지방산 합성
"오늘의AI위키"의 AI를 통해 더욱 풍부하고 폭넓은 지식 경험을 누리세요.
1. 개요
지방산 합성은 아세틸-CoA와 말로닐-CoA를 출발 물질로 하여 포화 지방산, 불포화 지방산, 분지형 지방산 등 다양한 지방산을 생합성하는 과정을 의미한다. 포화 지방산은 지방산 합성 효소 I(FASI) 또는 II(FASII)에 의해 6가지 반복 반응을 통해 생성되며, 불포화 지방산은 혐기성 또는 호기성 경로를 통해 합성된다. 홀수 사슬, 분지형, 고리형 지방산도 특정 경로를 통해 생성된다. 고세균은 이소프레노이드를 사용하며, 무기적 지방산 합성 가능성도 제기된다. 지방산 합성 과정의 이상은 다양한 대사 질환을 유발할 수 있다.
더 읽어볼만한 페이지
- 생합성 - 단백질 생합성
단백질 생합성은 DNA의 유전 정보를 바탕으로 전사, 번역, 번역 후 과정을 거쳐 단백질을 합성하는 과정이다. - 생합성 - 엔올
엔올은 C=C-OH 연결성을 가진 비닐 알코올 유도체로, 케토-엔올 호변이성질화를 통해 형성되며, 엔올레이트 음이온은 친핵체로 작용하고 일부는 레덕톤으로 존재하는 유기화학 및 생화학적으로 중요한 물질이다. - 지방산 - 발레르산
발레르산은 5개의 탄소 원자를 가진 카복실산으로 불쾌한 냄새가 나는 무색 액체이며, 휘발성 에스터 제조에 사용되어 향수, 화장품, 식품 등에 활용되고 발레리안 뿌리 등에서 발견된다. - 지방산 - 아라키드산
아라키드산은 탄소 20개로 이루어진 포화 지방산으로, 땅콩 기름과 같은 식물성 기름에 많이 함유되어 있으며, 인체 내에서 세포막 구성, 신호 전달 물질의 전구체, 에이코사노이드 합성에 관여하고, 제약 산업에서 프로스타글란딘의 전구체로 사용되는 경제적 가치가 높은 물질이다. - 물질대사 - 아라키드산
아라키드산은 탄소 20개로 이루어진 포화 지방산으로, 땅콩 기름과 같은 식물성 기름에 많이 함유되어 있으며, 인체 내에서 세포막 구성, 신호 전달 물질의 전구체, 에이코사노이드 합성에 관여하고, 제약 산업에서 프로스타글란딘의 전구체로 사용되는 경제적 가치가 높은 물질이다. - 물질대사 - 카프릴산
카프릴산은 8개의 탄소로 이루어진 포화 지방산으로, 식품, 향료, 소독제 등 다양한 산업에 사용되며, 식욕 촉진, 항균 작용, 간질 치료 등 의학적 용도로도 연구된다.
| 지방산 합성 | |
|---|---|
| 지방산 합성 | |
| 과정 | 아세틸-CoA와 NADPH로부터 지방산을 생성하는 생화학적 과정 |
| 관련 | 탄수화물 대사 |
2. 포화 지방산 합성
포화 지방산 합성은 6가지 반복 반응을 통해 진행되며, 16개의 탄소를 가진 팔미트산이 생성될 때까지 진행된다.[2][3]
제시된 그림은 미생물에서 지방산이 어떻게 합성되는지 보여주며, ''대장균''에서 발견되는 효소를 나열한다. 이러한 반응은 지방산 합성 효소 II (FASII)에 의해 수행되며, 일반적으로 하나의 복합체로 작용하는 여러 효소를 포함한다. FASII는 원핵생물, 식물, 곰팡이, 기생충뿐만 아니라 미토콘드리아에도 존재한다.[4]
동물과 효모 같은 일부 곰팡이에서는 지방산 합성 효소 I (FASI)에서 이 반응이 일어나는데, FASII는 FASI보다 효율이 낮지만, 조기 사슬 종결을 통해 "중쇄" 지방산을 포함한 더 많은 분자를 형성할 수 있다.[4]
16:0 탄소 지방산(팔미트산)이 생성된 후, 불포화 및/또는 신장이 일어날 수 있다. 스테아르산(18:0)으로의 신장은 주로 소포체(ER)에서 여러 막 결합 효소에 의해 일어난다. 신장 과정은 FAS에 의해 수행되는 단계와 기본적으로 동일하지만, 신장의 4가지 주요 연속 단계는 물리적으로 연관될 수 있는 개별 단백질에 의해 수행된다.[5][6]
| 단계 | 효소 | 반응 | 설명 |
|---|---|---|---|
| (a) | 아세틸-CoA:ACP 아실전이효소 | 아세틸-CoA를 말로닐-ACP와의 반응에 활성화 | |
| (b) | 말로닐-CoA:ACP 아실전이효소 | 말로닐-CoA를 아세틸-ACP와의 반응에 활성화 | |
| (c) | 3-케토아실-ACP 합성효소 | ACP 결합 아실 사슬을 사슬 연장 말로닐-ACP와 축합 | |
| (d) | 3-케토아실-ACP 환원효소 | 3 케토기를 수산기로 환원 | |
| (e) | 3-하이드록시아실 ACP 탈수소효소 | 수산기로부터 물을 제거 | |
| (f) | 에노일-ACP 환원효소 | C2-C3 이중 결합을 환원 | |
| 약어: ACP – 아실 운반체 단백질, CoA – 조효소 A, NADP – 니코틴아미드 아데닌 디뉴클레오타이드 인산. | |||
지방 합성에서 환원제는 NADPH이며, NAD는 베타 산화(지방산을 아세틸-CoA로 분해하는 과정)에서 산화제이다. NADPH는 생합성 반응에 사용되고, NADH는 에너지 생성 반응에서 생성된다.[7] NADPH는 말산이 "NADP+-연결 말산 효소"에 의해 산화적 탈카르복실화되어 피루브산을 형성할 때 CO2와 함께 생성된다. 또한 오탄당 인산 경로를 통해 포도당이 리보스로 전환될 때도 NADPH가 생성된다.[7]
