. 대부분의 동물 조직에서 카르디올리핀은 18개의 탄소와 2개의 불포화 결합을 가진 지방족 알킬 사슬을 포함한다.[4]
분자 내 두 개의 인산기는 각각 양성자를 포획할 수 있다. pK1 = 3, pK2 > 7.5로 산도 수준이 달라, 생리적 조건(pH ≈ 7)에서는 주로 하나의 음전하를 띤다. 인산기의 수산기(-OH, -O-)는 글리세롤 수산기와 분자 내 수소 결합을 통해 안정적인 이환식 공명 구조를 형성하며, 이는 산화적 인산화에 기여한다.
2. 1. 카르디올리핀의 특이 구조
카르디올리핀(CL)은 일종의 디포스파티딜글리세롤 지질이다. 두 개의 포스파티드산 부분이 중심의 글리세롤 골격에 연결되어 이량체 구조를 형성한다. 따라서 4개의 알킬기를 가지며 잠재적으로 2개의 음전하를 띤다. 카르디올리핀에는 4개의 별개의 알킬 사슬이 있으므로 이 분자 종의 복잡성 가능성은 매우 크다. 그러나 대부분의 동물 조직에서 카르디올리핀은 각각 2개의 불포화 결합을 가진 18-탄소 지방족 알킬 사슬을 포함한다.[4] (18:2)4 아실 사슬 구성이 포유류 미토콘드리아 내막 단백질에 대한 CL의 높은 친화성에 중요한 구조적 요건이라는 것이 제안되었다.[5]분자 내에 두 개의 인산기가 있으므로 각각 하나의 양성자를 잡을 수 있다. 대칭 구조를 가지고 있지만, 하나의 인산기를 이온화하는 것은 두 개의 인산기를 모두 이온화하는 것과는 매우 다른 산도 수준에서 발생한다: pK1 = 3 및 pK2 > 7.5. 따라서 정상적인 생리적 조건(pH가 약 7 정도)에서 분자는 단 하나의 음전하만 띨 수 있다. 인산기의 수산기(–OH 및 –O−)는 중심 글리세롤의 수산기와 안정적인 분자 내 수소 결합을 형성하여 이환식 공명 구조를 형성한다. 이 구조는 하나의 양성자를 가두는데, 이는 산화적 인산화에 매우 도움이 된다.
머리 부분이 이러한 조밀한 이환식 구조를 형성하기 때문에, 머리 부분의 면적은 4개의 아실 사슬로 구성된 큰 꼬리 부분에 비해 상당히 작다. 이러한 특수한 구조를 기반으로, 형광 미토콘드리아 지표인 노닐 아크리딘 오렌지(NAO)가 1982년에 도입되었으며,[7] 이후 CL에 결합하여 미토콘드리아를 표적으로 하는 것으로 밝혀졌다. NAO는 카르디올리핀의 작은 머리와 큰 꼬리 구조를 보완하고 고도로 정렬된 방식으로 배열될 수 있는 매우 큰 머리와 작은 꼬리 구조를 가지고 있다.[8]

2. 2. 카르디올리핀 정량 및 검출
카르디올리핀(CL) 종의 검출, 정량화 및 국소화는 미토콘드리아 기능 장애 및 여러 인간 질환의 병태 생리학적 메커니즘을 조사하는 데 유용한 도구이다. 카르디올리핀은 일반적으로 액체 크로마토그래피를 사용하여 측정하며, 이는 질량 분석법, 질량 분석 이미징, 샷건 지질체학, 이온 이동성 분광법, 형광 측정법, 방사성 동위원소 표지법과 결합된다.[12] 따라서 분석 방법의 선택은 실험 질문, 세부 수준 및 필요한 민감도에 따라 달라진다.3. 대사
카르디올리핀의 생합성 경로는 진핵생물과 원핵생물에서 차이가 있다.
