아르기닌
"오늘의AI위키"의 AI를 통해 더욱 풍부하고 폭넓은 지식 경험을 누리세요.
1. 개요
아르기닌은 1886년 독일 화학자에 의해 루피너스 루테우스에서 처음 분리된 아미노산이다. 생리학적 pH에서 양전하를 띠는 염기성 아미노산으로, 단백질을 구성하며, 요소 회로의 중간체로 암모니아 체내 해독을 돕는다. 아르기닌은 세포 분열, 상처 치유, 면역 기능, 호르몬 분비, 혈압 조절 등에 중요한 역할을 하며, 일산화 질소의 전구체로 혈관 확장에도 기여한다. 아르기닌은 조건부 필수 아미노산으로, 젤라틴, 발효 등을 통해 얻을 수 있으며, 육류, 유제품, 곡물 등에 함유되어 있다. L-아르기닌은 혈압 감소, 임신성 고혈압 여성의 이완기 혈압 감소에 효과가 있으며, 성장 호르몬 분비를 자극하는 데 사용되기도 한다.
더 읽어볼만한 페이지
- 염기성 아미노산 - 히스티딘
히스티딘은 이미다졸 곁사슬을 가진 필수 아미노산으로, 효소 촉매 반응, 금속 이온과의 결합, 다른 생물학적 활성 아민으로의 전환 등 다양한 생물학적 역할을 수행하며, 성인의 경우 체중 1kg당 14mg이 권장된다. - 염기성 아미노산 - 라이신
라이신은 단백질 생합성에 필수적인 아미노산으로, 두 가지 경로를 통해 생성되며, 식품을 통해 섭취해야 하고, 다양한 생물학적 역할을 수행하며 사료 첨가제로도 사용된다. - 요소 회로 - 요소 (화학)
요소는 화학식 CO(NH₂)₂을 가지는 무색무취의 결정성 화합물로, 포유류와 양서류의 소변에 다량 함유되어 있으며, 비료, 목재 패널 제조, 배기가스 저감, 단백질 연구 등 다양한 분야에 사용되고, 1828년 뵐러에 의해 무기물에서 합성된 최초의 유기 화합물이다. - 요소 회로 - 아스파르트산
아스파르트산은 아스파라거스에서 발견된 아미노산으로, L형은 단백질 생합성에 사용되고 흥분성 신경전달물질로 작용하며, 산업적으로는 생분해성 고분자, 감미료 등으로 활용된다. - 구아니딘 - 크레아티닌
크레아티닌은 근육 대사 산물로, 콩팥 기능을 평가하는 데 사용되는 혈액 및 소변 내 농도 지표이다. - 구아니딘 - 메트포르민
메트포르민은 제2형 당뇨병 환자의 혈당 조절을 위한 1차 치료제로 사용되며, 다낭성 난소 증후군 환자의 불임 치료에도 사용되는 약물이다.
| 아르기닌 - [화학 물질]에 관한 문서 | |
|---|---|
| 개요 | |
![]() | |
![]() | |
![]() | |
| IUPAC명 | 아르기닌 |
| 다른 이름 | 2-아미노-5-구아니디노펜탄산 |
| 식별 | |
| D | 7200-25-1 |
| L | 74-79-3 |
| L 염산염 | 1119-34-2 |
| PubChem | 6322 |