자연계에 존재하는 포화 및 불포화 지방산은 대부분 짝수 탄소수로 분지되지 않은 직쇄형 지방산이다. 그러나 종에 따라 분지 지방산으로 세포막의 대부분이 구성되는 경우도 있다.[42]
2. 1. 직쇄 포화 지방산 합성
직쇄 포화 지방산 합성은 대부분의 생물체에서 발견되는 주요 지방산 합성 경로이다. 이 과정은 아세틸-CoA와 말로닐-CoA를 기본 단위체로 사용하여 탄소 사슬을 연장한다. 사람의 경우, 탄수화물은 해당과정을 거쳐 피루브산으로 변환되고, 미토콘드리아에서 피루브산 탈수소효소 복합체에 의해 아세틸-CoA가 생성된다. 미토콘드리아에서 생성된 아세틸-CoA는 구연산 형태로 세포질로 운반되어 지방산 합성에 사용된다.[7]직쇄 지방산 합성은 6가지 반복 반응을 통해 진행되며, 16개의 탄소를 가진 팔미트산이 생성될 때까지 진행된다.[2][3] 이러한 반응은 지방산 합성 효소 II (FASII)에 의해 수행되며, 일반적으로 하나의 복합체로 작용하는 여러 효소를 포함한다. FASII는 원핵생물, 식물, 곰팡이, 기생충뿐만 아니라 미토콘드리아에도 존재한다.[4] 동물과 효모 등 일부 곰팡이에서는 지방산 합성 효소 I (FASI)에서 이 반응이 일어나는데, FASII는 FASI보다 효율이 낮지만, 조기 사슬 종결을 통해 "중쇄" 지방산을 포함한 더 많은 분자를 형성할 수 있다.[4]
16:0 탄소 지방산(팔미트산)이 생성된 후, 신장 등 여러 변형이 일어날 수 있다. 스테아르산(18:0)으로의 신장은 주로 소포체에서 여러 막 결합 효소에 의해 일어난다.[5][6] 지방산 합성에서 환원제는 NADPH이며, NAD는 베타 산화에서 산화제이다.[7] NADPH는 사과산이 "NADP+-연결 말산 효소"에 의해 산화적 탈카르복실화되어 피루브산을 형성할 때 생성되는 CO2와 오탄당 인산 경로에 의해 형성된다.[7]
사람에서 지방산은 탄수화물로부터 주로 간과 지방 조직에서, 그리고 수유 기간 동안 유선에서 형성된다. 당 분해에 의해 생성된 피루브산은 탄수화물을 지방산과 콜레스테롤로 전환하는 중요한 중간체이다.[7] 세포질 아세틸-CoA는 아세틸-CoA 카르복실화 효소에 의해 말로닐-CoA로 카르복실화되는데, 이는 지방산 합성에 관여하는 첫 번째 단계이다.[2][9]
자연계에 존재하는 포화 및 불포화 지방산은 대부분 짝수 탄소수로 분지되지 않은 직쇄형 지방산이다. 그러나 종에 따라 분지 지방산으로 세포막의 대부분이 구성되는 경우도 있다.[42] 지방산 합성의 출발 물질은 아세틸-CoA(탄소수 2)와 말로닐-CoA(탄소수 3)이다. 아세틸-CoA 및 말로닐-CoA는 먼저 아실 캐리어 단백질(ACP)과 결합하여 활성화된다. 따라서 실제 지방산 합성 반응은 아세틸-ACP 및 말로닐-ACP가 담당한다.
- 아세틸-CoA(C2) + CO2 + ATP → 말로닐-CoA(C3) + ADP + Pi
- 아세틸-CoA + ACP → 아세틸-ACP(C2) + SH-CoA
- 말로닐-CoA + ACP → 말로닐-ACP(C3) + SH-CoA
포화 지방산의 신장 반응은 4단계로 나뉘며, 아세틸 ACP(탄소수 2)를 출발 물질로 하여 말로닐 ACP(탄소수 3)가 순차적으로 축합(클라이젠 축합)해 가는 순환 회로를 구성한다. 축합 과정에서 1분자의 CO2가 방출되므로, 1사이클(아래의 4가지 반응)마다 탄소수는 2개씩 증가한다.
| 단계 | 설명 | 그림 | 효소 |
|---|---|---|---|
| 축합 반응 | 아세틸 ACP와 말로닐 ACP의 축합 반응으로 아세토아세틸ACP가 생성된다. | 400px | β-케토아실-ACP 신타제 |
| 아세토아세틸ACP의 환원 | 아세토아세틸ACP가 NADPH에 의해 D-3-히드록시부티릴ACP로 환원된다. | 400px | β-케토아실ACP 환원효소 |
| 탈수 | D-3-히드록시부티릴ACP가 탈수되어 크로토닐ACP가 된다. | 400px | 3-히드록시아실ACP 탈수소효소 |
| 크로토닐ACP의 환원 | 크로토닐ACP가 NADPH에 의해 환원되어 부티릴ACP가 생성된다. | 400px | 에노일ACP 환원효소 |
반응식은 다음과 같다.
# 아세틸ACP + 말로닐ACP → 아세토아세틸ACP(C4) + CO2 + ACP
# 아세토아세틸ACP + NADPH → 3-히드록시부티릴ACP(C4) + NADP+
# 3-히드록시부티릴ACP → 크로토닐ACP(C4) + H2O
# 크로토닐ACP + NADPH → 부티릴ACP(C4) + NADP+
# 부티릴ACP + 말로닐ACP → 카프릴ACP(C6) + ACP + CO2
5번째 반응은 1번째 반응과 같으며, 생성된 C4 부티릴ACP에 다음 말로닐ACP가 축합한다. 탄소 사슬의 신장은 탄소수 16의 팔미토일ACP까지 지속된다. 팔미토일ACP는 티오에스테라아제에 의해 C16 팔미트산과 ACP로 가수 분해된다.
