메티오닌
"오늘의AI위키"의 AI를 통해 더욱 풍부하고 폭넓은 지식 경험을 누리세요.
1. 개요
메티오닌은 단백질 생합성에 사용되는 필수 아미노산으로, 비극성, 지방족 화합물로 분류된다. 메티오닌은 표준 유전 부호에서 AUG 코돈에 의해 암호화되며, 단백질의 N-말단 위치에 위치하는 개시 코돈으로 사용된다. 식물과 미생물에서 아스파르트산 계열을 통해 생합성되며, 생체 내에서는 S-아데노실메티오닌(SAM-e)으로 전환되어 메틸기 공여체 역할을 한다. 또한, 메티오닌은 에틸렌 합성의 전구체로 사용되며, 화학적으로는 아크롤레인, 메테인싸이올, 사이안화물을 결합하여 합성할 수 있다. 필수 아미노산이므로 식품을 통해 섭취해야 하며, 계란, 고기, 생선 등에 풍부하게 함유되어 있다. 메티오닌은 섭취량에 따라 건강에 영향을 미칠 수 있으며, 결핍 시 백발, 항산화 기능 저하, 동맥경화증을 유발할 수 있고, 과다 섭취 시 암 성장을 촉진할 수 있다는 연구 결과도 있다. 메티오닌은 또한 개의 신장 결석 예방, 유기농 가금류 사료 보충, 해충 방제, 중독 치료 등에 사용될 수 있다.
더 읽어볼만한 페이지
- 황 함유 아미노산 - 시스테인
시스테인은 설프하이드릴기를 가진 아미노산의 일종으로, 단백질 구성 성분이며 다양한 생물학적 기능을 수행하고 식품, 제약, 퍼스널 케어 산업에서 활용된다. - 황 함유 아미노산 - 호모시스테인
호모시스테인은 시스테인과 유사한 아미노산으로, 혈중 농도가 높으면 다양한 질병의 위험 요소로 작용하며 비타민 B6, B9, B12 보충을 통해 관리하고, 한국에서는 신생아 선별 검사를 통해 선천성 호모시스틴뇨증을 진단한다. - 필수 아미노산 - 발린
발린은 헤르만 에밀 피셔가 카세인에서 처음 분리한 필수 아미노산으로, 체내 합성이 불가능하여 음식으로 섭취해야 하며, 에너지 대사, 인슐린 저항성, 조혈줄기세포 자가 재생 등에 관여하고 대사 과정 손상 시 특정 질환을 유발할 수 있다. - 필수 아미노산 - 히스티딘
히스티딘은 이미다졸 곁사슬을 가진 필수 아미노산으로, 효소 촉매 반응, 금속 이온과의 결합, 다른 생물학적 활성 아민으로의 전환 등 다양한 생물학적 역할을 수행하며, 성인의 경우 체중 1kg당 14mg이 권장된다. - 싸이오에터 - 클린다마이신
클린다마이신은 린코사마이드 계열의 항생제로, 혐기성 세균, 일부 그람 양성균 및 특정 원생생물에 효과가 있어 혐기성 감염, 골 및 관절 감염, 여드름, 말라리아, 톡소플라스마증 등의 치료에 사용되며 수의학에서도 활용된다. - 싸이오에터 - 몬테루카스트
몬테루카스트는 류코트리엔 수용체 길항제로서 천식, 알레르기성 비염, 두드러기 같은 알레르기 질환 치료에 사용되지만, 신경정신과적 부작용 위험으로 인해 블랙 박스 경고가 추가되었다.
2. 생화학적 특징
메티오닌은 단백질의 생합성에 사용되는 α-아미노산이다. 이것은 카복실기(생물학적 pH 조건에서 탈양성자화된 −COO− 형태), 카복실기에 상대적인 α-위치에 위치한 아미노기 (생물학적 pH 조건에서 양성자화된 형태) 및 ''S''-메틸 싸이오에터 곁사슬을 포함하며, 비극성, 지방족 아미노산으로 분류된다.
고세균 및 진핵생물의 세포핵 유전자에서 메티오
2. 1. 유전 부호
메티오닌은 표준 유전 부호에서 단일 코돈(AUG)에 의해서 암호화되는 단 두 개의 아미노산 중 하나(다른 하나는 UGG에 의해서 암호화되는 트립토판임)이다.[48][49] 이러한 코돈은 진화적 기원을 반영하며 다른 AU○ 코돈은 소수성 아미노산인 아이소류신을 암호화한다. 후생동물과 효모를 포함한 여러 생물체의 미토콘드리아 게놈에서 AUA 코돈은 메티오닌을 암호화하는 경우도 있다. 표준 유전 부호에서 AUA는 아이소류신을 암호화하고 각각의 tRNA(대장균에서 ileX)는 특이한 염기인 리시딘(세균) 또는 아그마티딘(고세균)을 사용하여 AUG를 구별한다.[13][14]메티오닌을 암호화하는 AUG는 가장 일반적인 개시 코돈이다. 개시 코돈은 AUG가 코작 공통염기서열일 때 단백질 번역의 개시를 리보솜에 알리는 메세지이다. 결과적으로 메티오닌은 진핵생물과 고세균에서의 번역 과정에서 단백질의 N-말단 위치에 보통 위치하지만, 번역 후 변형에 의해 제거될 수 있다. 세균에서는 ''N''-폼일메티오닌 유도체가 개시 아미노산으로 사용된다.
