말토스
"오늘의AI위키"의 AI를 통해 더욱 풍부하고 폭넓은 지식 경험을 누리세요.
1. 개요
말토스는 2개의 포도당 분자가 결합된 이당류로, 맥아에서 처음 발견되었으며, "맥아"를 뜻하는 "malt"와 당을 의미하는 접미사 "-ose"의 합성어이다. 말토스는 탄수화물의 일종으로, 2분자의 포도당이 (1→4) 글리코사이드 결합으로 연결된 구조를 가지며, 환원당의 특성을 나타낸다. 말테이스 효소에 의해 포도당으로 분해되며, 단맛을 내지만 설탕보다 약한 단맛을 보인다. 맥아 외에도 말토덱스트린, 옥수수 시럽 등에서 발견되며, 인체 내에서는 말테이스에 의해 포도당으로 분해되어 에너지원으로 사용된다. 말토스는 식품 및 의약품 분야에서 감미료, 당뇨병 치료제, 전해질 수액 등에 활용된다.
더 읽어볼만한 페이지
- 이당류 - 락토스
락토스는 포유류의 젖에 존재하는 이당류로, 갈락토스와 글루코스의 결합으로 형성되며, 유청에서 얻어져 분유, 흑맥주 제조, 의약품 등에 사용된다. - 이당류 - 수크랄로스
수크랄로스는 설탕보다 약 600배 단맛을 내는 인공 감미료이며, 자당의 염소화 반응으로 합성되어 식품 및 음료에 사용되고, 체내에서 소화·흡수되지 않고 배설되어 생리적 열량이 0이다. - 녹말 - 찰옥수수
찰옥수수는 아밀로펙틴 함량이 높아 찰기가 있는 옥수수 종류로, 아시아에서 재발견되어 기원 논쟁을 일으켰으며, 현재는 식품 및 산업 분야에서 활용되고 품종 개량이 이루어지고 있다. - 녹말 - 아밀로펙틴
아밀로펙틴은 식물 녹말의 주요 구성 성분으로, 분지 구조를 가진 α-포도당 단위체 고분자이며, 에너지 저장 역할과 더불어 식품, 섬유, 의학 등 다양한 분야에서 활용된다. - 감미료 - 당밀
당밀은 사탕수수나 사탕무에서 설탕을 추출하는 과정에서 생기는 짙은 갈색의 시럽 부산물로, 끓이는 횟수에 따라 종류가 나뉘며 식품 및 산업 원료로 다양하게 활용된다. - 감미료 - 시럽
시럽은 설탕과 물을 섞어 만든 감미료로, 다양한 원료에서 추출하거나 농축하여 만들며, 요리, 음료, 제과 제빵 등에서 단맛과 풍미를 더하는 데 사용되지만, 최근 소비자 안전 관련 문제도 발생하고 있다.
| 말토스 - [화학 물질]에 관한 문서 |
|---|
2. 역사 및 어원
말토스는 오귀스탱 뒤브룅포(Augustin-Pierre Dubrunfaut)에 의해 발견되었지만, 이 발견은 1872년 아일랜드의 화학자이자 양조업자인 코르넬리우스 오설리번에 의해 확인되기 전까지는 널리 받아들여지지 않았다.[16][17] "말토스(maltose)"라는 이름은 맥아(malt)와 당과 다른 탄수화물의 이름에 사용되는 접미사 "-ose"의 결합에서 비롯되었다.[15]
탄수화물은 일반적으로 기본 구성 단위인 단당류의 개수에 따라 단당류, 이당류, 다당류로 나눠지는데, 말토스는 이당류이다. 포도당은 6개의 탄소 원자를 포함하는 단당류인 육탄당이다. 2분자의 포도당 단위체는 각각 피라노스 형태이며, 첫 번째 포도당의 1번 탄소(C-1)가 두 번째 포도당의 4번 탄소(C-4)와 O-글리코사이드 결합으로 연결되어 있고, (1→4)로 표시한다. 아노머 탄소(C-1)에 대한 글리코사이드 결합이 6번 탄소(첫 번째 포도당의 C-6)의 CH2OH 치환기와 고리 평면에 대해 서로 반대 쪽에 위치하고 있으면, 이러한 결합을 α-로 표시한다. 아노머 탄소(C-1)에 대한 글리코사이드 결합이 6번 탄소의 CH2OH 치환기와 고리 평면에 대해 서로 같은 쪽에 위치하고 있다면 β(1→4) 글리코사이드 결합으로 분류되고, 생성되는 분자는 셀로비오스이다. 글리코사이드 결합에 참여하지 않는 두 번째 포도당 분자의 아노머 탄소(C-1)에 결합된 하이드록시기와 같은 고리의 CH2OH 치환기의 방향에 따라 α-아노머 또는 β-아노머가 될 수 있고, 결과적으로 α-말토스 또는 β-말토스가 생성된다. 말토스의 계통명은 α-D-글루코피라노실-(1→4)-D-글루코피라노스이다.