3. 1. 진핵생물의 카르디올리핀 합성
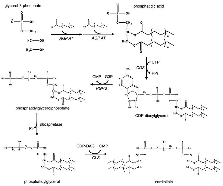
진핵생물에서 효모, 식물 및 동물과 같은 카르디올리핀 생합성 과정은 미토콘드리아에서 일어나는 것으로 여겨진다. 첫 번째 단계는 글리세롤-3-인산에 글리세롤-3-인산 아실트랜스퍼라제가 아실화되는 것이다. 그런 다음 아실글리세롤-3-인산은 다시 아실화되어 포스파티드산(PA)을 형성한다. CDP-DAG 합성 효소(CDS) (포스파티데이트 시티딜릴트랜스퍼라제)의 도움으로 PA는 시티딘 디포스페이트-디아실글리세롤(CDP-DAG)로 전환된다. 다음 단계는 PGP 합성 효소에 의해 CDP-DAG를 포스파티딜글리세롤 인산(PGP)으로 전환한 다음 PTPMT1 [13]에 의한 탈인산화로 PG를 형성하는 것이다. 마지막으로, CDP-DAG 분자는 미토콘드리아에 국한된 효소 카르디올리핀 합성 효소(CLS)에 의해 촉매되어 PG에 결합하여 카르디올리핀 1분자를 형성한다.[2][3][14]3. 2. 원핵생물의 카르디올리핀 합성
세균과 같은 원핵생물에서 디포스파티딜글리세롤 합성효소는 하나의 포스파티딜글리세롤의 포스파티딜 부분을 다른 포스파티딜글리세롤의 자유로운 3'-수산기에 전달하는 반응을 촉매하며, 이때 하나의 글리세롤 분자가 제거된다. 이는 포스포리파아제 D와 관련된 효소의 작용을 통해 일어난다. 이 효소는 일부 생리적 조건 하에서 역반응을 통해 카르디올리핀을 제거할 수 있다.[1]3. 3. 카르디올리핀의 이화 작용
카르디올리핀의 이화 작용은 인산화효소 A2(PLA)의 촉매 작용으로 지방 아실기를 제거함으로써 일어날 수 있다. 미토콘드리아 내의 인산화효소 D(PLD)는 카르디올리핀을 인산 포스파티드산으로 가수분해한다.[15]4. 기능
카르디올리핀(CL)은 미토콘드리아 내막에서 여러 중요한 기능을 수행한다. 4개의 아실 사슬과 작은 머리 부분으로 구성된 독특한 구조를 통해 미토콘드리아 내막에 양성자 트랩을 형성하여 산화적 인산화 과정에서 양성자 풀을 국소화하고 막 사이 공간의 pH 변화를 최소화한다. 이 이중 고리 구조는 막 근처의 pH를 유지하기 위해 양성자를 방출하거나 흡수하는 전자 완충 풀 역할을 한다.
카르디올리핀의 구조는 형광 미토콘드리아 지표인 노닐 아크리딘 오렌지(NAO)와 결합하여 미토콘드리아를 표적하는데 활용된다. NAO는 카르디올리핀의 작은 머리와 큰 꼬리 구조를 보완하여 고도로 정렬된 방식으로 배열될 수 있다.[8]
또한 카르디올리핀은 다음과 같은 기능도 수행한다.
- 콜레스테롤의 외막에서 내막으로의 이동[21]
- 미토콘드리아 콜레스테롤 측쇄 절단을 활성화[21]
- 미토콘드리아 기질로의 단백질 수송[21]
- 항응고 기능[21]
- 알파-시누클레인 조절[21] (이 과정의 오작동은 파킨슨병의 원인이 될 수 있다.)