2. 2. 단백질 내 역할
시스테인과 함께 메티오닌은 황을 함유한 단백질생성성 아미노산이다.[43][44] 메티오닌 잔기는 메티오닌 설폭사이드[43]와 같이 산화환원반응의 센서로 작용하는 몇 가지 예외를 제외하고는 촉매 역할을 거의 하지 않는다.[44] 싸이오에터는 곁사슬의 황 원자와 방향족 아미노산 사이의 S/π 상호작용을 통해 단백질 구조 안정화에 기여하며, 이는 알려진 모든 단백질 구조의 1/3에서 나타난다.[44] 메티오닌은 노르류신으로 대체된 단백질 실험에서 그 효과가 거의 나타나지 않아, 구조적 역할이 미미함을 알 수 있다.[45]3. 생합성
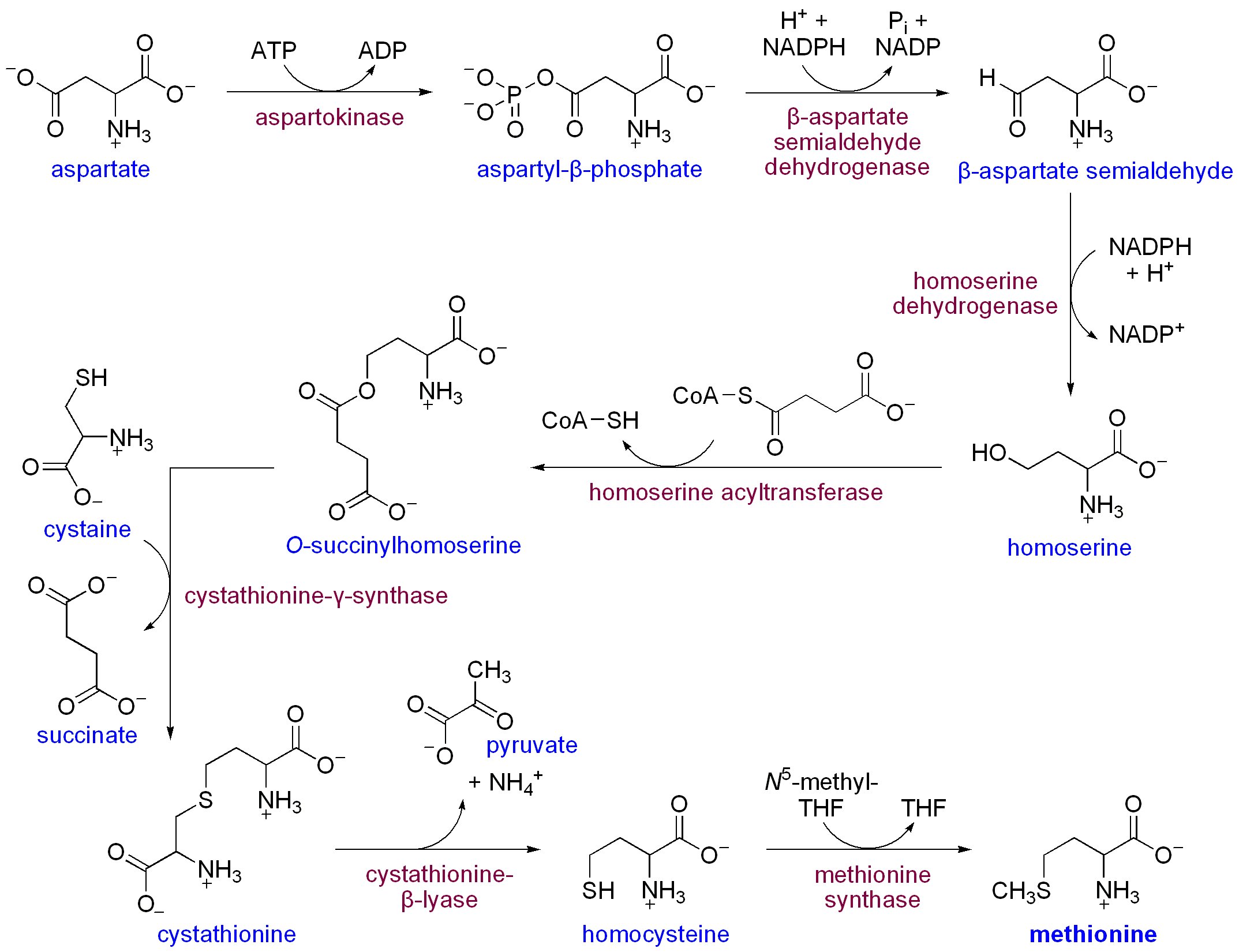
식물과 미생물에서 메티오닌 생합성은 아스파르트산 계열(다이아미노피멜산을 거치지만, α-아미노아디프산은 거치지 않음)에 속한다. 주 골격은 아스파르트산으로부터 유래하고, 황은 시스테인, 메테인싸이올 또는 황화 수소로부터 유래할 수 있다.[44]
- 먼저, 아스파르트산은 말단 카복실기의 두 단계에 걸친 환원에 의해 아스파르트산 β-세미알데하이드를 거쳐 호모세린으로 전환된다. 대사 중간생성물인 아스파르트산 β-세미알데하이드는 리신 생합성 경로와의 분기점이며, 리신 생합성에서는 환원되는 대신에 피루브산과 축합된다. 호모세린은 트레오닌 생합성 경로와의 분기점이며 트레오닌 생합성에서는 인산기(식물의 메티오닌 생합성에서도 사용됨)로 말단 하이드록실기를 활성화한 후 이성질체화된다.[44]
- 메티오닌 생합성에서 호모세린은 인산기, 석시닐기 또는 하이드록실기 상의 아세틸기로 활성화된다.
