호모세린 탈수소효소
"오늘의AI위키"의 AI를 통해 더욱 풍부하고 폭넓은 지식 경험을 누리세요.
1. 개요
호모세린 탈수소효소는 아스파르트산 세미알데히드를 호모세린으로 전환하는 반응을 촉매하는 효소이다. 일부 세균, 효모, 식물에서 발견되며, 단일 기능 효소 또는 아스파르토키나아제와 결합된 이중 기능 효소 형태로 존재한다. 이 효소는 아스파르트산 대사 경로에 관여하며, 특히 식물에서는 아미노산 합성과 질소 및 탄소 저장에 중요한 역할을 한다. 또한, 호모세린 탈수소효소는 항진균제 개발의 표적이 될 수 있으며, 여러 저해제가 연구되고 있다.
더 읽어볼만한 페이지
- NADPH 의존 효소 - 아이소시트르산 탈수소효소
아이소시트르산 탈수소효소(IDH)는 TCA 회로에서 아이소시트르산을 α-케토글루타르산으로 전환하는 효소로, NAD+ 또는 NADP+를 조효소로 사용하며 특정 유전자 변이는 암과 관련될 수 있다. - NADPH 의존 효소 - 아릴-알코올 탈수소효소 (NADP+)
아릴-알코올 탈수소효소(NADP+)는 NADP+를 조효소로 사용하여 아릴 알코올을 해당 알데히드로 산화시키는 효소입니다. - 단백질 도메인 - CD4
CD4는 보조 T 세포 표면에서 T 세포 수용체의 공동수용체로 작용하여 항원제시세포와 상호작용을 돕고 T 세포 활성화 신호를 증폭시키는 면역계의 당단백질이며, HIV의 숙주 세포 침투 수용체로 작용하여 HIV 감염 및 AIDS 발병에 중요한 역할을 한다. - 단백질 도메인 - 인터루킨 4
인터루킨 4(IL-4)는 B 세포와 T 세포를 자극하고 형질세포로 분화시키는 사이토카인으로, 체액성 및 후천성 면역 조절, IgE 및 IgG4 생산 유도, MHC 클래스 II 생산 촉진과 함께 알레르기 질환, 기관지 천식, 만성 염증, 상처 치유, 암 발병 및 진행, HIV 질환 등 다양한 질병에 관여하는 것으로 알려져 있다. - 구조가 알려진 효소 - 젖산 탈수소효소
젖산 탈수소효소(LDH)는 피루브산을 젖산으로 또는 그 역반응을 촉매하는 효소로, 해당 과정과 코리 회로에서 작용하며, 5가지 동질효소 형태로 존재하고, 혈청 내 수치는 조직 손상 지표로 사용되며, 암세포 에너지 대사 및 유전 질환과도 관련되어 그 기능과 관련 질환에 대한 연구가 지속적으로 진행되고 있다. - 구조가 알려진 효소 - 유비퀴논:사이토크롬 c 산화환원효소
유비퀴놀:사이토크롬 c 산화환원효소는 유비퀴놀 산화와 시토크롬 c 환원을 촉매하는 효소로, 척추동물에서는 11개의 소단위체로 구성되어 미토콘드리아 내막에서 전자 전달을 통해 ATP 생산과 양성자 기울기 형성에 기여한다.
| 호모세린 탈수소효소 | |
|---|---|
| 효소 정보 | |
| 이름 | 호모세린 탈수소효소 |
| EC 번호 | 1.1.1.3 |
| CAS 번호 | 9028-13-1 |
| GO 코드 | 0004412 |
![]() | |
| 단백질군 정보 | |
| 심볼 | Homoserine_dh |
| 이름 | 호모세린 탈수소효소 |
![]() | |
| Pfam | PF00742 |
| InterPro | IPR001342 |
| PROSITE | PDOC00800 |
| SCOP | 1ebu |
2. 효소 구조
호모세린 탈수소효소는 단일 기능 효소와 이중 기능 효소의 두 가지 형태로 발견된다.[4][5] 2007년 말 기준으로 이 효소 종류에 대해 4개의 3차 구조가 밝혀졌으며, 단백질 데이터 은행(PDB) 접근 코드는 1EBF, 1EBU, 1Q7G, 1TVE이다.