4. 1. 응집 구조 조절
pH 변화 및 2가 양이온의 존재는 카르디올리핀의 구조적 변화를 유발할 수 있다. 카르디올리핀은 다양한 형태의 응집체를 보인다. 칼슘(Ca2+) 또는 다른 2가 양이온이 존재할 때 카르디올리핀은 층상 구조에서 육각형 (La-HII) 상전이를 유도할 수 있다. 이는 막 융합과 밀접한 관련이 있는 것으로 여겨진다.[16]4. 2. 4차 구조 형성 촉진
시토크롬 c 산화 효소(복합체 IV)는 미토콘드리아와 세균에서 발견되는 거대한 막횡단 단백질 복합체로, 미토콘드리아 내막 또는 세균 막에 위치한 호흡 전자 전달계의 마지막 효소이다. 이 효소는 완전한 효소 기능을 유지하기 위해 두 개의 관련된 카르디올리핀(CL) 분자를 필요로 한다. 4개의 시토크롬 c 분자 각각에서 전자를 받아 한 분자의 산소 분자로 전달하여 분자 산소를 두 분자의 물 분자로 변환한다.시토크롬 bc1(복합체 III) 또한 4차 구조와 기능적 역할을 유지하기 위해 카르디올리핀이 필요하다.[17] 산화적 인산화 기구의 복합체 V 또한 카르디올리핀에 대한 높은 결합 친화성을 보이며, 복합체 V 분자당 4개의 카르디올리핀 분자와 결합한다.[18]

4. 3. 세포자멸사 유발
카르디올리핀이 외부 미토콘드리아 막으로 분포되면, 사이토크롬 c (cyt c) 방출, Caspase-8 활성화, MOMP 유도 및 NLRP3 인플라마솜 활성화를 통해 세포 자멸사를 유발한다는 증거가 있다.[19] 세포 자멸사 동안, cyt c는 미토콘드리아의 내부 막 공간에서 세포질로 방출된다. 그런 다음 cyt c는 소포체의 IP3 수용체에 결합하여 칼슘 방출을 자극하고, 이로 인해 다시 cyt c의 방출을 유발한다. 칼슘 농도가 독성 수준에 도달하면 세포가 죽게 된다. 사이토크롬 c는 미토콘드리아에서 세포 자멸사 인자를 방출하여 세포 자멸사에 역할을 하는 것으로 생각된다.[20]카르디올리핀 특이적 산소화 효소는 지질의 구조 변화를 초래할 수 있는 CL 과산화물을 생성한다. 산화된 CL은 내부 막에서 외부 막으로 이동한 다음, cyt c를 방출하는 투과성 기공을 형성하는 데 도움을 준다.

4. 4. 산화적 인산화에서 양성자 트랩 역할
카르디올리핀(CL)은 미토콘드리아 막 내에 양성자 트랩을 형성하여 산화적 인산화 과정에서 양성자 풀을 국소화하고 미토콘드리아 막 사이 공간의 pH 변화를 최소화하는 역할을 한다.카르디올리핀의 이러한 기능은 독특한 구조 덕분이다. 카르디올리핀은 음전하를 띠면서 이중 고리 구조 안에 양성자를 가둘 수 있다. 이 이중 고리 구조는 막 근처의 pH를 유지하기 위해 양성자를 방출하거나 흡수하는 전자 완충 풀 역할을 한다. 즉, 미토콘드리아 내막에 위치한 카르디올리핀은 양성자를 효과적으로 가두어 pH 변화를 최소화하고, 결과적으로 ATP 합성을 돕는다.
4. 5. 기타 기능
카르디올리핀은 다음과 같은 다양한 기능을 수행한다.5. 임상적 의의
카르디올리핀(CL) 대사 이상 및 함량 변화는 신경 질환, 암, 심혈관 질환, 대사 질환 등 다양한 질병과 관련이 있다는 증거가 늘고 있다.[12] 이러한 질환에서 카르디올리핀 프로필 이상이 자주 나타나면서, 정성적·정량적 진단이 중요해졌다.
바세르만 반응에 사용되는 소 심장 추출 카르디올리핀은 매독 진단에 쓰이지만, 전신성 홍반성 루푸스, 말라리아, 결핵 등 다른 질환에서도 증가할 수 있어 특이적이지 않다. 항카르디올리핀 항체는 10대 후반부터 재발성 혈전증을 겪거나 반복적인 자연 유산을 경험하는 젊은 여성에게서 주로 발견된다. 만성 피로 증후군 환자에게서도 이 항체가 발견될 수 있다.[40] 인간 면역 결핍 바이러스(HIV-1)의 경우, 외피 당단백질 특정 영역에 대한 항체가 카르디올리핀과 반응하여 백신 개발에 어려움을 겪고 있다.[37]
5. 1. 대사 질환
바르트 증후군, 복합 말론산뇨증 및 메틸말론산뇨증(CMAMMA), 탕제병에서 카르디올리핀 대사 이상이 나타난다.5. 1. 1. 바르트 증후군
바르트 증후군은 1970년대에 영아 사망을 유발하는 것으로 인식된 희귀 유전 질환이다. 이 질환은 타파진 유전자 돌연변이로 인해 발생하며, 타파진은 카르디올리핀의 생합성에 관여하는 효소이다. 타파진은 진핵생물에서 PC의 리놀레산을 모노리소카르디올리핀으로 전달하여 CL 아실 사슬을 재형성함으로써 카르디올리핀 합성에 필수적인 역할을 한다.[22] 타파진 돌연변이는 카르디올리핀 재형성을 불충분하게 만든다. 그러나 세포가 이를 보상하여 ATP 생산량은 정상 세포와 유사하거나 더 높다.[23]이 형질에 대해 이형접합체인 여성은 영향을 받지 않는다. 바르트 증후군 환자는 비정상적인 미토콘드리아를 가지고 있으며, 심근증과 전반적인 쇠약이 흔하게 나타난다.
