도데카헤드레인
"오늘의AI위키"의 AI를 통해 더욱 풍부하고 폭넓은 지식 경험을 누리세요.
1. 개요
도데카헤드레인은 정이십면체 분자 대칭성을 갖는 유기 화합물로, 20개의 탄소 원자가 정오각형으로 연결된 구조를 가진다. 1982년 파케트 그룹에 의해 처음으로 합성되었으며, 30년 이상 여러 연구 그룹에서 전합성을 시도했다. 호르스트 프린츠바흐 그룹은 아이소드린을 출발 물질로 하는 새로운 합성 경로를 개발하여 도데카헤드레인 합성에 기여했다. 도데카헤드레인은 헬륨 원자를 캡슐화하는 내포 화합물로도 연구되었으며, 다양한 유도체가 합성되었다.
더 읽어볼만한 페이지
- 여러 고리 비방향족 탄화수소 - 큐베인
큐베인은 탄소 원자 8개가 입방체 모양으로 결합된 탄화수소로, 높은 변형 에너지에도 불구하고 합성되었으며, 고밀도 연료로서의 활용 가능성과 다양한 유도체 및 연결 구조체들이 연구되고 있다. - 사이클로펜테인 - 장뇌
장뇌는 녹나무에서 추출하거나 화학적으로 합성하는 백색 결정으로, 강렬한 향기를 지니며 과거에는 셀룰로이드 가소제, 의약품, 방충제 등으로 사용되었고, 피부 자극과 독성을 유발할 수 있다. - 사이클로펜테인 - 자스몬산
자스몬산은 식물의 생장, 발달, 스트레스 반응을 조절하는 식물 호르몬으로, α-리놀렌산으로부터 합성되어 곤충 방어, 종자 발아, 낙엽, 과실 숙성 등 다양한 생리적 과정에 관여한다. - 전합성 - 로바스타틴
로바스타틴은 이상지질혈증 및 심혈관 질환 치료에 사용되는 HMG-CoA 환원효소 억제제이며, 콜레스테롤 생합성을 방해하고 근육통, 소화불량 등의 부작용과 근병증, 간 손상과 같은 심각한 부작용이 나타날 수 있어 주의가 필요하다. - 전합성 - 바닐린
바닐린은 바닐라 꼬투리의 주요 향미 성분인 방향족 화합물로, 화학적 합성, 리그닌 폐기물 및 미생물 발효 등을 통해 대량 생산되어 식품, 향수, 의약품 등 다양한 분야에서 향료로 사용되지만, 일부 사람들에게는 두통이나 알레르기 반응을 일으킬 수 있다.
| 도데카헤드레인 - [화학 물질]에 관한 문서 | |
|---|---|
| 일반 정보 | |
![]() | |
![]() | |
![]() | |
| IUPAC 명칭 | (C₂₀-Ih)[5]풀러레인, 헥사데카하이드로-1,6,5,2,4,3-(에피부탄[1,1,2,3,4,4]헥사일)디펜탈레노[2,1,6-gha:2′,1′,6′-cde]펜탈렌 |
| 계통 명칭 | 운데카사이클로[9.9.0.02,9.03,7.04,20.05,18.06,16.08,15.010,14.012,19.013,17]이코산 |
| 식별 정보 | |
| CAS 등록번호 | 4493-23-6 |
| 베일슈타인 등록번호 | 1880116 |
| ChEBI | 33013 |
| ChemSpider ID | 109833 |
| Gmelin 등록번호 | 1326921 |
| UNII | FBO87C776P |
| PubChem CID | 123218 |
| InChI | 1/C20H20/c1-2-5-7-3(1)9-10-4(1)8-6(2)12-11(5)17-13(7)15(9)19-16(10)14(8)18(12)20(17)19/h1-20H |
| InChIKey | OOHPORRAEMMMCX-UHFFFAOYAM |
| 표준 InChI | 1S/C20H20/c1-2-5-7-3(1)9-10-4(1)8-6(2)12-11(5)17-13(7)15(9)19-16(10)14(8)18(12)20(17)19/h1-20H |