팔미트산에 이르기까지의 중간 물질은 탄소수에 의존하지 않고 다음과 같이 표기한다.
- 3-옥소아실ACP: 신장 사이클 중 축합 반응에서 생기는 중간 물질 (아세토아세틸ACP가 최소 탄소수)
- 3-히드록시아실ACP: 1번째 환원 반응에서 생기는 중간 물질 (3-히드록시부티릴ACP)
- 에노일ACP: 탈수 반응에서 생기는 중간 물질 (크로토닐ACP)
- 아실ACP: 2번째 환원 반응에서 생기는 중간 물질 (부티릴ACP)
2. 1. 1. 지방산 합성 효소 (FAS)
지방산 합성 효소(FAS)는 포화 지방산 합성의 핵심 효소 복합체이다. FAS에는 I형(FASI)과 II형(FASII)의 두 가지 유형이 있다. 동물, 일부 균류(효모 등), 그리고 일부 세균(마이코박테리아 등)은 FAS I형을 가지는 반면, 그 외의 생물(대부분의 세균, 진핵생물 및 고세균)은 FAS II형을 가진다.[38] 두 FAS 모두 전자를 제공하는 물질로 NADPH를 이용한다.FAS I형은 하나의 거대한 단백질로, 아실 캐리어 단백질(ACP)에 의한 활성화, 신장 반응, 마지막 가수 분해에 필요한 모든 효소 기능을 가지고 있다. 각 기능을 담당하는 도메인이 단백질 내에 분산되어 있으며, 기질은 도메인 사이에서 순차적으로 전달된다. 아세틸트랜스퍼라제(AT)와 말로닐트랜스퍼라제(MT)는 FAS I형에서는 동일한 도메인(MAT 도메인)이 담당한다. 또한, ACP 자신도 FAS I형 안에 포함되어 있으며, FAS I형은 총 7개의 도메인으로 구성된다(ACP, MAT, KS, KR, DH, ER, TE).[38]
반면, FAS II형은 FAS I형의 각 도메인이 개별 효소로서 독립적으로 존재하며, 이들이 집합하여 복합체를 형성한다.[38] 대장균에서 발견되는 효소가 그 예시이다.
FAS I형과 FAS II형은 진화적으로 관련되어 있으며, 폴리케타이드 합성 효소(PKS)와도 관련되어 있다.[38] 반응 과정 자체는 FAS I형과 FAS II형에서 공통적이다. FAS I형은 FAS II형보다 효율이 떨어지지만, 탄소수 16 이하의 지방산(C12 라우린산이나 C14 미리스틴산)도 부생성물로 생성할 수 있다.[4]
FAS I형의 각 도메인과 FAS II형을 구성하는 개별 효소는 각각 상동적이다. 진화적으로 관련된 PKS도 유사한 도메인 구조와 반응 기구를 가지고 있으며, I형과 II형으로 나뉜다(PKS I과 PKS II). 따라서, FAS와 PKS의 진화적 기원은 하나이다. 동물의 FAS I형은 균류의 PKS I형에서, 균류 및 CMN 그룹 세균의 FAS I형은 세균의 FAS II형에서 각각 별개로 진화했다고 추측된다.[38]
FAS의 기질 특이성은 반드시 높지 않다. 예를 들어 대장균(''Escherichia coli'')의 FAS II형은 프로피오닐 CoA를 프라이머로 사용하면 홀수 탄소수의 지방산(C11, C13, C15)을 합성할 수 있다.[40]
FAS II형을 구성하는 개별 효소는 다음과 같다.
- ACP에 의한 활성화
- 아세틸트랜스퍼라제 (AT)
- 말로닐트랜스퍼라제 (MT)
- 신장 반응
- 3-케토아실신테아제 (KS)
- 3-케토아실환원효소 (KR)
- 3-히드록시아실데히드라타제 (DH)
- 에노일환원효소 (ER)
- 가수분해
- 티오에스테라제 (TE)
2. 1. 2. 팔미트산 이후의 합성
팔미트산(16:0 탄소 지방산)이 생성된 후, 신장 등 여러 변형이 일어날 수 있다. 스테아르산(18:0)으로의 신장은 주로 소포체(ER)에서 여러 막 결합 효소에 의해 일어난다. 신장 과정은 지방산 합성 효소(FAS)에 의해 수행되는 단계와 기본적으로 동일하지만, 신장의 4가지 주요 연속 단계는 물리적으로 연관될 수 있는 개별 단백질에 의해 수행된다.[5][6]탄소수 16개 이상의 지방산 연장 반응은 세포질 기질이 아닌, 주로 소포체에서 일어난다.[41] 한편, C14 이하의 단쇄·중쇄 포화 지방산(짝수 탄소수)은 팔미트산 등 장쇄 포화 지방산의 β 산화 또는 탄수화물의 발효 등으로 생성된다.
2. 2. 홀수 사슬 포화 지방산 합성
홀수 사슬 지방산은 탄소 원자가 홀수 개인 지방산을 말한다. 가장 흔한 홀수 사슬 지방산은 펜타데칸산(C15)과 헵타데칸산(C17)이다.[18] 짝수 사슬 지방산은 아세틸-CoA를 기본 단위로 합성되지만, 홀수 사슬 지방산은 프로피오닐-CoA를 사용하여 합성된다.[19]홀수 사슬 지방산은 짝수 사슬 지방산과 유사한 기전으로 지방산 생성효소(FAS)에 의해 합성된다. 홀수 사슬 지방산은 일부 반추동물이나 식물에서 발견되지만, 자연계에서 흔하지 않다. 아세틸 CoA(C2) 대신 프로피오닐 CoA (C3)를 프라이머로 사용하여 홀수 탄소수 포화 지방산(주로 C15 펜타데칸산과 C17 헵타데칸산)이 합성된다.[39] 프로피오닐 CoA는 홀수 사슬 지방산의 β 산화, 아미노산(메티오닌, 발린, 이소류신, 트레오닌) 분해, 콜레스테롤 분해 과정에서 생성된다.