5. 1. 2. 복합 말론산뇨증 및 메틸말론산뇨증 (CMAMMA)
ACSF3 결핍으로 인한 대사 질환인 복합 말론산뇨증 및 메틸말론산뇨증(CMAMMA)에서는 손상된 미토콘드리아 지방산 합성(mtFAS)의 결과로 복합 지질의 조성이 변화하며, 예를 들어 카르디올리핀의 함량이 크게 증가한다.[24][25]5. 1. 3. 탕제병
탕제병은 HDL 콜레스테롤의 혈장 수치가 매우 낮고 조직 내 콜레스테롤 에스터의 축적과 심혈관 질환 발병 위험 증가가 특징이다.[26] 바르트 증후군과는 달리 탕제병은 주로 카르디올리핀(CL)의 비정상적인 생산 증가로 인해 발생한다. 연구에 따르면 탕제병 환자의 카르디올리핀 수치가 3~5배 증가하는 것으로 나타났다.[27] 카르디올리핀 수치가 증가하면 콜레스테롤 산화가 촉진되고, 그 결과 옥시스테롤의 생성이 증가하여 콜레스테롤 유출이 증가한다. 이 과정은 세포에서 과도한 콜레스테롤을 제거하는 탈출 메커니즘으로 작용할 수 있다.5. 2. 파킨슨병 및 알츠하이머병
산화 스트레스와 지질 과산화는 파킨슨병의 흑색질에서 신경 세포 손실과 미토콘드리아 기능 장애를 유발하는 요인으로 여겨지며, 알츠하이머병 발병 초기에도 역할을 할 수 있다.[28][29] 뇌의 카르디올리핀(CL) 함량은 노화와 함께 감소하며,[30] 쥐의 뇌에 대한 최근 연구에 따르면 이는 자유 라디칼 스트레스에 노출된 미토콘드리아의 지질 과산화로 인한 것이다. 다른 연구에서는 카르디올리핀 생합성 경로가 선택적으로 손상되어 카르디올리핀 함량이 20% 감소하고 구성이 변경될 수 있음을 보여준다.[31] 이는 전자 전달 연쇄의 복합체 I/III 활성 감소와 관련이 있으며, 파킨슨병 발병의 중요한 요인으로 여겨진다.[32]5. 3. 비알코올 지방간 질환 및 심부전
비알코올 지방간 질환[33] 및 심부전[34]에서 미토콘드리아 기능 장애가 발생하면 카르디올리핀(CL) 수치가 감소하고 아실 사슬 구성이 변화하는 현상이 관찰된다고 보고되었다. 그러나 노화 및 허혈/재관류에서의 카르디올리핀의 역할은 여전히 논란의 여지가 있다.5. 4. 당뇨병
당뇨병 환자는 일반인보다 심장 질환 발병률이 두 배 높다. 당뇨병 환자는 심혈관 합병증이 더 이른 나이에 발생하고 조기 사망으로 이어지는 경우가 많아, 심장 질환은 당뇨병 환자의 주요 사망 원인이다. 심장 내 카르디올리핀은 당뇨병 초기 단계에서 부족한 것으로 밝혀졌는데, 이는 당뇨병성 심장 근육에서 지질 소화 효소가 더 활성화되기 때문일 수 있다.[35]5. 5. 매독
바세르만 반응에서 항원으로 사용되는 소 심장 추출 카르디올리핀은 매독 진단에 사용되지만, 전신성 홍반성 루푸스, 말라리아, 결핵을 포함한 다른 많은 질환에서도 증가할 수 있으므로 이 검사는 특이적이지 않다.5. 6. HIV-1
인간 면역 결핍 바이러스(HIV-1) 외피 당단백질의 막 근접 영역(MPR)은 T 세포로의 바이러스 진입을 촉진하고 바이러스 균주 간에 매우 보존되어 있어 항체 표적으로서 특히 매력적이다.[36] 그러나 MPR 내 2F5, 4E10에 대한 두 항체가 카르디올리핀을 포함한 자가 항원과 반응한다는 것이 밝혀졌다. 따라서 이러한 항체가 백신 접종으로 유도되기는 어렵다.[37]5. 7. 암
오토 하인리히 바르부르크는 암이 미토콘드리아 호흡에 대한 돌이킬 수 없는 손상에서 기원한다고 처음 제안했지만, 이러한 손상의 구조적 기반은 여전히 불분명하게 남아 있다. 카르디올리핀(CL)은 거의 독점적으로 미토콘드리아 내막에서 발견되며 미토콘드리아 기능을 유지하는 데 매우 중요한 인지질이기 때문에, 카르디올리핀의 이상이 미토콘드리아 기능과 생체 에너지를 손상시킬 수 있다고 제안되었다. 바르부르크의 암 이론을 뒷받침하는 2008년에 발표된 쥐 뇌종양에 대한 연구[38]는 모든 종양에서 카르디올리핀 함량 또는 구성의 주요 이상을 보여준다.5. 8. 항인지질 증후군
항카르디올리핀 항체를 가진 환자는 10대 중후반부터 재발성 혈전증을 경험할 수 있다. 이러한 혈전증은 간정맥이나 신정맥과 같이 비교적 드물게 혈전증이 발생하는 혈관에서도 발생할 수 있다. 이러한 항체는 대개 반복적인 자연 유산을 겪는 젊은 여성에게서 발견된다. 항카르디올리핀 매개 자가면역 질환에서는 인지 작용에 아포지단백 H에 대한 의존성이 있다.[39]5. 9. 기타 항카르디올리핀 질환
만성 피로 증후군 환자에게서 항카르디올리핀 항체가 발견될 수 있다.[40]5. 9. 1. 만성 피로 증후군
만성 피로 증후군은 원인이 밝혀지지 않은 쇠약성 질환으로, 급성 바이러스 감염 후에 종종 발생한다. 한 연구에 따르면, 만성 피로 증후군 환자의 95%에서 항-카르디올리핀 항체가 발견된다.[40]참조
[1]
논문
Isolation and purification of a serologically active phospholipid from beef heart
[2]
논문