- * 식물과 일부 세균[44]에서는 인산기를 사용한다. 이 단계는 트레오닌 생합성에서도 사용된다.[44]
- * 대부분의 생물에서 아세틸기는 호모세린을 활성화하는 데 사용된다. 이는 metX 또는 metA(동족체가 아님)에 의해 암호화된 효소에 의해 세균에서 촉매될 수 있다.[44]
- * 장내세균과 제한된 수의 다름 생물에서는 석신산을 사용한다. 반응을 촉매하는 효소는 MetA이고 아세틸-CoA 및 석시닐-CoA에 대한 특이성은 단일 잔기에 의해 결정된다.[44]
- 그런 다음 하이드록실 활성화기는 시스테인, 메테인싸이올 또는 황화 수소로 치환된다. 치환 반응은 기술적으로 γ-제거 반응에 이은 마이클 반응의 변형이다. 관련된 모든 효소는 Cys/Met 대사 PLP-의존성 효소 패밀리의 상동체 및 구성원이며, 이는 PLP-의존성 접힘 I형 계통군의 하위 부류이다. 이들은 탄소 음이온 중간생성물을 안정화시켜 기능하는 보조 인자인 피리독살 인산(PLP)을 활용한다.[44]
- * 시스테인과 반응하면 시스타티오닌이 생성되고, 시스타티오닌은 절단되어 호모시스테인이 생성된다. 관련된 효소는 시스타티오닌 γ-생성효소(세균에서 metB에 의해 암호화됨) 및 시스타티오닌 β-분해효소(metC)이다. 시스타티오닌은 두 효소에서 다르게 결합되어 β 또는 γ 반응이 일어나도록 한다.[44]
- * 유리 황화 수소와 반응하면 호모시스테인이 생성된다. 이는 ''O''-아세틸호모세린 아미노카복시프로필트랜스퍼레이스(이전에는 ''O''-아세틸호모세린 (싸이올)-분해효소로 알려짐)에 의해 촉매된다. 이것은 세균에서 metY 또는 metZ에 의해 암호화된다.[44]
- * 메테인싸이올과 반응하면 직접적으로 메티오닌을 생성한다. 메테인싸이올은 특정 화합물의 분해 경로의 부산물이기 때문에, 이러한 경로는 흔하지 않다.[44]
- 호모시스테인이 생성되면 싸이올기가 메틸화되어 메티오닌이 생성된다. 두 가지 메티오닌 생성효소가 알려져 있는데, 하나는 코발라민(비타민 B12) 의존성이고 다른 하나는 코발라민 비의존성이다.[44]
시스테인을 사용하는 경로를 황전환 경로라고 하며, 황화 수소(또는 메테인싸이올)을 사용하는 경로를 직접 설퍼릴화 경로(direct-sulfurylation pathway)라고 한다.

[[파일:Folicacid-B12.png|thumb|500px|테트라히드로엽산 (THF)에 의한 대사와 비타민 B12에 의한 THF의 재생산, :de:Folsäure=엽산, DHF=디히드로엽산, THF=테트라히드로엽산, Vit.B12=비타민 B12, Methyl-Vit.B12=메틸코발라민, Methionin='''메티오닌''', Methionin Syntase=5-메틸테트라히드로엽산-호모시스테인 메틸트랜스퍼라제, Homocystein=호모시스테인, N5-Methyl-THF=5-메틸테트라히드로엽산, N5,N10-Methylene-THF=5,10-메틸렌테트라히드로엽산, N10-Formyl-THF=10-포르밀테트라히드로엽산, dUMP=데옥시유리딘 일인산, NADPH, DNA
3. 1. 황전환 경로
대장균에서 메티오닌 생합성의 황전환 경로는 먼저 호모세린이 활성화된 후, 시스테인과 반응하여 시스타티오닌을 거쳐 호모시스테인으로 전환되는 과정이다. 이 과정에 관여하는 효소들은 다음과 같다.# 호모세린 ''O''-석시닐기전이효소
# 시스타티오닌 γ-생성효소
# 시스타티오닌 β-분해효소
# 메티오닌 생성효소 (포유류에서 이 단계는 호모시스테인 메틸기전이효소 또는 베타인-호모시스테인 ''S''-메틸기전이효소에 의해 수행된다.)
3. 2. 직접 설퍼릴화 경로
4. 생체 내 대사
포유류는 메티오닌을 합성할 수 없지만, 다양한 생화학적 경로에서 메티오닌을 사용할 수 있다.