2. 3. 분지형 포화 지방산 합성
Branched-chain fatty acid영어는 주로 세균에서 발견되는 지방산으로, 이소형(iso)과 안테이소형(anteiso)의 두 가지 뚜렷한 계열로 나뉜다. 방선균목은 투베르쿨로스테아르산을 형성하는 고유한 가지 사슬 지방산 합성 기작을 가지고 있다.가지 사슬 지방산 합성 시스템은 α-케토산을 프라이머로 사용한다. 이 시스템은 짧은 사슬 아실-CoA 에스테르를 프라이머로 사용하는 가지 사슬 지방산 합성효소와는 다르다.[26] α-케토산 프라이머는 아미노기 전이와 탈카복실화를 통해 생성된 발린, 류신, 아이소류신으로부터 유래하며, 각각 2-메틸프로파닐-CoA, 3-메틸부티릴-CoA, 2-메틸부티릴-CoA를 형성한다.[30]
- 발린에서 유래한 2-메틸프로파닐-CoA 프라이머는 14-메틸-펜타데칸산(아이소팔미트산)과 같은 짝수 iso-계열 지방산을 생성하도록 연장된다.
- 류신에서 유래한 3-메틸부티릴-CoA 프라이머는 13-메틸-테트라데칸산과 같은 홀수 iso-계열 지방산을 형성하는 데 사용될 수 있다.
- 아이소류신에서 유래한 2-메틸부티릴-CoA 프라이머는 12-메틸 테트라데칸산과 같은 홀수 탄소 원자를 포함하는 anteiso-계열 지방산을 형성하도록 연장된다.[24]
프라이머 전구체의 탈카복실화는 가지 사슬 α-케토산 탈카복실화효소(BCKA) 효소를 통해 일어난다. 지방산의 연장은 ''Escherichia coli''에서 말로닐-CoA를 사슬 연장제로 사용하여 직쇄 지방산을 생성하는 데 사용되는 것과 동일한 생합성 경로를 따른다.[25] 주요 최종 생성물은 12–17개의 탄소로 이루어진 가지 사슬 지방산이며, 그 구성은 많은 세균 종에서 균일하고 특징적인 경향이 있다.
'''BCKA 탈카복실화효소 및 α-케토산 기질의 상대적 활성'''
BCKA 탈카복실화효소는 사량체 구조(A2B2)의 두 개의 소단위체로 구성되며 가지 사슬 지방산 합성에 필수적이다. 이 효소는 발린, 류신, 아이소류신의 전이 아미노화에 의해 형성된 α-케토산의 탈카복실화를 담당하며 가지 사슬 지방산 합성에 사용되는 프라이머를 생성한다. 이 효소의 활성은 직쇄 기질보다 가지 사슬 α-케토산 기질에서 훨씬 높으며, Bacillus 종에서는 아이소류신 유래 α-케토-β-메틸발레르산에 대한 특이성이 가장 높고, 그 다음은 α-케토아이소카프로산 및 α-케토아이소발레르산 순이다.[2][25]
| 기질 | BCKA 활성 | CO2 생성 (nmol/min mg) | Km (μM) | Vmax (nmol/min mg) |
|---|---|---|---|---|
| L-α-케토-β-메틸-발레레이트 | 100% | 19.7 | <1 | 17.8 |
| α-케토아이소발레레이트 | 63% | 12.4 | <1 | 13.3 |
| α-케토아이소카프로에이트 | 38% | 7.4 | <1 | 5.6 |
| 피루베이트 | 25% | 4.9 | 51.1 | 15.2 |
'''사슬 길이 및 패턴 분포에 영향을 미치는 요인'''
α-케토산 프라이머는 일반적으로 12~17개의 탄소 길이를 갖는 가지 사슬 지방산을 생성하는 데 사용된다. 이러한 가지 사슬 지방산의 비율은 특정 세균 종 내에서 균일하고 일관된 경향이 있지만 말로닐-CoA 농도, 온도 또는 열안정성 인자(HSF)의 변화로 인해 변경될 수 있다. 이 모든 요인은 사슬 길이에 영향을 미칠 수 있으며, HSF는 특정 α-케토산 기질에 대한 BCKA 탈카복실화효소의 특이성을 변경하여 생성되는 가지 사슬 지방산의 비율을 변화시키는 것으로 나타났다. 말로닐-CoA 농도의 증가는 말로닐-CoA의 최적 농도(≈20μM)에 도달할 때까지 더 많은 C17 지방산의 생성으로 이어진다는 것이 밝혀졌다. 온도 감소는 또한 ''Bacillus'' 종에서 지방산 분포를 C17 지방산 쪽으로 약간 이동시키는 경향이 있다.[26]
또 다른 시스템은 분지 사슬 지방산 합성 시스템과 유사하게 작동하지만, α-케토산 대신 단쇄 카르복실산을 프라이머로 사용한다. 일반적으로 이 방법은 α-케토 프라이머를 사용하여 분지 사슬 지방산 시스템을 수행할 수 없는 박테리아에 의해 사용된다. 전형적인 단쇄 프라이머에는 아이소발레르산, 이소부티르산 및 2-메틸 부티르산이 포함된다. 일반적으로 이러한 프라이머에 필요한 산은 환경에서 섭취된다. 이는 반추위 박테리아에서 자주 관찰된다.[27]
전반적인 반응은 다음과 같다.