| ChemSpider | 6082 |
| UNII | 94ZLA3W45F |
| EINECS | 230-571-3 |
| DrugBank | DB00125 |
| KEGG | C02385 |
| MeSH명 | 아르기닌 |
| ChEBI | 29016 |
| ChEMBL | 1485 |
| RTECS | CF1934200 L |
| IUPHAR 리간드 | 721 |
| Beilstein | 1725411, 1725412 D, 1725413 L |
| Gmelin | 364938 D |
| 3DMet | B01331 |
| SMILES | C(C[C@@H](C(=O)O)N)CNC(=N)N |
| 표준 InChI | 1S/C6H14N4O2/c7-4(5(11)12)2-1-3-10-6(8)9/h4H,1-3,7H2,(H,11,12)(H4,8,9,10)/t4-/m0/s1 |
| 표준 InChIKey | ODKSFYDXXFIFQN-BYPYZUCNSA-N |
| 특성 | |
| 분자식 | C₆H₁₄N₄O₂ |
| 겉모습 | 흰색 결정 |
| 냄새 | 냄새 없음 |
| 녹는점 | 533 K |
| 끓는점 | 368 °C |
| 용해도 | 14.87 g/100 mL (20 °C) |
| 다른 용매에 대한 용해도 | 에탄올에 약간 용해됨, 에틸 에터에 불용성 |
| LogP | −1.652 |
| pKa | 2.18 (카복실기), 9.09 (아미노기), 13.8 (구아니디노기) |
| 열화학 | |
| 표준 생성 엔탈피 | −624.9–−622.3 kJ mol−1 |
| 표준 연소 엔탈피 | −3.7396–−3.7370 MJ mol−1 |
| 엔트로피 | 250.6 J K−1 mol−1 |
| 열용량 | 232.8 J K−1 mol−1 (23.7 °C) |
| 약리학 | |
| ATC 코드 (보충) | S |
| 위험성 | |
| GHS 신호어 | 경고 |
| LD50 | 5110 mg/kg (쥐, 경구) |
| 관련 화합물 | |
| 관련 작용기 | 알칸산 |
| 기타 관련 화합물 | N-메틸-D-아스파르트산 β-메틸아미노-L-알라닌 구아니디노프로피온산 테아닌 판토텐산 |
| 기타 화합물 | 판테놀 |
2. 역사
아르기닌은 1886년 독일의 화학자 에른스트 슐츠와 그의 조수 에른스트 슈타이거(Ernst Steiger)에 의해 루피누스 루테우스(''Lupinus luteus'')에서 처음으로 분리되었다.[57][58] 슐츠는 아르기닌 질산염 결정이 은백색으로 보이기 때문에 "은(silver)"을 의미하는 그리스어 "ἄργυρος (árgyros)"로부터 이름을 명명했다.[59] 1897년에 에른스트 슐츠와 에른스트 빈터슈타인(Ernst Winterstein, 1865–1949)은 아르기닌의 구조를 결정했다.[60] 1899년에 슐츠와 빈터슈타인은 오르니틴과 사이안아마이드로부터 아르기닌을 합성했지만,[61] 1910년에 쇠렌 페테르 라우리츠 쇠렌센이 아르기닌을 합성할 때까지 아르기닌의 구조에 대한 몇 가지 의구심이 있었다.[62][63]