메티오닌은 (1) 메티오닌 아데노실기전이효소에 의해 ''S''-아데노실메티오닌(SAM-e)으로 전환된다.
메티오닌 유도체인 ''S''-아데노실메티오닌 (SAM-e)은 주로 메틸기 공여체 역할을 하는 보조 인자이다. ''S''-아데노실메티오닌은 메티오닌의 황에 (5' 탄소를 통해) 부착된 아데노실기로 구성되어 있으므로 설포늄 양이온(즉, 3개의 치환기 및 양전하)이 된다. 황은 보통 코발라민(사람의 경우 비타민 B12)과 같은 다른 보조 인자의 도움을 받아 ''S''-메틸기가 산소, 질소 또는 방향족 시스템으로 전달되도록 하는 무른 루이스 산(즉, 공여체/친전자체)으로 작용한다. 일부 효소들은 ''S''-아데노실메티오닌을 사용하여 라디칼 반응을 시작한다. 이들은 라디칼 ''S''-아데노실메티오닌 효소라고 불린다. 메틸기 전이의 결과로 ''S''-아데노실호모시스테인이 생성된다.
''S''-아데노실메티오닌은 (2) 다양한 메틸기전이효소에 의한 반응에서 메틸기 공여체 역할을 하며, ''S''-아데노실호모시스테인(SAH)으로 전환된다.
''S''-아데노실호모시스테인은 (3) 아데노실호모시스테이네이스에 의해 호모시스테인과 아데노신으로 가수분해된다.
세균에서 S-아데노실호모시스테인은 메틸화를 통해 재생되거나, 아데닌과 호모시스테인을 제거하고 회수하여 다이하이드록시펜탄다이온이 자발적으로 자가유도물질-2로 전환되도록 하고, 이는 노폐물/정족수 신호로 배설된다.
호모시스테인의 행선지는 두 가지가 있다. 하나는 메티오닌 신테이스 또는 BHMT에 의해 메티오닌으로 되돌아가는 경로이고, 다른 하나는 시스테인으로 전환되는 황전환 경로이다. 후자에서는, 먼저 시스타티오닌-β-신테이스에 의해 세린과 결합되어 시스타티오닌이 된다. 다음으로 (상기 생합성 과정에서는 시스타티오닌-β-리아제에 의해 분해되지만), 시스타티오닌-β-리아제에 의해 시스테인과 α-케토부티르산이 된다. 또한 α-케토산 탈수소효소에 의해 α-케토부티르산은 프로피오닐 CoA로 변환되고, 최종적으로 석시닐 CoA로 대사된다.
프로피오닐 CoA는 비오틴 의존성 효소인 프로피오닐 CoA 카르복실라제에 의해 (''S'')-메틸말로닐 CoA로 변환된다. 이 생성물은 추가로 메틸말로닐 CoA 에피머라제에 의해 (''R'')-메틸말로닐 CoA로 변환된다. (''R'')-메틸말로닐 CoA는, 메틸말로닐 CoA 뮤테이스에 의해 석시닐 CoA로 변환되지만, 이 효소는 탄소-탄소 결합의 이동을 촉매하기 위해 코발라민(비타민 B12)을 필요로 한다.
4. 1. 메티오닌 재생
S-아데노실메티오닌(SAM)은 다양한 메틸기전이효소에 의한 반응에서 메틸기 공여체 역할을 하며, S-아데노실호모시스테인(SAH)으로 전환된다. S-아데노실호모시스테인은 아데노실호모시스테이네이스에 의해 호모시스테인과 아데노신으로 가수분해된다. 호모시스테인은 메티오닌 생성효소 또는 베타인-호모시스테인 S-메틸기전이효소에 의해 다시 메티오닌으로 재생될 수 있다. 베타인-호모시스테인 S-메틸기전이효소는 간의 모든 가용성 단백질의 최대 1.5%를 차지하며, 최근의 증거에 따르면 베타인-호모시스테인 S-메틸기전이효소가 메티오닌 생성효소보다 메티오닌 및 호모시스테인의 항상성에 더 큰 영향을 미칠 수 있다.4. 2. 시스테인으로 전환 (리버스 황전환 경로)
호모시스테인은 시스테인으로 전환될 수 있다.- (5) 시스타티오닌 β-생성효소(피리독살 인산을 필요로 하는 효소)는 호모시스테인과 세린을 결합시켜 시스타티오닌을 생성한다.
- (6) 시스타티오닌 γ-분해효소는 시스타티오닌을 시스테인과 α-케토뷰티르산으로 분해한다.
- (7) α-케토산 탈수소효소는 α-케토뷰티르산을 프로피오닐-CoA로 전환시키고, 프로피오닐-CoA는 3단계 과정을 통해 석시닐-CoA로 대사된다.
4. 3. 에틸렌 합성 (양 회로)
메티오닌은 식물에서 에틸렌 합성의 전구체로 사용된다. 이러한 대사 과정은 양 회로(Yang cycle) 또는 메티오닌 회로라고 불린다.5. 화학적 합성
산업적 합성은 아크롤레인, 메테인싸이올(메탄티올) 및 사이안화물을 결합시켜 히단토인을 생성한다.[51][16] 라세미 메티오닌은 다이에틸 나트륨 프탈이미도말로네이트를 클로로에틸메틸설파이드(ClCH2CH2SCH3)로 알킬화한 후 가수분해 및 탈카복실화하여 합성할 수 있다.[52][17]
6. 사람의 영양
메티오닌은 필수 아미노산이므로 반드시 식품을 통해 섭취해야 한다.