중국에서 말토스의 제조와 사용은 상나라까지 거슬러 올라간다. 일본에서 말토스의 사용은 진무 천황 때로 기록되어 있다. 같은 동아시아권인 한국에서도 비슷한 시기에 중국을 통해 말토스의 제조와 사용이 전해진 것으로 추정된다.
3. 구조 및 명명법
아이소말토스는 말토스의 이성질체로 α(1→4) 글리코사이드 결합 대신에 α(1→6) 글리코사이드 결합을 갖고 있다. α(1→6) 글리코사이드 결합은 글리코젠과 아밀로펙틴의 가지 부위에서도 발견된다.
4. 특성

말토스는 포도당과 마찬가지로 환원당이며, 말테이스에 의해 2분자의 포도당으로 분해될 수 있다. 수용액에서 변광회전을 나타낸다.
말토스는 단맛이 나지만 농도에 따라 설탕 단맛의 약 30~60% 정도이다.[18] 10% 말토스 용액은 설탕 단맛의 35% 정도이다.[19]
4. 1. 물리적 특성 (일본어판 참고)
말토스는 포도당과 마찬가지로 환원당이다. 두 개의 포도당 단위 중 하나의 고리가 열려 자유로운 알데히드기를 제공할 수 있기 때문이다. 다른 하나는 배당 결합의 특성상 열릴 수 없다. 말토스는 효소 말타아제에 의해 포도당으로 분해될 수 있으며, 이는 배당 결합의 가수분해를 촉매한다.
수용액에서 말토스는 변광 회전 현상을 나타낸다. 이는 이성질체 α와 β가 아노머 탄소의 다른 입체 구조에 의해 형성되어 서로 다른 비선광도를 가지며, 수용액에서 이 두 형태가 평형 상태에 있기 때문이다. 말토스는 뵈르크 테스트(Woehlk test) 또는 메틸아민에 대한 피어런 테스트(Fearon's test)로 쉽게 검출할 수 있다.[7]
단맛이 있지만, 농도에 따라 설탕의 약 30~60% 정도의 단맛을 낸다.[8] 말토스 10% 용액은 설탕의 35% 단맛을 낸다.[9]
| 특성 | 값 |
|---|---|
| 분자량 | 342.30 |
| 융점 | 102~103℃ (1수화물), 108℃ (무수물) |
| 비선광도 | [α]D+111.7゜~+130.4゜ (1수화물), [α]D+123 (무수물) |
| 맛 | 설탕의 약 1/3 정도의 단맛 |
5. 공급원과 흡수

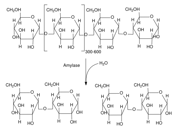
말토스는 곡물을 발아시키는 과정에서 얻어지는 물질인 맥아의 구성 성분이다. 또한 말토스는 말토덱스트린, 옥수수 시럽, 산처리 녹말과 같이 부분적으로 가수분해된 녹말 제품에서 매우 다양한 양으로 존재한다.[20]
사람의 경우 말토스는 말테이스에 의해 분해되어 2분자의 포도당을 생성한다. 생성된 포도당은 분해되어 에너지를 생산하거나 글리코젠으로 저장될 수 있다. 사람에서 수크레이스, 아이소말테이스가 결핍되면 수크로스 불내성을 야기할 수 있지만 4가지의 서로 다른 말테이스가 있기 때문에 완전한 말토스 불내성(maltose intolerance)은 매우 드물다.[21]
6. 응용
말토스는 의약품 및 식품 분야에서 다양하게 응용된다.
의약품 분야에서는 α-글루코시다아제 억제제를 통해 이당류에서 포도당으로의 전환을 억제하여 식후 고혈당을 방지하는 당뇨병 치료제로 사용된다. (베이신/베이신OD, 글루코바이, 세이블 등이 대표적이다.) 또한, 당을 포함한 전해질 수액에서 급격한 혈당 상승을 방지하기 위해 포도당 대신 말토스를 포함한 수액제가 사용된다. (솔라크트 TMR, 포타콜, 말렌톨, 락토린겔 M, 액티트 등이 있다.)