아르기닌은 양전하를 띤 측쇄 아미노산으로, 염기성 아미노산의 한 종류이다. 단백질을 구성하는 아미노산 중 염기성이 가장 높다.[51] 당원성을 가진다.
아르기닌은 요소 회로의 중간체이며, 아르기나아제 (EC 3.5.3.1)에 의해 오르니틴과 요소로 분해된다.[51] 아르기나아제가 결핍되면 고아르기닌혈증이 나타날 수 있다.
아르기닌은 개인의 발달 단계와 건강 상태에 따라 준필수 아미노산 또는 조건부 필수 아미노산으로 분류된다.[66] 미숙아는 아르기닌을 합성할 수 없기 때문에 영양적으로 필수적이다.[67] 대부분의 건강한 사람들은 아르기닌이 모든 단백질 함유 식품의 구성 성분이며[68] 글루타민으로부터 시트룰린을 거쳐 체내에서 합성될 수 있기 때문에[69][70] 아르기닌을 보충할 필요가 없다. 그러나 화상, 부상 및 패혈증에서 회복하는 동안[70] 또는 아르기닌 생합성의 주요 부위인 소장과 콩팥의 기능이 저하된 경우와 같이 생리적 스트레스를 받은 사람에게는 추가적인 식이 아르기닌이 필요하다.[56]
아르기닌은 세포 분열, 상처 치유, 체내 암모니아 제거, 면역 기능[77], 호르몬 분비[66][78][79] 등 다양한 생리적 과정에서 중요한 역할을 한다. 산화 질소(NO) 합성의 전구체[80]로서 혈압 조절에 중요하며[81][82], T 세포 기능에 필수적이고 부족할 경우 조절 이상을 초래할 수 있다.[83][84]
정맥 주사로 투여된 아르기닌은 성장 호르몬 분비를 자극하기 때문에 성장 호르몬 자극 검사에 사용된다.[89][90] 임상 시험 결과, 경구 투여 아르기닌은 성장 호르몬을 증가시키지만, 운동과 관련하여 일반적으로 나타나는 성장 호르몬 분비는 감소시킨다는 결론이 나왔다.[91] 그러나 최근의 연구에서는 경구 아르기닌이 혈장 내 L-아르기닌 수치를 증가시키지만 성장 호르몬 증가는 유발하지 않는다고 보고했다.[92]
3. 성질
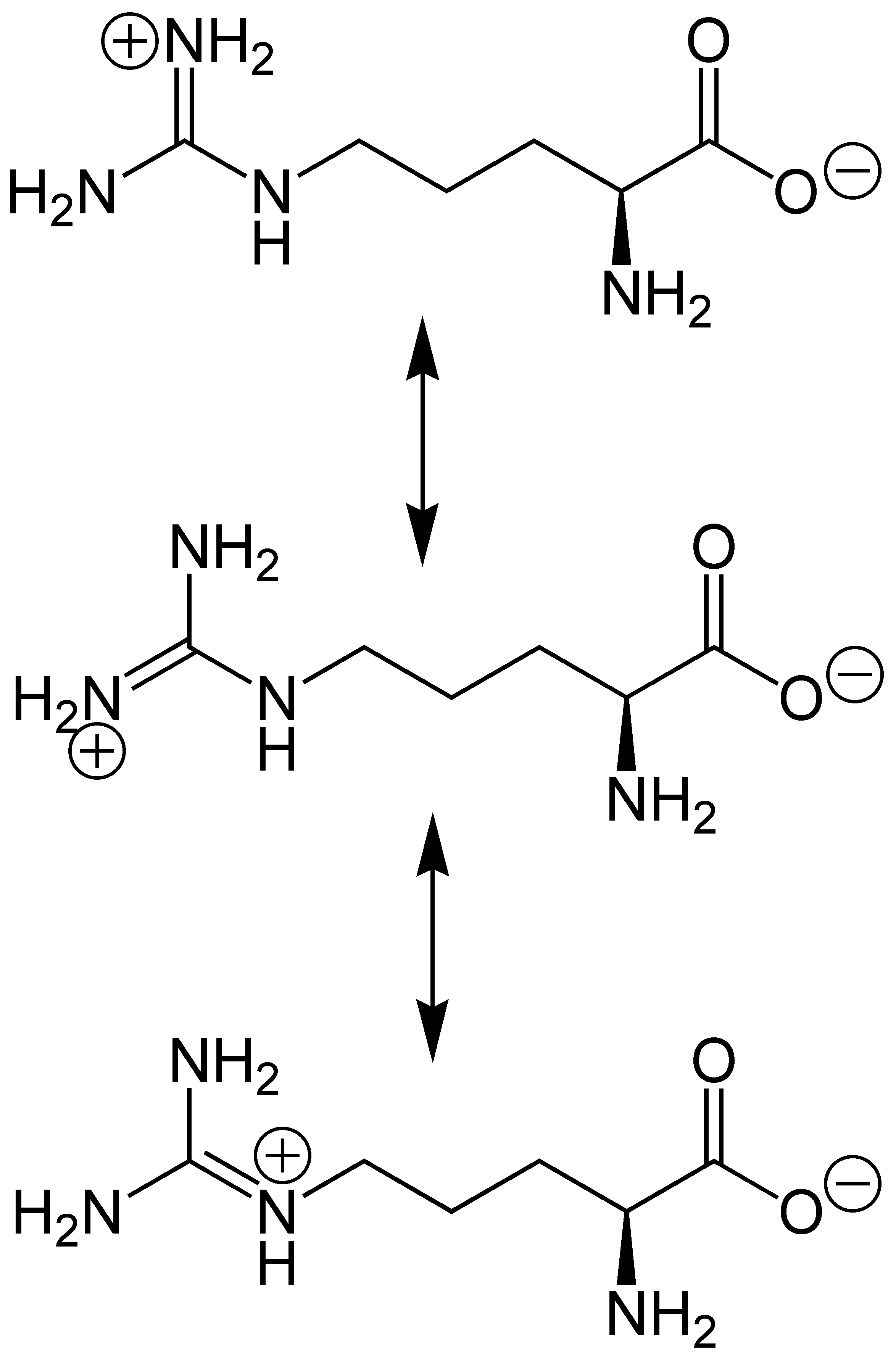
아르기닌의 아미노산 측쇄는 3개의 탄소로 이루어진 지방족 직쇄로 구성되며, 그 끝에는 구아니디늄기가 결합되어 있다. 구아니디늄기는 p''K''a 값이 13.8[37]이므로 생리적 pH에서는 항상 양성자화되어 양전하를 띠게 된다. 이중 결합과 질소 고립 전자쌍 사이의 공액으로 인해 양전하는 비편재화되어 여러 개의 수소 결합을 형성할 수 있다.