메티오닌 보충에 대한 임상적 증거는 결정적이지 않다.[18] 메티오닌의 식단 제한은 뼈 관련 질환을 유발할 수 있다.[18]
메티오닌 보충은 구리 중독으로 고통받는 사람들에게 도움이 될 수 있다.[19]
DNA 메틸화의 메틸기 공여체인 메티오닌의 과다 섭취는 여러 연구에서 암 성장과 관련이 있다.[20][21]
== 권장 섭취량 ==
미국 의학 연구소의 식품 영양 위원회는 2002년에 필수 아미노산에 대한 권장 섭취량(RDA)을 설정했다.[53][22] 19세 이상 성인의 경우 메티오닌과 시스테인을 합하여 하루 체중 1kg당 19mg을 섭취하도록 권장된다.[53] 이는 체중 70kg인 성인의 경우 하루 약 1.33g에 해당한다.[22]
== 식품 공급원 ==
메티오닌은 계란, 고기, 생선, 참깨, 브라질너트, 기타 식물 씨앗, 시리얼 곡물에 함유되어 있다.[54] 대부분의 과일과 채소에는 아주 적은 양이 들어 있으며, 콩과 식물은 단백질 밀도가 높지만 메티오닌이 적다. 적정량의 메티오닌이 포함되지 않은 단백질은 완전 단백질로 간주되지 않는다.[54] 이러한 이유로 라세미 메티오닌은 때때로 애완 동물 사료의 성분으로 첨가된다.[55]
한국에서는 특히 깨, 콩, 닭고기, 쇠고기, 생선 등을 통해 메티오닌을 섭취할 수 있다. 그 외에도 시금치, 완두콩, 마늘, 특정 종류의 치즈, 옥수수, 피스타치오, 캐슈넛, 강낭콩, 두부, 템페 에도 메티오닌이 풍부하게 들어있다.
== 건강 관련 사항 ==
메티오닌은 필수 아미노산이지만, 섭취에 있어 주의가 필요하다. 메티오닌 결핍은 흰머리, 항산화 기능 저하, 동맥경화증 등을 유발할 수 있다.[73][74][75] 메티오닌 결핍은 모낭에 과산화 수소 축적을 유발하고 티로시네이스의 효과를 감소시켜 모발 색깔의 점진적인 손실로 이어진다.[73] 또한 메티오닌은 글루타티온의 세포 내 농도를 증가시켜 항산화 매개 세포 방어 및 산화환원 조절을 촉진하며, 산화 대사 산물과 결합하여 도파민으로 인한 흑색 세포 손실로부터 세포를 보호한다.[74] 메티오닌은 시스테인, 카르니틴, 타우린, 레시틴, 포스파티딜콜린 및 기타 인지질 생합성에서의 대사 중간생성물이며, 부적절한 전환은 호모시스테인의 축적으로 인한 죽상동맥경화증을 유발할 수 있다.[75]
반면, 메티오닌 과다 섭취는 일부 연구에서 암 성장을 촉진할 수 있다는 보고가 있으므로 주의해야 한다.[20][21]
메티오닌 제한은 쥐의 노화 관련 질병을 억제하고[64][65] 쥐의 결장암 발병을 억제한다.[66] 사람의 경우 식단 조절을 통한 메티오닌 제한은 식물성 식단을 통해 이루어질 수 있다.[67]
식이 메티오닌을 제한하면 이화 산물인 S-아데노실메티오닌(SAM-e)의 수준이 감소하여 후속적으로 히스톤의 메틸화가 감소한다.[68]
쥐에 대한 2009년의 연구는 "식이 요법에서 메티오닌을 보충하면 쥐의 간 미토콘드리아에서 미토콘드리아 활성산소의 생성과 미토콘드리아 DNA의 산화적 손상이 증가하여 간독성에 대한 그럴듯한 메커니즘을 제공한다"는 것을 보여주었다.[69]
그러나 메티오닌은 필수 아미노산이기 때문에 시간이 지남에 따라 질병이나 사망이 일어나지 않는 한 동물의 식단에서 완전히 제거될 수는 없다. 예를 들어 메티오닌과 콜린이 없는 식사를 한 쥐는 지방간염과 빈혈이 일어났으며, 5주 동안 체중의 2/3가 감소했다. 메티오닌의 투여는 메티오닌 결핍의 병리학적 결과를 개선했다.[70]
6. 1. 권장 섭취량
미국 의학 연구소의 식품 영양 위원회는 2002년에 필수 아미노산에 대한 권장 섭취량(RDA)을 설정했다.[53][22] 19세 이상 성인의 경우 메티오닌과 시스테인을 합하여 하루 체중 1kg당 19mg을 섭취하도록 권장된다.[53] 이는 체중 70kg인 성인의 경우 하루 약 1.33g에 해당한다.[22]6. 2. 식품 공급원
메티오닌은 계란, 고기, 생선, 참깨, 브라질너트, 기타 식물 씨앗, 시리얼 곡물에 함유되어 있다.[54] 대부분의 과일과 채소에는 아주 적은 양이 들어 있으며, 콩과 식물은 단백질 밀도가 높지만 메티오닌이 적다. 적정량의 메티오닌이 포함되지 않은 단백질은 완전 단백질로 간주되지 않는다.[54] 이러한 이유로 라세미 메티오닌은 때때로 애완 동물 사료의 성분으로 첨가된다.[55]
한국에서는 특히 깨, 콩, 닭고기, 쇠고기, 생선 등을 통해 메티오닌을 섭취할 수 있다. 그 외에도 시금치, 완두콩, 마늘, 특정 종류의 치즈, 옥수수, 피스타치오, 캐슈넛, 강낭콩, 두부, 템페 에도 메티오닌이 풍부하게 들어있다.