2. 1. 단일 기능 효소
효소는 일부 세균과 효모에서 단일 기능 형태로 발견될 수 있다. 효모 단일 기능 효소의 2차 구조 분석에 따르면, 이 효소는 세 개의 서로 다른 영역, 즉 N-말단 뉴클레오티드 결합 도메인, 짧은 중심 이량체화 영역, C-말단 촉매 도메인으로 구성된 이량체이다.[4] N-말단 도메인은 변형된 Rossmann fold를 형성하는 반면, 촉매 도메인은 새로운 알파-베타 혼합 시트를 형성한다.2. 2. 이중 기능 효소
이 효소는 N-말단 아스파르토키나제 단백질 도메인과 C-말단 호모세린 탈수소효소 도메인으로 구성된 이중 기능 형태로도 발견될 수 있는데, 이는 대장균(Escherichia coli)과 같은 세균과 식물에서 발견된다.[5]2. 2. 1. 조절 도메인
효소는 일부 세균과 효모에서 단일 기능 형태로 발견될 수 있다. 효모 단일 기능 효소의 2차 구조 분석에 따르면 이 효소는 세 개의 서로 다른 영역, 즉 N-말단 뉴클레오티드 결합 도메인, 짧은 중심 이량체화 영역, C-말단 촉매 도메인으로 구성된 이량체이다.[4] N-말단 도메인은 변형된 Rossmann fold를 형성하는 반면, 촉매 도메인은 새로운 알파-베타 혼합 시트를 형성한다.이 효소는 또한 N-말단 아스파르토키나제 단백질 도메인과 C-말단 호모세린 탈수소효소 도메인으로 구성된 이중 기능 형태로 발견될 수 있으며, 이는 ''대장균''과 같은 세균과 식물에서 발견된다.[5]
이중 기능 아스파르토키나제-호모세린 탈수소효소(AK-HSD) 효소는 공통적인 루프-알파 나선-루프-베타 가닥 루프-베타 가닥 모티프를 가진 두 개의 하위 도메인으로 구성된 조절 단백질 도메인을 가지고 있다. 각 하위 도메인은 여러 다른 단백질 기능의 복잡한 조절을 허용하는 ACT 도메인을 포함한다.[5] AK-HSD 유전자는 아스파르테이트 키나제, 중간 도메인(이중 기능 형태의 두 효소 사이의 링커 영역에 대한 코딩) 및 마지막으로 호모세린 탈수소효소에 대한 코딩 서열을 코딩한다.[6][7]
3. 효소 메커니즘
호모세린 탈수소효소의 촉매 반응은 NAD(P)H 보조 인자가 먼저 효소에 결합하고 반응이 완료되면 마지막으로 효소에서 해리되는 bi-bi 운동학 메커니즘을 통해 진행되는 것으로 추정된다.[6][8] NADH와 NADPH 모두 반응에 적절한 보조 인자이지만 NADH가 선호된다. 반응의 Km은 NADH에서 4배 작고 Kcat/Km은 3배 더 커서 더 효율적인 반응임을 나타낸다.[9]
호모세린 탈수소효소는 기질의 비포화 수준에서 다중 차수 운동학을 나타내기도 한다. 또한 호모세린 탈수소효소의 가변 운동학은 아미노산 기질이 보조 인자 해리에 비해 효소 복합체에서 더 빠르게 해리되는 인공물이다.[8][10]
3. 1. 반응 과정
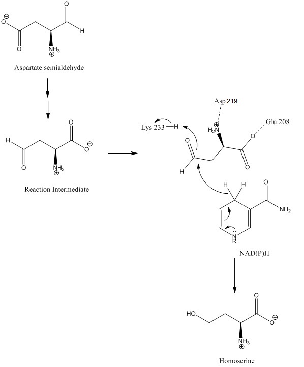
호모세린 탈수소효소는 아스파르트산 세미알데히드(ASA)를 호모세린으로 전환하는 반응을 촉매한다. 전체 반응은 ASA의 C4 카복실산 작용기를 1차 알코올로 환원시키고 C1 알데히드를 카복실산으로 산화시킨다. Glu 208과 Lys 117 잔기는 효소의 활성 촉매 부위에 관여하는 것으로 생각된다. Asp 214와 Lys 223은 촉매 반응에서 수소화물 이동에 중요함을 보여주었다.[4]

C4 카복실산이 유기 산화 환원 반응으로 알데히드로 환원되고 C1 알데히드가 카복실산으로 산화되면, 실험 결과에 따르면 Asp 219, Glu 208 및 물 분자가 활성 부위에서 ASA와 결합하는 동안 Lys 223이 아스파르트산 세미알데히드 C4 산소에 양성자를 기증한다. 호모세린 탈수소효소는 NAD(P)H 보조 인자를 가지고 있으며, 이는 동일한 탄소에 수소를 기증하여 알데히드를 알코올로 효과적으로 환원시킨다.[4] (그림 1과 2 참조).