식품 분야에서는 포도당에 비해 마이야르 반응을 일으키기 어렵고, 가열에 의한 착색이 적으며, 결정화되기 어려운 특징이 있다. 또한 포도당과 풍미가 달라 사탕, 아이스크림 등 과자류나 쯔쿠다니 등 식품의 감미료로 설탕 대신 사용된다.
6. 1. 식품
말토스는 포도당에 비해 마이야르 반응을 일으키기 어렵고, 가열에 의한 착색이 적으며, 결정화되기 어렵다. 또한 포도당과 풍미가 다르다. 따라서 사탕, 아이스크림 등 과자류나 쯔쿠다니 등 식품의 감미료로 설탕 등을 대신하여 사용되는 경우가 있다.6. 2. 의약품
α-글루코시다아제에 의한 이당류에서 포도당으로의 전환을 억제하여 식후 고혈당을 방지하는 당뇨병 치료제가 여러 종류 출시되어 있다. (αGI 약제의 대표: 베이신/베이신OD, 글루코바이, 세이블)또한, 당을 포함한 전해질 수액에서도 급격한 혈당 상승을 방지하기 위해 포도당이 아닌 말토스를 포함한 수액제가 출시되어 있다. (말토스 첨가 수액제의 대표: 솔라크트 TMR, 포타콜, 말렌톨, 락토린겔 M, 액티트)
참조
[1]
기타
[2]
웹사이트
maltose
http://dictionary.re[...]
[3]
웹사이트
maltose
http://dictionary.ca[...]
[4]
서적
Organic and Biological Chemistry
https://books.google[...]
Cengage Learning
2015-01-02
[5]
서적
Proteins, Enzymes, Genes: The Interplay of Chemistry and Biology
https://books.google[...]
Yale University Press
2017-10-21
[6]
간행물
XXI.?On the transformation-products of starch
https://pubs.rsc.org[...]
2014-12-11
[7]
웹사이트
150 Years Alfred Wöhlk :: Education
http://www.chemistry[...]
2018-03-06
[8]
서적
Food Chemistry
https://books.google[...]
Springer Science & Business Media
2009-01-15
[9]
서적
Optimising Sweet Taste in Foods
https://books.google[...]
Woodhead Publishing
2006-07-17
[10]
서적
CRC Handbook of Food Additives, Second Edition
https://books.google[...]
CRC Press
1973-01-02
[11]
서적
The Australian Native Bee Book
Sugarbag Bees
2015-10-30
[12]
서적
Control of Glycogen Metabolism
https://books.google[...]
John Wiley & Sons
2009-09-16
[13]
기타
[14]
기타
[15]
서적
Organic and Biological Chemistry
https://books.google[...]
Cengage Learning
2015-01-02
[16]
서적
Proteins, Enzymes, Genes: The Interplay of Chemistry and Biology
https://books.google[...]
Yale University Press
2017-10-21
[17]
간행물
XXI.?On the transformation-products of starch
http://pubs.rsc.org/[...]
2014-12-11
[18]
서적
Food Chemistry
https://books.google[...]
Springer Science & Business Media
2009-01-15
[19]
서적
Optimising Sweet Taste in Foods
https://books.google[...]
Woodhead Publishing
2006-07-17
[20]
서적
CRC Handbook of Food Additives, Second Edition
https://books.google[...]
CRC Press
1973-01-02
[21]
서적
Control of Glycogen Metabolism
https://books.google[...]
John Wiley & Sons
2009-09-16
본 사이트는 AI가 위키백과와 뉴스 기사,정부 간행물,학술 논문등을 바탕으로 정보를 가공하여 제공하는 백과사전형 서비스입니다.
모든 문서는 AI에 의해 자동 생성되며, CC BY-SA 4.0 라이선스에 따라 이용할 수 있습니다.
하지만, 위키백과나 뉴스 기사 자체에 오류, 부정확한 정보, 또는 가짜 뉴스가 포함될 수 있으며, AI는 이러한 내용을 완벽하게 걸러내지 못할 수 있습니다.
따라서 제공되는 정보에 일부 오류나 편향이 있을 수 있으므로, 중요한 정보는 반드시 다른 출처를 통해 교차 검증하시기 바랍니다.
문의하기 : help@durumis.com