6. 3. 건강 관련 사항
메티오닌은 필수 아미노산이지만, 섭취에 있어 주의가 필요하다. 메티오닌 결핍은 흰머리, 항산화 기능 저하, 동맥경화증 등을 유발할 수 있다.[73][74][75] 메티오닌 결핍은 모낭에 과산화 수소 축적을 유발하고 티로시네이스의 효과를 감소시켜 모발 색깔의 점진적인 손실로 이어진다.[73] 또한 메티오닌은 글루타티온의 세포 내 농도를 증가시켜 항산화 매개 세포 방어 및 산화환원 조절을 촉진하며, 산화 대사 산물과 결합하여 도파민으로 인한 흑색 세포 손실로부터 세포를 보호한다.[74] 메티오닌은 시스테인, 카르니틴, 타우린, 레시틴, 포스파티딜콜린 및 기타 인지질 생합성에서의 대사 중간생성물이며, 부적절한 전환은 호모시스테인의 축적으로 인한 죽상동맥경화증을 유발할 수 있다.[75]반면, 메티오닌 과다 섭취는 일부 연구에서 암 성장을 촉진할 수 있다는 보고가 있으므로 주의해야 한다.[20][21]
메티오닌 제한은 쥐의 노화 관련 질병을 억제하고[64][65] 쥐의 결장암 발병을 억제한다.[66] 사람의 경우 식단 조절을 통한 메티오닌 제한은 식물성 식단을 통해 이루어질 수 있다.[67]
식이 메티오닌을 제한하면 이화 산물인 S-아데노실메티오닌(SAM-e)의 수준이 감소하여 후속적으로 히스톤의 메틸화가 감소한다.[68]
쥐에 대한 2009년의 연구는 "식이 요법에서 메티오닌을 보충하면 쥐의 간 미토콘드리아에서 미토콘드리아 활성산소의 생성과 미토콘드리아 DNA의 산화적 손상이 증가하여 간독성에 대한 그럴듯한 메커니즘을 제공한다"는 것을 보여주었다.[69]
그러나 메티오닌은 필수 아미노산이기 때문에 시간이 지남에 따라 질병이나 사망이 일어나지 않는 한 동물의 식단에서 완전히 제거될 수는 없다. 예를 들어 메티오닌과 콜린이 없는 식사를 한 쥐는 지방간염과 빈혈이 일어났으며, 5주 동안 체중의 2/3가 감소했다. 메티오닌의 투여는 메티오닌 결핍의 병리학적 결과를 개선했다.[70]
7. 기타 용도
DL-메티오닌은 개의 신장 결석 가능성을 줄이는 데 도움을 주는 보충제로 사용될 수 있다.[76][28] 메티오닌은 소변을 산성화시켜 퀴니딘의 소변 배설을 증가시킨다.[76][28] 요로 감염을 치료하는 데 사용되는 아미노글리코사이드 항생제는 알칼리성 조건에서 가장 잘 작용하며, 메티오닌 사용으로 인한 소변 산성화는 이러한 효과를 감소시킬 수 있다.[76][28] 따라서 개가 소변을 산성화시키는 식사를 섭취하고 있다면 메티오닌을 사용해서는 안 된다.[76][28]
메티오닌은 미국 유기농 인증 프로그램에 따라 유기농 가금류 사료의 보충제로 사용이 허용된다.[77][29]
메티오닌은 오렌지 작물에 대한 심각한 해충인 파필리오 크레스폰테스(''Papilio cresphontes'') 애벌레[78] 또는 자이언트 제비꼬리나비 애벌레[30]에 대한 무독성 살충제 옵션으로 사용될 수 있다.
8. 대사 질환
메티오닌 대사 관련 질환으로는 호모시스틴뇨증, 말론산 및 메틸말론산뇨 복합 증후군(CMAMMA), 메틸말론산혈증, 프로피온산혈증 등이 있다.