그러나, 호모세린 탈수소효소의 완전한 촉매 작용에 대한 정확한 메커니즘은 여전히 알려져 있지 않다.[4]
호모세린 탈수소효소 촉매 반응은 NAD(P)H 보조 인자가 먼저 효소에 결합하고 반응이 완료되면 마지막으로 효소에서 해리되는 bi-bi 운동학 메커니즘을 통해 진행되는 것으로 추정된다.[6][8] 또한, NADH와 NADPH 모두 반응에 적절한 보조 인자이지만 NADH가 선호된다. 반응의 Km은 NADH에서 4배 작고 Kcat/Km은 3배 더 커서 더 효율적인 반응임을 나타낸다.[9]
호모세린 탈수소효소는 또한 기질의 비포화 수준에서 다중 차수 운동학을 나타낸다. 또한 호모세린 탈수소효소의 가변 운동학은 아미노산 기질이 보조 인자 해리에 비해 효소 복합체에서 더 빠르게 해리되는 인공물이다.[8][10]
3. 2. 보조 인자
호모세린 탈수소효소는 NAD(P)H 보조 인자를 가지고 있으며, 이는 동일한 탄소에 수소를 기증하여 알데히드를 알코올로 효과적으로 환원시킨다.[4]호모세린 탈수소효소 촉매 반응은 NAD(P)H 보조 인자가 먼저 효소에 결합하고 반응이 완료되면 마지막으로 효소에서 해리되는 bi-bi 운동학 메커니즘을 통해 진행되는 것으로 추정된다.[6][8] NADH와 NADPH 모두 반응에 적절한 보조 인자이지만 NADH가 선호된다. 반응의 Km은 NADH에서 4배 작고 Kcat/Km은 3배 더 커서 더 효율적인 반응임을 나타낸다.[9]
4. 생물학적 기능
호모세린 탈수소효소는 아스파르트산 대사 경로에서 아스파라진 저장과 아스파르트산 계열 아미노산 합성에 관여하며, 질소 및 탄소 저장 및 이용 경로에서 반응 중간체 단계를 촉매한다.[11][12]
광합성 생물과 포유류에서 호모세린 탈수소효소는 서로 다른 생물학적 기능을 수행한다.