| 표준 InChIKey | OOHPORRAEMMMCX-UHFFFAOYSA-N |
| SMILES | C12C3C4C5C1C6C7C2C8C3C9C4C1C5C6C2C7C8C9C12 |
| SMILES (대안) | C31C%10C2C5C%11C6C8C(C1C9C4C7C(C2C34)C5C6C7C89)C%10%11 |
| 속성 | |
| 분자식 | C₂₀H₂₀ |
| 외형 | 고체 |
| 밀도 | 1434 g/cm³ |
| 녹는점 | 430±10°C |
| 위험성 | |
| 관련 화합물 | |
| 관련 작용기 | 큐베인, 테트라헤드레인, 파고데인 (도데카헤드레인의 이성질체), 프리즈메인 |
| 관련 작용기 (설명) | 탄화수소 |
2. 구조
각 탄소 원자에서 C-C 결합 사이의 각도는 108°이며, 이는 정오각형의 인접한 변 사이의 각도와 같다. 이 값은 sp3 오비탈 혼성화를 갖는 원자의 결합 사이의 이상적인 각도인 정사면체의 109.5° 중심각에 매우 가깝기 때문에 각 변형이 최소화된다.[2] 도데카헤드레인은 완벽한 정이십면체(Ih) 분자 대칭성을 가지며, 모든 수소 원자가 3.38 ppm의 단일 화학적 이동을 보이는 양성자 NMR 스펙트럼으로 확인된다. 버크민스터풀러렌과는 달리, 도데카헤드레인은 비편재 전자가 없어 방향족성을 띠지 않는다.
2. 1. 비틀림 변형
도데카헤드레인은 구조의 각 모서리를 따라 가려진 입체 형태(eclipsed conformation)의 결과로 상당한 수준의 비틀림 변형을 갖는다.[2]3. 역사
도데카헤드레인의 전합성은 30년 이상 여러 연구 그룹에서 추진되었다. 1978년에 발표된 리뷰 논문에서는 그 당시까지 존재했던 다양한 전략을 설명했다. 1964년 로버트 번스 우드워드가 트리퀴나센 합성을 통해 최초로 시도했는데, 트리퀴나센은 도데카헤드레인으로 간단히 이량체화될 수 있다고 생각된 화합물이었다. 필립 이튼과 파울 폰 라게 슈라이어 그룹 등도 이 경쟁에 참여했다.
1982년 오하이오 주립 대학교의 레오 파케트 그룹은 29단계의 복잡한 경로를 통해 처음으로 합성에 성공했다. 이들은 도데카헤드랄 골격을 한 번에 한 고리씩 구축하고 마지막 구멍을 닫는 방식을 사용했다.
1987년, 호르스트 프린츠바흐 그룹은 더 다재다능한 대체 합성 경로를 발견했다. 이들의 접근 방식은 아이소드린( 알드린의 이성질체)을 출발 물질로 하여 파고데인의 이성질체화를 기반으로 했다. 프린츠바흐 팀과 슈라이어 그룹의 공동 노력으로 변환 수율은 최대 8%에 달했다. 이후 10년 동안 이 그룹은 해당 경로를 크게 최적화하여 도데카헤드레인을 여러 그램 단위로 얻을 수 있게 되었다. 새로운 경로는 또한 선택적인 치환체와 불포화 탄소-탄소 결합을 가진 유도체를 얻는 것을 더 쉽게 만들었다.
3. 1. 중요 발견
호르스트 프린츠바흐 연구팀의 주요 연구 결과로는 σ-이중 방향족성의 발견과 고도로 브롬화된 도데카헤드레인 종으로부터 C20 풀러렌을 형성한 것이 있다.4. 합성
30년 이상 여러 연구 그룹에서 도데카헤드레인의 전합성을 활발하게 연구했다. 1978년에 발표된 논문에서는 그 당시까지 존재했던 다양한 전략을 설명했다. 최초의 시도는 1964년 로버트 번스 우드워드가 도데카헤드레인으로 간단히 이량체화될 수 있다고 생각한 화합물인 트리퀴나센 합성을 통해 시작되었다. 필립 이튼과 파울 폰 라게 슈라이어 연구 그룹 등 다른 그룹들도 경쟁에 참여했다.