: 이소부티릴-CoA + 6 말로닐-CoA + 12 NADPH + 12 H+ → 이소팔미트산 + 6 CO2 + 12 NADP+ + 5 H2O + 7 CoA[26]
2. 4. 고리형 포화 지방산 합성

ω-알리사이클릭 지방산은 일반적으로 ω-말단에 프로필 또는 부티릴 고리 그룹을 가지고 있으며, 여러 종류의 세균에서 발견되는 주요 막 지방산 중 일부이다. ω-알리사이클릭 지방산을 만드는 데 사용되는 지방산 합성효소는 막 분지쇄 지방산 생산에도 사용된다. 주로 ω-알리사이클릭 지방산으로 구성된 막을 가진 세균에서 고리형 카르복실산-CoA 에스테르의 공급은 분지쇄 프라이머의 공급보다 훨씬 많다.[26] 고리형 프라이머의 합성은 잘 알려져 있지 않지만, 그 기작은 당을 시키미산으로 전환한 다음, ω-알리사이클릭 지방산 합성을 위한 프라이머 역할을 하는 사이클로헥실카르복실산-CoA 에스테르로 전환하는 것을 포함한다고 제안되었다.[27]
탄화수소 고리를 가진 지방산은 일부 식물과 세균에서 발견된다. 사이클로프로판 고리를 가진 지방산은 불포화 지방산 내 불포화 결합에 메틸기를 도입하여 합성된다(식물, 대장균 등).[47] 한편, 혐기성 암모니아 산화(Anammox)를 수행하는 플랑크토마이세스문의 세균(Brocadiales)은 사이클로부탄 고리가 여러 개 축합된 래더레인산(Ladderane 참조)이라고 불리는 특수한 지방산과 래더레인산으로 구성된 글리세로지질을 가진다.[48] 래더레인산의 생합성 경로는 현재까지 밝혀지지 않았지만, 인공적인 화학 합성 방법은 알려져 있다.
사이클로부탄 이상의 탄소수 고리를 가진 지방산도 알려져 있다.[42] ω-알리사이클릭 지방산(ω-alicyclic fatty acid)은 ω-말단에 탄소수 4-7의 탄화수소 고리를 가진 지방산이다. 대부분의 경우, 사이클로헥산 고리(탄소수 6)를 가지며 ω-사이클로헥실 지방산(ω-cyclohexyl fatty acid)이라고 불린다. 오른쪽 그림은 직쇄 부분의 탄소수가 11인 ω-사이클로헥실 지방산이다. ω-알리사이클릭 지방산의 생합성은 FAS에 의한 분지 지방산의 합성과 같으며, 프라이머로 환상 구조를 가진 화합물이 사용되고 있다.
3. 불포화 지방산 합성
불포화 지방산은 탄소 사슬에 하나 이상의 이중 결합을 가진 지방산으로, 세포막 유동성 유지, 신호 전달 등 중요한 기능을 수행한다. 불포화 결합의 위치는 카르보닐기(Δ) 또는 메틸기 말단(ω)에서부터 센 탄소 번호로 표시한다. 자연에서 발견되는 불포화 지방산은 대부분 짝수 탄소수를 가지는 직쇄 시스(cis)형이다. 예를 들어 탄소수 18인 지방산의 직쇄에 이중 결합을 하나 가질 경우, 18:1로 표기한다(올레산).[17]
지방산 불포화는 불포화 지방산 합성을 위한 가장 일반적인 방법으로, 모든 진핵생물과 일부 원핵생물에서 활용된다. 이 경로는 불포화효소를 사용하여 포화 지방산으로부터 불포화 지방산을 합성한다.[17] 모든 불포화효소는 산소를 필요로 하며, 불포화 반응은 산화 과정임에도 불구하고 궁극적으로 NADH를 소모한다. 불포화효소는 기질 내에서 유도하는 이중 결합에 특이적이다. 예를 들어, ''바실루스 서브틸리스''에서 불포화효소 Δ5-Des는 Δ5 위치에서 시스 이중 결합을 유도하며,[2][17] ''사카로마이세스 세레비지애''는 Δ9에서 시스 이중 결합을 유도하는 Ole1p라는 하나의 불포화효소를 가진다.[2]
포유류에서 호기적 불포화는 NADH-사이토크롬 b5 환원 효소, 사이토크롬 b5, 불포화효소의 세 가지 막 결합 효소 복합체에 의해 촉매된다. 이 효소들은 분자 산소()가 포화 지방 아실-CoA 사슬과 상호 작용하여 이중 결합과 두 분자의 물()을 형성하도록 한다. 이때 전자는 NADH + H+에서 두 개, 지방산 사슬의 단일 결합에서 두 개가 나온다.[7] 그러나 포유류 효소는 지방산 사슬에서 C-9를 넘어서는 탄소 원자에 이중 결합을 도입할 수 없다.[7] 따라서 리놀레산, α-리놀렌산 및 아라키돈산은 필수 지방산으로, 반드시 음식을 통해 섭취해야 한다.[7]
3. 1. 혐기성 합성
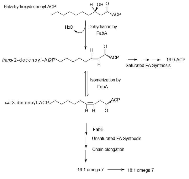
많은 세균은 산소 분자를 필요로 하지 않는 혐기성 불포화 지방산 합성 경로를 가지고 있다. 예를 들어, 대장균(*Escherichia coli*)에서는 포화 지방산 합성의 중간 생성물인 C10 포화 지방산(히드록시데카노일 ACP)에 불포화 결합이 도입된다. 도입 후에는 다시 탄소 사슬의 신장 반응으로 돌아가 C16 및 C18 불포화 지방산(16:1ω7 및 18:1ω7)이 합성된다. 이 반응은 FabA 및 FabB 두 효소에 의해 촉매된다.[14] 혐기성 합성 경로는 대부분의 세균에 분포하며, 호기성 경로보다 기원이 오래된 것으로 추측된다.
대부분의 박테리아는 불포화 지방산을 합성하기 위해 혐기적 경로를 사용한다. 이 경로는 산소를 사용하지 않으며, 일반적인 지방산 합성 기구를 사용하여 연장하기 전에 이중 결합을 삽입하는 효소에 의존한다. ''대장균''에서 이 경로는 잘 알려져 있다.
- FabA는 β-히드록시데카노일-ACP 탈수소 효소로, 10탄소 포화 지방산 합성 중간체(β-히드록시데카노일-ACP)에 특이적이다.
- FabA는 β-히드록시데카노일-ACP의 탈수를 촉매하여 물을 방출하고 메틸 말단에서 세어서 C7과 C8 사이에 이중 결합을 삽입한다. 이것은 트랜스-2-데세노일 중간체를 생성한다.