Cardiolipin synthase of Arabidopsis thaliana
2005-04
[3]
간행물
Characterization of the Cardiolipin Synthase from Arabidopsis thaliana
http://darwin.bth.rw[...]
RWTH-Aachen University
2011-07-11
[4]
논문
Mitochondrial cardiolipin in diverse eukaryotes. Comparison of biosynthetic reactions and molecular acyl species
1993-03
[5]
논문
Relationship between lipid saturation and lipid-protein interaction in liver mitochondria modified by catalytic hydrogenation with reference to cardiolipin molecular species
1990-01
[6]
논문
Membrane curvature induces cardiolipin sorting
2019-06-20
[7]
논문
"[The fluorescent staining of mitochondria in living HeLa- and LM-cells with new acridine dyes (author's transl)]"
[8]
논문
Cardiolipin: a proton trap for oxidative phosphorylation
2002-09
[9]
논문
Use of the fluorescent dye 10-N-nonyl acridine orange in quantitative and location assays of cardiolipin: a study on different experimental models
2004-05
[10]
논문
Intracellular distribution of the fluorescent dye nonyl acridine orange responds to the mitochondrial membrane potential: implications for assays of cardiolipin and mitochondrial mass
2002-07
[11]
논문
Staining of mitochondrial membranes with 10-nonyl acridine orange, MitoFluor Green, and MitoTracker Green is affected by mitochondrial membrane potential altering drugs
2000-03
[12]
논문
Advances in methods to analyse cardiolipin and their clinical applications
2022-12
[13]
논문
Mitochondrial phosphatase PTPMT1 is essential for cardiolipin biosynthesis
2011-06
[14]
논문
Cardiolipin, the heart of mitochondrial metabolism
2008-08
[15]
서적
Phospholipids handbook
CRC Press
1993-08-02
[16]
논문
Membrane fusion and the lamellar-to-inverted-hexagonal phase transition in cardiolipin vesicle systems induced by divalent cations
1999-10
[17]
논문
Phospholipase digestion of bound cardiolipin reversibly inactivates bovine cytochrome bc1
1999-07
[18]
논문
Tightly associated cardiolipin in the bovine heart mitochondrial ATP synthase as analyzed by 31P nuclear magnetic resonance spectroscopy
1990-11
[19]
논문
Role of cardiolipin peroxidation and Ca2+ in mitochondrial dysfunction and disease
2009-06
[20]
논문
Peroxidase activity and structural transitions of cytochrome c bound to cardiolipin-containing membranes
2006-04
[21]
논문
Cardiolipin exposure on the outer mitochondrial membrane modulates α-synuclein
2018-02
[22]
논문
The enzymatic function of tafazzin
2006-12
[23]
논문