오하이오 주립 대학교의 레오 파케트 연구 그룹은 1982년에 복잡한 29단계 경로를 통해 도데카헤드레인 합성에 처음으로 성공했다. (자세한 내용은 파케트의 합성 경로 참고)
1987년, 호르스트 프린츠바흐 그룹은 파고데인을 이용하는 더 다재다능한 합성 경로를 발견했다. (자세한 내용은 프린츠바흐의 파고데인 경로 참고)
4. 1. 파케트의 합성 경로 (1982)
파케트의 1982년 유기 합성은 시클로펜타디엔 (2당량, 탄소 원자 10개), 아세틸렌 디카르복실산 디메틸 (탄소 원자 4개) 및 알릴트리메틸실란 (2당량, 탄소 원자 6개)을 사용하여 약 29단계로 진행된다.먼저, 두 분자의 시클로펜타디엔 '''1'''은 나트륨(시클로펜타디에닐 착물 형성) 및 요오드와의 반응을 통해 다이하이드로풀발렌 '''2'''로 결합된다. 다음으로, 디메틸 아세틸렌디카르복실레이트 '''3'''을 사용한 탠덤 디엘스-알더 반응으로, 펜타디엔-아세틸렌-펜타디엔 순서를 대칭 부가물 '''4'''와 같이 원하는 순서로 반응시킨다. 이때, 비대칭 펜타디엔-펜타디엔-아세틸렌 화합물 ('''4b''')도 동일한 양으로 생성되어 폐기된다.
![]() | ![]() |
| 도데카헤드레인 합성 파트 I | 도데카헤드레인 합성 파트 II |
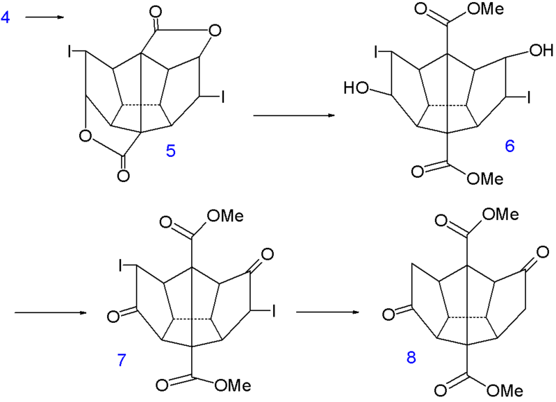
이후 과정에서 요오드는 '''4'''의 다이산의 아이오도락톤화를 통해 다이락톤 '''5'''로 일시적으로 도입된다. 그다음 에스터 그룹은 메탄올로 절단되어 할로히드린 '''6'''이 되고, 알코올 그룹은 존스 산화에 의해 '''7'''에서 케톤 그룹으로 변환되며, 요오드 그룹은 '''8'''에서 아연-구리 커플에 의해 환원된다.
![]() | ![]() |
| 도데카헤드레인 합성 파트 III | 도데카헤드레인 합성 파트 IV |
최종 6개의 탄소 원자는 알릴트리메틸실란 '''9'''과 ''n''-부틸리튬에서 생성된 카바니온 '''10'''의 케톤 그룹에 친핵성 첨가 반응으로 삽입된다. 그다음 단계에서 비닐 실란 '''11'''은 과아세트산과 아세트산에서 라디칼 치환 반응을 통해 다이락톤 '''12'''와 반응하고, 이어서 분자 내 프리델-크래프츠 알킬화 반응과 오산화 인으로 반응하여 다이케톤 '''13'''을 생성한다. 이 분자는 필요한 모든 20개의 탄소 원자를 포함하며 대칭적이기도 하여 나머지 5개의 탄소-탄소 결합을 구성하는 데 도움이 된다.