- 트랜스-2-데세노일 중간체는 FabB에 의해 정상적인 포화 지방산 합성 경로로 전환될 수 있으며, 여기서 이중 결합이 가수분해되고 최종 생성물은 포화 지방산이 된다. 또는 FabA는 이성질체를 시스-3-데세노일 중간체로 촉매할 것이다.
- FabB는 β-케토아실-ACP 합성 효소로, 중간체를 연장하여 주류 지방산 합성 경로로 전달한다. FabB가 시스-데세노일 중간체와 반응하면, 연장 후 최종 생성물은 불포화 지방산이 된다.[14]
- 생성되는 두 가지 주요 불포화 지방산은 팔미톨레오일-ACP(16:1ω7)와 시스-바세노일-ACP(18:1ω7)이다.[15]
혐기적 불포화 반응을 겪는 대부분의 박테리아는 FabA와 FabB의 동족체를 포함한다.[16] 클로스트리디아(Clostridia)는 주요 예외이며, 시스 이중 결합의 형성을 촉매하는 아직 확인되지 않은 새로운 효소를 가지고 있다.
;조절
이 경로는 전사 조절을 거치며, FadR과 FabR에 의해 조절된다. FadR은 더 광범위하게 연구된 단백질이며, 이중 기능적 특성을 가지고 있다. FadR은 ''fabA''와 ''fabB''의 전사를 활성화하고, β-산화 조절 유전자 집합에 대한 억제자 역할을 한다. 반대로, FabR은 fabA와 fabB의 전사에 대한 억제자 역할을 한다.[14]
3. 2. 호기성 합성
일부 호기성 세균 및 진핵생물은 산소를 사용하여 불포화 지방산을 합성하는 경로를 가지고 있다. 이러한 불포화 결합 도입은 데사츄라제라고 불리는 효소군에 의해 촉매되며, 이 효소 반응에는 산소가 필요하다. 탄소 사슬 중 불포화화하는 부위에 따라 각각 다른 데사츄라제가 존재한다. 예를 들어, 포유류에는 Δ9 데사츄라제, Δ6 데사츄라제, Δ5 데사츄라제 3종류가 존재한다.[17]포유류에서 호기적 불포화는 세 가지 막 결합 효소 복합체(''NADH-사이토크롬 b5 환원 효소, 사이토크롬 b5'' 및 ''불포화효소'')에 의해 촉매된다. 이 효소들은 분자 산소(O2)가 포화 지방 아실-CoA 사슬과 상호 작용하여 이중 결합과 두 분자의 물(H2O)을 형성하도록 한다. 두 개의 전자는 NADH + H+에서, 그리고 두 개는 지방산 사슬의 단일 결합에서 나온다.[7]
는 COOH- (또는 카르복시) 말단 또는 CH3 (또는 메틸) 말단에서 표시할 수 있다. -COOH 말단에서 표시하는 경우, C-1, C-2, C-3 등의 표기법이 사용된다(오른쪽 그림의 파란색 숫자). 여기서 C-1은 –COOH 탄소이다. 다른 CH3 말단에서 위치를 계산하는 경우, 위치는 ω-n 표기법으로 표시된다(빨간색 숫자). 여기서 ω-1은 메틸 탄소를 나타낸다.
포유류의 효소는 지방산 사슬에서 C-9를 넘어서는 탄소 원자에 이중 결합을 도입할 수 없다.[7] 따라서 포유류는 리놀레산 또는 α-리놀렌산을 합성할 수 없으며, 리놀레산에서 파생된 다불포화 20개 탄소 아라키돈산도 합성할 수 없다. 이들은 모두 필수 지방산이라고 불리며, 이는 유기체에 필요하지만 식이 요법을 통해서만 공급될 수 있음을 의미한다.[7]
3. 2. 1. 단일 불포화 지방산
불포화 결합을 하나 갖는 지방산을 단일 불포화 지방산이라고 한다. 사람의 체내에서는 스테아로일-CoA 9-불포화효소(Δ9-지방산 불포화효소)에 의해 스테아르산(18:0)의 Δ9위(ω9위)에 이중 결합이 부가되어 18:1의 올레산이 된다. 올레산은 ω9위에 불포화 결합을 가지므로, ω-9 지방산으로 분류된다.[17] 모든 불포화효소는 산소를 필요로 하며, 불포화 반응은 산화 과정임에도 불구하고 궁극적으로 NADH를 소모한다. 불포화효소는 기질 내에서 유도하는 이중 결합에 특이적이다. ''바실루스 서브틸리스''에서 불포화효소 Δ5-Des는 Δ5 위치에서 시스 이중 결합을 유도하는 데 특이적이다.[2][17] ''사카로마이세스 세레비지애''는 Δ9에서 시스 이중 결합을 유도하는 Ole1p라는 하나의 불포화효소를 포함한다.[2]3. 2. 2. 다가 불포화 지방산
불포화 결합을 두 개 이상 갖는 지방산을 다가 불포화 지방산이라고 한다. 포유류는 Δ9 위치 이후에 불포화 결합을 도입할 수 있는 효소가 없기 때문에 리놀레산(18:2), α-리놀렌산(18:3), 아라키돈산(20:4) 등을 스스로 합성할 수 없다.[7] 따라서 이러한 지방산들은 필수 지방산으로, 반드시 음식을 통해 섭취해야 한다.[7] 아라키돈산은 프로스타글란딘의 전구체로, 국소 호르몬과 같은 다양한 기능을 수행한다.[7]반면, 식물 및 세균은 Δ12-지방산 데사츄라제, Δ15-지방산 데사츄라제 등을 가지고 있어 리놀레산과 α-리놀렌산을 합성할 수 있다.[49] Δ12-지방산 데사츄라제는 올레산의 Δ12 위치(ω6 위치)에 이중 결합을 형성하여 리놀레산을 합성한다. Δ15-지방산 데사츄라제는 리놀레산의 Δ15 위치(ω3 위치)에 이중 결합을 형성하여 α-리놀렌산을 생성한다.[49] 리놀레산은 ω6 위치에 불포화 결합을 가지고 있어 ω-6 지방산으로, α-리놀렌산은 ω3 위치에 불포화 결합을 가지고 있어 ω-3 지방산으로 분류된다.