4. 1. 식물에서의 역할
아스파르트산 대사 경로는 아스파라진의 저장과 아스파르트산 계열 아미노산의 합성에 모두 관여한다.[11] 호모세린 탈수소효소는 이러한 질소 및 탄소 저장 및 이용 경로에서 반응 중간체 단계를 촉매한다.[12]광합성 생물에서는 글루타민, 글루탐산, 아스파르트산이 낮 동안 축적되어 다른 아미노산을 합성하는 데 사용된다. 밤에는 아스파르트산이 저장을 위해 아스파라진으로 전환된다.[12] 또한 아스파르트산 키나아제-호모세린 탈수소효소 유전자는 특히 분열조직의 정단 및 측면 분열조직과 같이 활발하게 성장하는 어린 식물 조직에서 주로 유전자 발현된다.[13]
4. 2. 포유류에서의 중요성
아스파르트산 대사 경로는 아스파라진의 저장과 아스파르트산 계열 아미노산의 합성에 모두 관여한다.[11] 호모세린 탈수소효소는 이러한 질소 및 탄소 저장 및 이용 경로에서 반응 중간체 단계를 촉매한다.[12]포유류는 호모세린 탈수소효소를 포함하여 아스파르트산 대사 경로에 관여하는 효소가 없다. 라이신, 트레오닌, 메티오닌, 아이소류신은 이 경로에서 생성되므로 포유류에게 필수 아미노산으로 간주된다.[6]
5. 생물학적 조절

호모세린 탈수소효소(HSD)와 아스파테이트 키나아제(AK)는 생물학적 조절을 받는다. HSD는 주로 트레오닌에 의해 억제되며, 트레오닌은 HSD와 AK 모두에 대해 경쟁적 억제로 작용한다.[14] AK-HSD를 발현하는 유기체에서 트레오닌 결합 부위 중 하나는 AK와 HSD 사이의 링커 영역에서 발견되어 알로스테릭 조절 가능성을 시사한다.[6]
하지만, 트레오닌 내성 HSD 형태도 존재하며, 이는 유전자 변형 작물에 활용되어 트레오닌과 메티오닌 생산을 증가시킨다.[6]
HSD는 전사 조절도 받는다. 프로모터 서열에는 TGACTC 서열이 포함되어 있으며, Opaque2 조절 서열도 관여하는 것으로 추정되지만, 그 효과는 아직 명확하게 밝혀지지 않았다.[7]
식물에서 AK-HSD 유전자 발현은 빛 노출에 의해 증가하는 것으로 나타났다.[12][13]
5. 1. 알로스테릭 조절
호모세린 탈수소효소와 아스파테이트 키나아제는 모두 상당한 조절을 받는다(그림 3 참조). HSD는 아스파테이트 대사 경로의 하위 생성물, 주로 트레오닌에 의해 억제된다. 트레오닌은 HSD와 아스파테이트 키나아제 모두에 대한 경쟁적 억제로 작용한다.[14] AK-HSD를 발현하는 유기체에서, 트레오닌 결합 부위 중 하나는 AK와 HSD 사이의 링커 영역에서 발견되며, 두 효소의 잠재적인 알로스테릭 조절을 시사한다.[6]그러나 생리학적으로 존재하는 것보다 훨씬 더 많은 농도의 트레오닌이 억제에 필요한 일부 트레오닌 내성 HSD 형태가 존재한다. 이러한 트레오닌에 둔감한 HSD 형태는 더 높은 영양 가치를 위해 트레오닌과 메티오닌 생산을 모두 증가시키기 위해 유전자 변형 작물에 사용된다.[6]
호모세린 탈수소효소는 또한 전사 조절을 받는다. 이 효소의 프로모터 서열은 다른 아미노산 생합성 경로와 관련된 것으로 알려진 시스 조절 요소 TGACTC 서열을 포함한다. Opaque2 조절 서열도 호모세린 탈수소효소 조절에 관여하는 것으로 추정되지만, 그 효과는 아직 잘 정의되지 않았다.[7]
식물에서 AK-HSD 유전자 발현의 환경적 조절 또한 존재한다. 빛 노출은 광합성과 관련하여 AK-HSD 유전자의 발현을 증가시키는 것으로 나타났다.[12][13]
5. 2. 전사 조절
호모세린 탈수소효소와 아스파테이트 키나아제는 모두 상당한 조절을 받는다(그림 3 참조). HSD는 아스파테이트 대사 경로의 하위 생성물, 주로 트레오닌에 의해 억제된다. 트레오닌은 HSD와 아스파테이트 키나아제 모두에 대한 경쟁적 억제로 작용한다.[14] AK-HSD를 발현하는 유기체에서, 트레오닌 결합 부위 중 하나는 AK와 HSD 사이의 링커 영역에서 발견되며, 두 효소의 잠재적인 알로스테릭 조절을 시사한다.[6]그러나 생리학적으로 존재하는 것보다 훨씬 더 많은 농도의 트레오닌이 억제에 필요한 일부 트레오닌 내성 HSD 형태가 존재한다. 이러한 트레오닌에 둔감한 HSD 형태는 더 높은 영양 가치를 위해 트레오닌과 메티오닌 생산을 모두 증가시키기 위해 유전자 변형 작물에 사용된다.[6]
호모세린 탈수소효소는 또한 전사 조절을 받는다. 이 효소의 프로모터 서열은 다른 아미노산 생합성 경로와 관련된 것으로 알려진 시스 조절 요소 TGACTC 서열을 포함한다. Opaque2 조절 서열도 호모세린 탈수소효소 조절에 관여하는 것으로 추정되지만, 그 효과는 아직 잘 정의되지 않았다.[7]