'''13'''의 이중 결합을 '''14'''로 환원하는 것은 탄소 담지 팔라듐을 사용한 수소화로, 케톤 그룹을 붕수소화나트륨으로 '''15'''의 알코올 그룹으로 환원한다. 친핵성 지방족 치환을 통해 '''17'''에서 히드록실을 염소로 치환하는 것은 다이락톤 '''16''' (토실 클로라이드)을 통해 이루어진다. 첫 번째 C–C 결합 형성 반응은 버치 알킬화 (리튬, 암모니아)의 일종으로, 즉각적인 반응 생성물은 클로로메틸 페닐 에터로 포획되고, '''17'''의 다른 염소 원자는 단순히 환원된다. 이 임시 부착물은 나중에 원치 않는 에놀화를 방지한다. 새로 형성된 케톤 그룹은 다음으로 광화학적 노리쉬 반응에 의해 또 다른 C–C 결합을 형성하여 '''19'''가 되고, 그 알코올 그룹은 탈리 반응을 유도하여 알켄 '''20'''을 생성한다.
![]() | ![]() |
| 도데카헤드레인 합성 파트 V | 도데카헤드레인 합성 파트 VI |
이중 결합은 히드라진으로 환원되고, 순차적인 다이이소부틸알루미늄 수소화물 환원 및 염화 피리디늄 크로메이트 산화에 의해 '''21'''이 알데히드 '''22'''를 형성한다. 두 번째 노리쉬 반응은 다시 또 다른 C–C 결합을 알코올 '''23'''에 추가하고, 그 목적을 다한 다음 페녹시 꼬리는 여러 단계로 제거된다. 버치 환원으로 다이올 '''24'''를 생성하고, 염화 피리디늄 크로메이트로 산화하여 케토알데히드 '''25'''를 생성하고, 역 클레이젠 축합 반응을 통해 케톤 '''26'''을 생성한다. 세 번째 노리쉬 반응은 알코올 '''27'''을 생성하고, 두 번째 탈수 반응 '''28'''과 또 다른 환원 '''29'''을 거쳐 합성 과정은 완전히 작용기가 없는 상태로 남게 된다. 누락된 C-C 결합은 250 °C에서 탄소 담지 팔라듐을 사용한 수소 가압 탈수소화 반응을 통해 도데카헤드레인 '''30'''에 삽입된다.
4. 2. 프린츠바흐의 파고데인 경로
1987년, 프린츠바흐 등은 파고단 이성질체를 경유하는 새로운 도데카헤드레인 합성 경로를 발견했다.[14][15] 파고단은 Isodrin영어을 시작 물질로 하여 [6+6]광고리 첨가 반응 등으로 얻을 수 있으며, 슐리어의 아다만탄 합성과 유사한 방식으로 도데카헤드란으로 이성화되는 후보 물질로서 적합하다고 여겨졌다. 프린츠바흐 등과 슐리어 등의 공동 연구에 의해 최고 8%의 수율을 달성했다.이후 10년 동안 프린츠바흐 등은 파고단 경유의 합성 경로에 대해 최적화를 거듭하여 수 그램 정도의 합성에 성공했을 뿐만 아니라, 선택적인 치환과 불포화 화합물을 달성했다. 파고단과 도데카헤드란 및 그 치환체의 연구 중, σ-비스호모 공액계의 발견[16]과 다취화 도데카헤드란으로부터 풀러렌 C20의 합성[17]은 특히 주목할 만하다.
파고단 경로의 최적화 등, 프린츠바흐 등의 공헌을 종합한 내용은 2006년 C20 클러스터에 관한 논문[18]에서 확인할 수 있다. 최적화된 도데카헤드란 합성 경로에서는 수율이 낮은 파고단에서 도데카헤드란으로의 이성화는 단계가 많지만 수율이 높은 다른 경로로 대체되었지만, 파고단 유도체에 강하게 의존하는 것은 변함없다.