9. 의약품으로서의 이용
DL-메티오닌은 개의 신장 결석 발생 가능성을 줄이는 보충제로 투여되기도 하며, 소변을 산성화하여 퀴니딘의 배설을 증가시키기도 한다. 요로 감염 치료에 사용되는 아미노글리코사이드 항생제는 알칼리성 조건에서 효과적이므로, 메티오닌 사용으로 인한 소변 산성화는 그 효과를 감소시킬 수 있다. 따라서 개가 소변을 산성화하는 식단을 섭취하고 있다면 메티오닌을 사용해서는 안 된다.[28]
메티오닌은 미국 유기농 인증 프로그램에 따라 유기농 가금류 사료의 보충제로 허용된다.[29]
메티오닌은 오렌지 작물에 심각한 해충인 자이언트 제비꼬리나비 애벌레에 대한 비독성 살충제 옵션으로 사용될 수 있다.[30]
메티오닌은 화학 물질에 의한 중독 치료를 목적으로 1일 100mg에서 1000mg을 정맥 내에 주사하는 방법으로 사용될 수 있다.[33]
참조
[1]
문서
RubberBible62nd
[2]
서적
Data for Biochemical Research
Clarendon Press
1959
[3]
웹사이트
Nomenclature and Symbolism for Amino Acids and Peptides
http://www.chem.qmul[...]
IUPAC-IUB Joint Commission on Biochemical Nomenclature
2018-03-05
[4]
웹사이트
Methionine
https://en.oxforddic[...]
Oxford University Press
[5]
웹사이트
A Biographical Memoir of John Howard Mueller
http://www.nasonline[...]
National Academy of Sciences
1987
[6]
논문
On the Occurrence of a Sulphur-containing Amino acid in Yeast
http://dx.doi.org/10[...]
1925
[7]
논문
Amino acids biosynthesis and nitrogen assimilation pathways: a great genomic deletion during eukaryotes evolution
2011-12
[8]
Submitted manuscript
Redox modulation of cellular signaling and metabolism through reversible oxidation of methionine sensors in calcium regulatory proteins
https://zenodo.org/r[...]
2005-01
[9]
논문
Bacterial methionine biosynthesis
2014-08
[10]
논문
Global incorporation of norleucine in place of methionine in cytochrome P450 BM-3 heme domain increases peroxygenase activity
2003-09
[11]
논문
Norvaline and norleucine may have been more abundant protein components during early stages of cell evolution
2013-10
[12]
논문
Arginine as an evolutionary intruder into protein synthesis
1973-08
[13]
논문
Agmatine-conjugated cytidine in a tRNA anticodon is essential for AUA decoding in archaea
2010-04
[14]
논문
Codon and amino-acid specificities of a transfer RNA are both converted by a single post-transcriptional modification
1988-11
[15]
논문
A novel ''O''-phospho-L-serine sulfhydrylation reaction catalyzed by ''O''-acetylserine sulfhydrylase from ''Aeropyrum pernix'' K1
2003-09
[16]
간행물
[17]
간행물
"''dl''-Methionine"
[18]
논문
Methionine as a double-edged sword in health and disease: Current perspective and future challenges
[19]
웹사이트
Methionine
http://www.webmd.com[...]
[20]
논문
A review of methionine dependency and the role of methionine restriction in cancer growth control and life-span extension
[21]
논문
Methionine dependency and cancer treatment
[22]
서적
Dietary Reference Intakes for Energy, Carbohydrates, Fiber, Fat, Fatty Acids, Cholesterol, Protein, and Amino Acids
The National Academies Press
[23]
논문
Methionine metabolism in mammals
1990-05
[24]
서적
The Consumer's Guide to Dog Food: What's in Dog Food, Why It's There and How to Choose the Best Food for Your Dog
Howell Book House
1996
[25]
논문
Senile hair graying: H2O2-mediated oxidative stress affects human hair color by blunting methionine sulfoxide repair
2009-07
[26]
논문
Codrugs linking L-dopa and sulfur-containing antioxidants: new pharmacological tools against Parkinson's disease
[27]
논문
Homocysteine and cardiovascular disease
1998
[28]
뉴스
Methionine for Dogs uses and Side Effects
https://web.archive.[...]
critters360.com
2011-07-25
[29]
논문
Rules and Regulations
http://edocket.acces[...]
2011-03-14
[30]
논문
A novel biorational pesticide: efficacy of methionine against ''Heraclides (Papilio) cresphontes'', a surrogate of the invasive ''Princeps (Papilio) demoleus'' (Lepidoptera: Papilionidae)
2011-12
[31]
문서
RubberBible62nd
[32]
서적
Data for Biochemical Research
Clarendon Press
1959
[33]
웹사이트
L-メチオニン注射液
http://www.nippon-zo[...]
[34]
문서
RubberBible62nd
[35]
서적
Data for Biochemical Research
Clarendon Press
1959
[36]
웹인용
Nomenclature and Symbolism for Amino Acids and Peptides
http://www.chem.qmul[...]
IUPAC-IUB Joint Commission on Biochemical Nomenclature
2018-03-05
[37]
웹인용
Methionine
https://en.oxforddic[...]
Oxford University Press
[38]
웹인용
Methionine
http://www.webmd.com[...]
[39]
저널
A review of methionine dependency and the role of methionine restriction in cancer growth control and life-span extension
[40]
저널
Methionine dependency and cancer treatment
[41]
웹인용
A Biographical Memoir of John Howard Mueller
http://www.nasonline[...]
National Academy of Sciences
1987
[42]
저널
Amino acids biosynthesis and nitrogen assimilation pathways: a great genomic deletion during eukaryotes evolution
2011-12
[43]
저널
Redox modulation of cellular signaling and metabolism through reversible oxidation of methionine sensors in calcium regulatory proteins
https://zenodo.org/r[...]