3. 3. 트랜스 불포화 지방산 (트랜스 지방산)
트랜스 지방산은 자연계에는 거의 존재하지 않는다. 소나 양과 같은 반추 동물이 소량의 트랜스 지방산을 가지고 있는데[51], 이는 반추 동물의 체내에 있는 세균의 발효에 의해 생성된다.4. 고세균의 지방산 합성
대부분의 고세균은 세포막에 지방산 대신 장쇄의 이소프레노이드를 사용하기 때문에 장쇄 지방산 합성 경로를 갖지 않는다.[55][37] 그러나 할로아키아 중 일부는 지방산을 합성하는 것으로 알려져 있다. 하지만 세균, 진핵생물이 가진 경로와는 완전히 일치하지 않으며, 특히 아실 캐리어 단백질이 전혀 존재하지 않아 반응의 출발점이 되는 프라이머의 활성화를 할 수 없다. 따라서 할로아키아 등 지방산을 합성하는 것으로 알려진 종에서는 세균, 진핵생물과는 다른 기전으로 프라이머의 활성화가 이루어지고 있을 가능성이 있다.[37] 이소프레노이드 합성과 지방산 합성 사이에는 효소적인 공통점은 존재하지 않지만, 기질이 반복적으로 축합하여 사슬이 신장된다는 구조는 동일하다.
5. 무기적 지방산 합성
중·장쇄 지방산은 무기적인 반응을 통해서도 생성된다. 따라서 생명 발생 초기 단계에서 최초의 세포막은 무기적으로 합성되어 축적된 지방산으로 만들어졌을 것이라는 설이 유력하게 제기되고 있다.[56][57] 무기적인 지방산 합성 경로로 잘 알려진 것은 피셔-트롭쉬 합성이다. 그러나 실제 태고의 지구 환경에서 이와 유사한 화학 반응이 실제로 일어났는지에 대해서는 확정적인 증거가 없어 추측의 영역에 머물러 있다.[58]
6. 질병
mtFASII의 장애는 다음과 같은 대사 질환을 유발한다.
| 유전자 | 질병 |
|---|---|
| ACSF3 | 복합성 말론산뇨증 및 메틸말론산뇨증 (CMAMMA) |
| MCAT | 중쇄 아실-CoA 탈수소효소 결핍증 (MCAD) |
| MECR | 미토콘드리아 에노일-CoA 환원효소 단백질 관련 신경변성 (MEPAN) |
참조
[1]
논문
The emerging role of the mitochondrial fatty-acid synthase (mtFASII) in the regulation of energy metabolism
https://www.scienced[...]
2019-11-01
[2]
서적
Trans Fatty Acids
Blackwell
[3]
웹사이트
MetaCyc pathway: superpathway of fatty acids biosynthesis (''E. coli'')
http://www.biocyc.or[...]
[4]
웹사이트
Fatty Acids: Straight-chain Saturated, Structure, Occurrence and Biosynthesis
http://lipidlibrary.[...]
Lipid Library, The American Oil Chemists' Society
2011-04-30
[5]
웹사이트
MetaCyc pathway: stearate biosynthesis I (animals)
http://www.biocyc.or[...]
[6]
웹사이트
MetaCyc pathway: very long chain fatty acid biosynthesis II
http://www.biocyc.or[...]
[7]
서적
Biochemistry
W.H. Freeman and Company
1995
[8]
논문
SREBP-1c Transcription Factor and Lipid Homeostasis: Clinical Perspective
https://karger.com/h[...]
2010-08-30
[9]
서적
Fundamentals of Biochemistry
https://archive.org/[...]
John Wiley and Sons, Inc.
[10]
논문
Body composition work capacity and work efficiency of active and inactive young men
1973
[11]
서적
Biochemistry
W.H. Freeman and Company
1995
[12]
서적
Biochemistry
W.H. Freeman and Company
1995
[13]
웹사이트
Fatty Acid Synthesis
http://rpi.edu/dept/[...]
Rensselaer Polytechnic Institute
2011-04-30
[14]
논문
Complex binding of the FabR repressor of bacterial unsaturated fatty acid biosynthesis to its cognate promoters
[15]
논문
Functions of the Clostridium acetobutylicium FabF and FabZ proteins in unsaturated fatty acid biosynthesis
[16]
논문
Functional replacement of the FabA and FabB proteins of Escherichia coli fatty acid synthesis by Enterococcus faecalis FabZ and FabF homologues
[17]
논문
The ''Bacillus subtilis'' desaturase: a model to understand phospholipid modification and temperature sensing
2005-05
[18]
논문
Pentadecanoic and Heptadecanoic Acids: Multifaceted Odd-Chain Fatty Acids
[19]
논문
The Animal Fatty Acid Synthase: One Gene, One Polypeptide, Seven Enzymes
[20]
논문
Mechanism of biosynthesis of unsaturated fatty acids in Pseudomonas sp. strain E-3, a psychrotrophic bacterium
1989-08
[21]
논문
DesT coordinates the expression of anaerobic and aerobic pathways for unsaturated fatty acid biosynthesis in ''Pseudomonas aeruginosa''
2010-01
[22]
논문
Both the anaerobic pathway and aerobic desaturation are involved in the synthesis of unsaturated fatty acids in Vibrio sp. strain ABE-1
1992-02
[23]
논문
Two aerobic pathways for the formation of unsaturated fatty acids in ''Pseudomonas aeruginosa''
2006-04
[24]
논문
Biosynthesis of branched long-chain fatty acids by species of Bacillus: relative activity of three alpha-keto acid substrates and factors affecting chain length
1974-12
[25]
논문
Biosynthesis of branched-chain fatty acids in Bacillus subtilis. A decarboxylase is essential for branched-chain fatty acid synthetase
1988-12
[26]
논문
Iso- and anteiso-fatty acids in bacteria: biosynthesis, function, and taxonomic significance
1991-06
[27]
웹사이트
Fatty Acids: Natural Alicyclic Structures, Occurrence, and Biochemistry
http://lipidlibrary.[...]