5. 유도체
다양한 도데카헤드레인 유도체가 합성되어 보고되었다. 20개의 수소를 모두 플루오린으로 치환한 과플루오르도데카헤드레인(C20F20)은 비교적 불안정하지만 밀리그램 단위로 합성되었다.[21] 풀러렌 C20 및 그 치환체를 촉매를 사용한 무용매 1,3-쌍극자 고리화 첨가 반응[22][23] 및 딜스-알더 반응[24][25]으로 합성할 가능성에 대한 이론적 연구도 진행되고 있다.
5. 1. 수소 치환 유도체
모든 20개의 수소를 플루오린 원자로 치환하면 상대적으로 불안정한 과플루오르도데카헤드레인(C20F20)이 생성되며, 이는 밀리그램 단위로 얻어졌다.[21] 과염소도데카헤드레인(C20Cl20)은 다른 부분 염소화 유도체들과 함께 C20H20을 액체 염소에 용해시킨 후 약 140°C에서 5일 동안 강한 빛 아래에서 압력을 가하여 반응시켜 미량 성분으로 얻어졌다. 더 큰 크기 때문에 무거운 할로젠으로의 완전한 치환은 점점 더 어려워 보인다. 수소 원자의 절반 이상을 하이드록실기로 치환하여 폴리올을 생성할 수 있지만, 극단적인 화합물 C20(OH)20은 2006년 현재까지도 얻어지지 않았다.[21] 아만타딘과 유사한 아미노-도데카헤드레인이 제조되었지만, 독성이 더 강하고 항바이러스 효과는 더 약했다.[3]5. 2. 환화 유도체
환화된 도데카헤드레인 구조가 제안되었다.6. 내포 화합물
폐쇄된 케이지 구조를 갖는 분자, 예를 들어 도데카헤드레인과 버크민스터풀러렌은 내부의 빈 공간에 원자나 작은 분자를 가둘 수 있다. 이러한 삽입물은 케이지 화합물과 화학적으로 결합하지 않고 기계적으로 갇히게 된다.
크로스, 손더스, 프린츠바흐는 He+ 이온을 도데카헤드레인 필름에 쏘는 방식으로 도데카헤드레인에 헬륨 원자를 가두는 데 성공했다. 그들은 마이크로그램 단위의 He@C20H20 (가두는 것에 대한 표준 표기법으로 "@" 사용)을 얻었으며, 이를 매우 안정적인 물질이라고 설명했다. 이 분자는 "세계에서 가장 작은 헬륨 풍선"으로 묘사되었다.[4]
모체 구조의 특성을 변화시키고 화학적 구조 및 동역학에 대한 가설을 검증하기 위해, 소분자 케이지 내에 원자를 포함하려는 시도가 이루어지고 있다. 도데카헤드란 내에 헬륨 이온(He+)을 포함하는 데는 C20H20에 헬륨 이온 빔을 조사하여 성공했다. 크로스, 샌더스, 프린츠바흐는 마이크로그램 단위의 매우 안정적인 "He@C20H20" (헬륨 원자가 도데카헤드란 분자 내에 포획되어 있음을 나타내는 표기법)을 얻는 데 성공했다.[19] 이 성과는 세계에서 가장 작은 헬륨 풍선으로 언급되기도 한다.[20]
참조
[1]
서적
Strategies and Tactics in Organic Synthesis
https://books.google[...]
2012-12-02
[2]
학술지
Dodecahedrane-The chemical transliteration of Plato's universe (A Review)
1982
[3]
학술지
Synthesis of amino-substituted dodecahedranes, secododecahedranes, and homododecahedranes, and their antiviral relationship to 1-aminoadamantane
1988
[4]
서적
Sustainable Nanosystems Development, Properties, and Applications
https://books.google[...]
IGI Global
2016
[5]
학술지
From Pagodanes to Dodecahedranes - Search for a Serviceable Access to the Parent (C20H20) Hydrocarbon
http://www.sciencedi[...]