2005-01
[44]
저널
Bacterial methionine biosynthesis
2014-08
[45]
저널
Global incorporation of norleucine in place of methionine in cytochrome P450 BM-3 heme domain increases peroxygenase activity
2003-09
[46]
저널
Norvaline and norleucine may have been more abundant protein components during early stages of cell evolution
2013-10
[47]
저널
Arginine as an evolutionary intruder into protein synthesis
1973-08
[48]
저널
Agmatine-conjugated cytidine in a tRNA anticodon is essential for AUA decoding in archaea
2010-04
[49]
저널
Codon and amino-acid specificities of a transfer RNA are both converted by a single post-transcriptional modification
1988-11
[50]
저널
A novel ''O''-phospho-L-serine sulfhydrylation reaction catalyzed by ''O''-acetylserine sulfhydrylase from ''Aeropyrum pernix'' K1
2003-09
[51]
간행물
[52]
간행물
''dl''-Methionine
[53]
서적
Dietary Reference Intakes for Energy, Carbohydrates, Fiber, Fat, Fatty Acids, Cholesterol, Protein, and Amino Acids
The National Academies Press
[54]
저널
Methionine metabolism in mammals
1990-05
[55]
서적
The Consumer's Guide to Dog Food: What's in Dog Food, Why It's There and How to Choose the Best Food for Your Dog
Howell Book House
1996
[56]
저널
Amino-acid imbalance explains extension of lifespan by dietary restriction in Drosophila
2009-12
[56]
웹인용
Longer lives for vegetarians?
http://www.nhs.uk/ne[...]
2009-12-03
[57]
저널
Methionine-deficient diet extends mouse lifespan, slows immune and lens aging, alters glucose, T4, IGF-I and insulin levels, and increases hepatocyte MIF levels and stress resistance
2005-06
[58]
저널
Growth hormone signaling is necessary for lifespan extension by dietary methionine
2014-12
[59]
저널
Metabolic adaptation of short-living growth hormone transgenic mice to methionine restriction and supplementation
2018-04
[60]
저널
Amino-acid imbalance explains extension of lifespan by dietary restriction in Drosophila
2009-12
[61]
잡지
Amino acid recipe could be right for long life
http://www.sciencene[...]
2009-12-02
[62]
저널
Endogenous hydrogen sulfide production is essential for dietary restriction benefits
2015-01
[63]
저널
Nutritional Regulation of Hepatic FGF21 by Dietary Restriction of Methionine
[64]
저널
Methionine restriction increases blood glutathione and longevity in F344 rats
1994-12
[65]
저널
Life-span extension in mice by preweaning food restriction and by methionine restriction in middle age
2009-07
[66]
저널
Methionine restriction inhibits colon carcinogenesis
2006
[67]
저널
A review of methionine dependency and the role of methionine restriction in cancer growth control and life-span extension
2012-10
[68]
저널
Methyl-Metabolite Depletion Elicits Adaptive Responses to Support Heterochromatin Stability and Epigenetic Persistence
2020-03-13
[69]
저널
Effect of methionine dietary supplementation on mitochondrial oxygen radical generation and oxidative DNA damage in rat liver and heart
2009-06
[70]
저널
Methionine deficiency and hepatic injury in a dietary steatohepatitis model
2008-03
[71]
논문
Short-term methionine deprivation improves metabolic health via sexually dimorphic, mTORC1-independent mechanisms
2018-01-01
[72]
논문
Methionine restriction prevents onset of type 2 diabetes in NZO mice
2019-03-06
[73]
논문
Senile hair graying: H2O2-mediated oxidative stress affects human hair color by blunting methionine sulfoxide repair
2009-07-01
[74]
논문
Codrugs linking L-dopa and sulfur-containing antioxidants: new pharmacological tools against Parkinson's disease
[75]
논문
Homocysteine and cardiovascular disease
1998-01-01
[76]
뉴스
Methionine for Dogs uses and Side Effects
https://web.archive.[...]
critters360.com
2011-07-25
[77]
논문
Rules and Regulations
http://edocket.acces[...]
2011-03-14
[78]
논문
A novel biorational pesticide: efficacy of methionine against ''Heraclides (Papilio) cresphontes'', a surrogate of the invasive ''Princeps (Papilio) demoleus'' (Lepidoptera: Papilionidae)
2011-12-01
본 사이트는 AI가 위키백과와 뉴스 기사,정부 간행물,학술 논문등을 바탕으로 정보를 가공하여 제공하는 백과사전형 서비스입니다.
모든 문서는 AI에 의해 자동 생성되며, CC BY-SA 4.0 라이선스에 따라 이용할 수 있습니다.
하지만, 위키백과나 뉴스 기사 자체에 오류, 부정확한 정보, 또는 가짜 뉴스가 포함될 수 있으며, AI는 이러한 내용을 완벽하게 걸러내지 못할 수 있습니다.
따라서 제공되는 정보에 일부 오류나 편향이 있을 수 있으므로, 중요한 정보는 반드시 다른 출처를 통해 교차 검증하시기 바랍니다.
문의하기 : help@durumis.com