Lipid Library, The American Oil Chemists' Society
2011-05-02
[28]
서적
Physiology, identification and classification
Academic
[29]
서적
The Mycobacteria: a Sourcebook
Dekker
[30]
웹사이트
Branched-chain Fatty Acids, Phytanic Acid, Tuberculostearic Acid Iso/anteiso- Fatty Acids
http://lipidlibrary.[...]
Lipid Library, The American Oil Chemists' Society
2014-03-08
[31]
논문
Mitochondrial fatty acid synthesis, fatty acids and mitochondrial physiology
https://linkinghub.e[...]
2017
[32]
논문
Altering the Mitochondrial Fatty Acid Synthesis (mtFASII) Pathway Modulates Cellular Metabolic States and Bioactive Lipid Profiles as Revealed by Metabolomic Profiling
2016-03-10
[33]
논문
Brain metabolism and neurological symptoms in combined malonic and methylmalonic aciduria
2020-12
[34]
논문
A conserved mammalian mitochondrial isoform of acetyl-CoA carboxylase ACC1 provides the malonyl-CoA essential for mitochondrial biogenesis in tandem with ACSF3
https://portlandpres[...]
2017-11-15
[35]
논문
Mitochondrial Fatty Acids and Neurodegenerative Disorders
http://journals.sage[...]
2021-04
[36]
논문
Fatty Acid Biosynthesis: Chain‐Length Regulation and Control
https://onlinelibrar[...]
2019-09-16
[37]
논문
Phylogenomic reconstruction of archaeal fatty acid metabolism: Fatty acid metabolism in archaea
https://onlinelibrar[...]
2014-04
[38]
논문
Evolutionary Implications of Bacterial Polyketide Synthases
http://academic.oup.[...]
2005-10-01
[39]
논문
The animal fatty acid synthase: one gene, one polypeptide, seven enzymes
https://faseb.online[...]
1994
[40]
논문
Engineering Escherichia coli for odd straight medium chain free fatty acid production
http://link.springer[...]
2014-10
[41]
웹사이트
MetaCyc Pathway: stearate biosynthesis I (animals)
https://www.biocyc.o[...]
MetaCyc
2021-08-23
[42]
논문
Fatty acids, unusual glycophospholipids and DNA analyses of thermophilic bacteria isolated from hot springs
http://link.springer[...]
2009-01
[43]
논문
Biosynthesis of branched-chain fatty acids in Bacillus subtilis. A decarboxylase is essential for branched-chain fatty acid synthetase
https://pubmed.ncbi.[...]
1988-12-05
[44]
논문
Iso- and anteiso-fatty acids in bacteria: biosynthesis, function, and taxonomic significance
https://pubmed.ncbi.[...]
1991-06
[45]
논문
Biosynthesis of branched long-chain fatty acids by species of Bacillus: relative activity of three alpha-keto acid substrates and factors affecting chain length
https://pubmed.ncbi.[...]
1974-12
[46]
논문
Alpha-oxidation of 3-methyl-substituted fatty acids and its thiamine dependence
http://doi.wiley.com[...]
2003-04
[47]
논문
Escherichia coli cyclopropane fatty acid synthase. Mechanistic and site-directed mutagenetic studies
https://onlinelibrar[...]
2004-12
[48]
논문
Linearly concatenated cyclobutane lipids form a dense bacterial membrane
http://www.nature.co[...]
2002-10
[49]
문서
I章 最新の脂質栄養を理解するための基礎 ― ω(オメガ)バランスとは?
http://www.kinjo-u.a[...]
[50]
논문
Omega-3多価不飽和脂肪酸の摂取とうつを中心とした精神的健康との関連性について探索的検f討-最近の研究動向のレビューを中心に
2008
[51]
논문
Ruminant and industrially produced trans fatty acids: health aspects
http://foodandnutrit[...]
2008-01
[52]
논문
Short Communication: The Nature of Heptadecenoic Acid in Ruminant Fats
https://linkinghub.e[...]
2006-01
[53]
논문
Quality Attributes and Fatty Acid, Volatile and Sensory Profiles of “Arbequina” hydroSOStainable Olive Oil
https://www.mdpi.com[...]
2019-06-06
[54]
논문
Identification of the Unsaturated Heptadecyl Fatty Acids in the Seed Oils of Thespesia populnea and Gossypium hirsutum
http://doi.wiley.com[...]
2012-09
[55]
논문
An ACP-Independent Fatty Acid Synthesis Pathway in Archaea: Implications for the Origin of Phospholipids
https://academic.oup[...]
2012-11
[56]
논문
Membrane self-assembly processes: Steps toward the first cellular life
https://onlinelibrar[...]
2002-11-01
[57]
논문
From Self-Assembled Vesicles to Protocells
http://cshperspectiv[...]
2010-07-01
[58]
논문
Coenzymes and Their Role in the Evolution of Life
https://onlinelibrar[...]
2021-03-15
본 사이트는 AI가 위키백과와 뉴스 기사,정부 간행물,학술 논문등을 바탕으로 정보를 가공하여 제공하는 백과사전형 서비스입니다.
모든 문서는 AI에 의해 자동 생성되며, CC BY-SA 4.0 라이선스에 따라 이용할 수 있습니다.
하지만, 위키백과나 뉴스 기사 자체에 오류, 부정확한 정보, 또는 가짜 뉴스가 포함될 수 있으며, AI는 이러한 내용을 완벽하게 걸러내지 못할 수 있습니다.
따라서 제공되는 정보에 일부 오류나 편향이 있을 수 있으므로, 중요한 정보는 반드시 다른 출처를 통해 교차 검증하시기 바랍니다.
문의하기 : help@durumis.com