[6]
학술지
Dodecahedrane
https://doi.org/10.1[...]
[7]
학술지
Total synthesis of dodecahedrane
[8]
문서
国際純正・応用化学連合 name: hexadecahydro-5,2,1,6,3,4-[2,3]butanediyl[1,4]diylidenedipentaleno[2,1,6-cde:2',1',6'-gha]pentalene CAS登録番号: 4493-23-6
[9]
학술지
Towards dodecahedrane
http://www.sciencedi[...]
[10]
학술지
An expedient synthesis of 1,16-dimethyldodecahedrane
[11]
학술지
Domino Diels-Alder reactions. I. Applications to the rapid construction of polyfused cyclopentanoid systems
https://doi.org/10.1[...]
[12]
학술지
Topologically spherical molecules. Synthesis of a pair of C2-symmetric hexaquinane dilactones and insights into their chemical reactivity. An efficient .pi.-mediated 1,6-dicarbonyl reduction
https://doi.org/10.1[...]
[13]
학술지
Total synthesis of dodecahedrane
[14]
학술지
The Pagodane Route to Dodecahedranes—Thermal, Reductive, and Oxidative Transformations of Pagodanes
https://doi.org/10.1[...]
[15]
학술지
Dodecahedranes from [1.1.1.1]Pagodanes
https://doi.org/10.1[...]
[16]
학술지
Stable carbocations. 273. [1.1.1.1]- and [2.2.1.1]Pagodane dications: frozen two-electron Woodward-Hoffmann transition-state models
https://doi.org/10.1[...]
[17]
학술지
Gas-phase production and photoelectron spectroscopy of the smallest fullerene, C20
https://doi.org/10.1[...]
2000-09-07
[18]
학술지
C20 Carbon Clusters: Fullerene–Boat–Sheet Generation, Mass Selection, Photoelectron Characterization
https://doi.org/10.1[...]
[19]
학술지
Putting Helium Inside Dodecahedrane
https://doi.org/10.1[...]
[20]
웹사이트
世界最小のヘリウム風船
http://blog.livedoor[...]
2012-11-06
[21]
학술지
Towards Perfunctionalized Dodecahedranes—En Route to C20 Fullerene
https://doi.org/10.1[...]
[22]
학술지
A DFT study on the functionalization of C20 Fullerene via its 1,3 -dipolar cycloaddition with 4 - pyridine nitrile oxide
http://www.iranjoc.c[...]
[23]
학술지
A theoretical study on the functionalisation process of C18NB fullerene through its open [5,5] cycloaddition with 4-pyridine nitrile oxide
http://stl.publisher[...]
[24]
학술지
A Theoretical Study on the Possibility of Functionalization of C20 Fullerene Via its Diels-Alder Reaction with 1,3-Butadiene
http://benthamscienc[...]
[25]
학술지
Diels–Alder versus 1,3-dipolar cycloaddition pathways in the reaction of C20 fullerene and 2-furan nitrile oxide
http://www.ingentaco[...]
[26]
서적
Strategies and Tactics in Organic Synthesis
https://books.google[...]
2012-12-02
본 사이트는 AI가 위키백과와 뉴스 기사,정부 간행물,학술 논문등을 바탕으로 정보를 가공하여 제공하는 백과사전형 서비스입니다.
모든 문서는 AI에 의해 자동 생성되며, CC BY-SA 4.0 라이선스에 따라 이용할 수 있습니다.
하지만, 위키백과나 뉴스 기사 자체에 오류, 부정확한 정보, 또는 가짜 뉴스가 포함될 수 있으며, AI는 이러한 내용을 완벽하게 걸러내지 못할 수 있습니다.
따라서 제공되는 정보에 일부 오류나 편향이 있을 수 있으므로, 중요한 정보는 반드시 다른 출처를 통해 교차 검증하시기 바랍니다.
문의하기 : help@durumis.com