식물에서 AK-HSD 유전자 발현의 환경적 조절 또한 존재한다. 빛 노출은 광합성과 관련하여 AK-HSD 유전자의 발현을 증가시키는 것으로 나타났다.[12][13]
5. 3. 환경적 조절
호모세린 탈수소효소와 아스파테이트 키나아제는 모두 상당한 조절을 받는다(그림 3 참조). HSD는 아스파테이트 대사 경로의 하위 생성물, 주로 트레오닌에 의해 억제된다. 트레오닌은 HSD와 아스파테이트 키나아제 모두에 대한 경쟁적 억제로 작용한다.[14] AK-HSD를 발현하는 유기체에서, 트레오닌 결합 부위 중 하나는 AK와 HSD 사이의 링커 영역에서 발견되며, 두 효소의 잠재적인 알로스테릭 조절을 시사한다.[6]
그러나 생리학적으로 존재하는 것보다 훨씬 더 많은 농도의 트레오닌이 억제에 필요한 일부 트레오닌 내성 HSD 형태가 존재한다. 이러한 트레오닌에 둔감한 HSD 형태는 더 높은 영양 가치를 위해 트레오닌과 메티오닌 생산을 모두 증가시키기 위해 유전자 변형 작물에 사용된다.[6]
호모세린 탈수소효소는 또한 전사 조절을 받는다. 이 효소의 프로모터 서열은 다른 아미노산 생합성 경로와 관련된 것으로 알려진 시스 조절 요소 TGACTC 서열을 포함한다. Opaque2 조절 서열도 호모세린 탈수소효소 조절에 관여하는 것으로 추정되지만, 그 효과는 아직 잘 정의되지 않았다.[7]
식물에서 AK-HSD 유전자 발현의 환경적 조절 또한 존재한다. 빛 노출은 광합성과 관련하여 AK-HSD 유전자의 발현을 증가시키는 것으로 나타났다.[12][13]
6. 질병 관련성
사람에게서 병원체인 곰팡이에 의한 질병이 크게 늘고 있어 항진균제 개발이 중요한 생화학적 과제가 되고 있다.[15] 호모세린 탈수소효소는 주로 식물, 세균, 효모에서 발견되며 포유류에서는 발견되지 않기 때문에 항진균제 약물 개발의 강력한 표적이 된다.[16]
6. 1. 효소 저해제
인간에게서 병원체 곰팡이에 의한 질병이 크게 증가하고 있으므로, 항진균제 개발은 중요한 생화학적 과제이다.[15] 호모세린 탈수소효소는 주로 식물, 세균, 효모에서 발견되며 포유류에서는 발견되지 않으므로 항진균제 약물 개발의 강력한 표적이다.[16] 최근 5-하이드록시-4-옥소노르발린(HON)이 HSD 활성을 비가역적으로 표적화하고 저해하는 것으로 밝혀졌다. HON은 아스파테이트 세미알데히드와 구조적으로 유사하여 HSD에 대한 경쟁적 저해제 역할을 하는 것으로 추정된다. 마찬가지로, (S) 2-아미노-4-옥소-5-하이드록시펜탄산(RI-331)은 또 다른 아미노산 유사체로서 HSD를 저해하는 것으로 나타났다.[16] 이 두 화합물은 특히 ''Cryptococcus neoformans''와 ''Cladosporium fulvum''에 효과적이다.[17]아미노산 유사체 외에도, 여러 페놀 화합물이 HSD 활성을 저해하는 것으로 나타났다. HON과 RI-331처럼, 이 분자들은 효소 활성 부위에 결합하는 경쟁적 저해제이다. 구체적으로, 페놀 수산기는 아미노산 결합 부위와 상호 작용한다.[15][18]
참조
[1]
논문
Evolutionary relationships between yeast and bacterial homoserine dehydrogenases
1993-06-01
[2]
논문
Evolutionary comparisons of three enzymes of the threonine biosynthetic pathway among several microbial species
[3]
논문
Lysine and threonine biosynthesis in sorghum seeds: characterisation of aspartate kinase and homoserine dehydrogenase isoenzymes
[4]
논문
Crystal structures of homoserine dehydrogenase suggest a novel catalytic mechanism for oxidoreductases
2000-03-01
[5]
논문
Mechanism of Control of ''Arabidopsis thaliana'' Aspartate Kinase-Homoserine Dehydrogenase by Threonine
http://prodinra.inra[...]