Barth syndrome: cellular compensation of mitochondrial dysfunction and apoptosis inhibition due to changes in cardiolipin remodeling linked to tafazzin (TAZ) gene mutation
2013-08
[24]
논문
The emerging role of the mitochondrial fatty-acid synthase (mtFASII) in the regulation of energy metabolism
2019-11
[25]
논문
Brain metabolism and neurological symptoms in combined malonic and methylmalonic aciduria
2020-01
[26]
논문
Tangier disease and ABCA1
2000-12
[27]
논문
Accumulation of cardiolipin and lysocardiolipin in fibroblasts from Tangier disease subjects
2001-07
[28]
논문
Mitochondria, oxidative damage, and inflammation in Parkinson's disease
2003-06
[29]
논문
Oxidative stress in Parkinson's disease
[30]
논문
Lipid composition in synaptic and nonsynaptic mitochondria from rat brains and effect of aging
1992-08
[31]
논문
Mitochondrial lipid abnormality and electron transport chain impairment in mice lacking alpha-synuclein
2005-11
[32]
논문
Molecular pathways of neurodegeneration in Parkinson's disease
2003-10
[33]
논문
Mitochondrial dysfunction in rat with nonalcoholic fatty liver Involvement of complex I, reactive oxygen species and cardiolipin
2007-10
[34]
논문
Loss of cardiac tetralinoleoyl cardiolipin in human and experimental heart failure
2007-07
[35]
논문
Alterations in myocardial cardiolipin content and composition occur at the very earliest stages of diabetes: a shotgun lipidomics study
2007-05
[36]
논문
Immunology. Close to the edge: neutralizing the HIV-1 envelope
https://zenodo.org/r[...]
2005-06
[37]
논문
Comprehensive cross-clade neutralization analysis of a panel of anti-human immunodeficiency virus type 1 monoclonal antibodies
2004-12
[38]
논문
Cardiolipin and electron transport chain abnormalities in mouse brain tumor mitochondria: lipidomic evidence supporting the Warburg theory of cancer
2008-12
[39]
논문
Anti-phospholipid antibodies are directed against a complex antigen that includes a lipid-binding inhibitor of coagulation: beta 2-glycoprotein I (apolipoprotein H)
1990-06
[40]
논문
Anticardiolipin antibodies in the sera of patients with diagnosed chronic fatigue syndrome
2009
본 사이트는 AI가 위키백과와 뉴스 기사,정부 간행물,학술 논문등을 바탕으로 정보를 가공하여 제공하는 백과사전형 서비스입니다.
모든 문서는 AI에 의해 자동 생성되며, CC BY-SA 4.0 라이선스에 따라 이용할 수 있습니다.
하지만, 위키백과나 뉴스 기사 자체에 오류, 부정확한 정보, 또는 가짜 뉴스가 포함될 수 있으며, AI는 이러한 내용을 완벽하게 걸러내지 못할 수 있습니다.
따라서 제공되는 정보에 일부 오류나 편향이 있을 수 있으므로, 중요한 정보는 반드시 다른 출처를 통해 교차 검증하시기 바랍니다.
문의하기 : help@durumis.com