2003-02-01
[6]
논문
Threonine-insensitive Homoserine Dehydrogenase from Soybean: Genomic Organization, Kinetic Mechanism, and in vivo Activity
2010-01-01
[7]
논문
Molecular analysis of the aspartate kinase-homoserine dehydrogenase gene from ''Arabidopsis thaliana''
1994-03-01
[8]
논문
Preferred order random kinetic mechanism for homoserine dehydrogenase of ''Escherichia coli'' (Thr-sensitive) aspartokinase/homoserine dehydrogenase-I: Equilibrium Isotope Exchange Kinetics
1992-03-01
[9]
논문
Characterization of yeast homoserine dehydrogenase, an antifungal target: the invariant histidine 309 is important for enzyme integrity
2001-01-01
[10]
논문
Kinetic and Regulatory Mechanisms for ''Escherichia coli'' Homoserine Dehydrogenase-I: Equilibrium Isotope Exchange Kinetics
1993-03-01
[11]
논문
Analysis of the aspartic acid metabolic pathway using mutant genes
[12]
논문
Expression of an ''Arabidopsis Aspartate'' Kinase/Homoserine Dehydrogenase Gene Is Metabolically Regulated by Photosynthesis-Related Signals but Not by Nitrogenous Compounds
1998-03-01
[13]
논문
Expression of an Aspartate Kinase Homoserine Dehydrogenase Gene IS Subject to Specific Spatial and Temporal Regulation in Vegetative Tissues, Flowers, and Developing Seeds
1997-03-01
[14]
논문
Characteristics of methionine production by an engineered ''Corynebacterium glutamicum'' strain
2007-07-01
[15]
논문
Simultaneous In Vitro Assay of the First Four Enzymes in the Fungal Aspartate Pathway Identifies a New Class of Aspartate Kinase Inhibitor
2003-10-01
[16]
논문
Mechanism of action of an antifungal antibiotich, RI-331, (S) 2-amino-4-oxo-5-hydroxypentanoic acid; kinetics of inactivation of homoserine dehydrogenase from ''Saccharomyces cerevisiae''
1992-05-01
[17]
논문
Enzyme-Assisted Suicide: Molecular Basis for the Antifungal Activity of 5-Hydroxy-4-Oxonorvaline by Potent Inhibition of Homoserine Dehydrogenase
2003-10-01
[18]
논문
New phenolic inhibitors of yeast homoserine dehydrogenase
2004-07-01
본 사이트는 AI가 위키백과와 뉴스 기사,정부 간행물,학술 논문등을 바탕으로 정보를 가공하여 제공하는 백과사전형 서비스입니다.
모든 문서는 AI에 의해 자동 생성되며, CC BY-SA 4.0 라이선스에 따라 이용할 수 있습니다.
하지만, 위키백과나 뉴스 기사 자체에 오류, 부정확한 정보, 또는 가짜 뉴스가 포함될 수 있으며, AI는 이러한 내용을 완벽하게 걸러내지 못할 수 있습니다.
따라서 제공되는 정보에 일부 오류나 편향이 있을 수 있으므로, 중요한 정보는 반드시 다른 출처를 통해 교차 검증하시기 바랍니다.
문의하기 : help@durumis.com