아르기닌의 측쇄는 생리적 pH에서 소수성 지방족 탄화수소 사슬 끝에 높은 극성을 띠는 양전하를 띤 구아니디늄기를 포함하고 있기 때문에 양친매성이다.[33] 구형 단백질은 소수성 내부와 친수성 표면을 가지고 있으므로,[33] 아르기닌은 일반적으로 단백질의 외부에서 발견되며, 친수성 머리 부분은 극성 환경과 상호 작용하여 예를 들어 수소 결합과 염다리에 참여할 수 있다.[34] 이러한 이유로 아르기닌은 두 단백질의 계면에서 자주 발견된다.[35] 측쇄의 지방족 부분은 때때로 단백질 표면 아래에 남아있기도 한다.[34]
단백질 내 아르기닌 잔기는 PAD 효소에 의해 시트룰린을 형성하도록 데이미네이션될 수 있으며, 이는 번역 후 변형 과정인 시트룰린화이다. 이 과정은 태아 발달에 중요하며, 정상적인 면역 과정과 유전자 발현 조절의 일부이지만, 자가면역 질환에서도 중요한 역할을 한다. 아르기닌의 또 다른 번역 후 변형은 단백질 메틸전이효소에 의한 메틸화를 포함한다.
4. 생합성 및 대사

체내에서 아르기닌은 시트룰린으로부터 합성되는데, 이 과정은 세포질 효소인 아르기니노석신산 생성효소와 아르기니노석신산 분해효소에 의해 순차적으로 촉매된다. 이 반응은 아데노신 삼인산(ATP)이 아데노신 일인산(AMP)으로 가수분해되면서 에너지를 소모한다.
아르기닌, 글루타민, 프롤린을 연결하는 경로는 양방향성이 있다. 따라서 이들 아미노산의 순 사용량 또는 생산량은 세포 유형과 발달 단계에 따라 크게 달라진다.
아르기닌 합성은 주로 장-신장 축을 통해 일어난다. 소장의 상피 세포는 글루타민과 글루탐산으로부터 시트룰린을 생성한다. 이 시트룰린은 혈류를 통해 콩팥의 근위세뇨관 세포로 운반되어 아르기닌으로 전환된 후 다시 순환계로 돌아간다. 따라서 소장이나 콩팥 기능이 손상되면 아르기닌 합성이 감소하여 식이 요구량이 증가할 수 있다.
시트룰린으로부터 아르기닌 합성은 다른 많은 세포에서도 낮은 수준으로 일어난다. 유도형 산화질소 합성효소(NOS)의 생성이 증가하는 상황에서 세포의 아르기닌 합성 능력은 현저히 증가할 수 있다. 이는 산화 질소 생성효소 촉매 생산의 부산물인 시트룰린이 시트룰린-산화 질소 경로 또는 아르기닌-시트룰린 경로를 통해 아르기닌으로 재순환될 수 있음을 보여준다. 그러나 시트룰린은 산화 질소 분해의 안정적인 최종 생성물인 질산염 및 아질산염과 함께 산화 질소 생성 세포에 축적되기 때문에 이러한 재순환은 정량적이지 않다.[76]
아르기닌은 시트르산 회로의 α-케토글루타르산에서 시작하여 글루탐산을 거쳐 오르니틴, 시트룰린으로 전환되는 과정을 통해 생합성될 수 있다.
또한, 아르기닌은 체내 대사 과정에서 산화 질소 생성효소(NOS)에 의해 일산화 질소(NO)를 생성한다. NO는 혈관을 확장시켜 혈액 순환을 촉진하는 역할을 한다. NO 생성에 의한 혈류 개선은 동맥경화 예방 및 개선, 신경계 및 면역계에 긍정적인 영향을 줄 수 있다.
5. 공급원
아르기닌은 전통적으로 젤라틴과 같은 다양하고 저렴한 단백질 공급원을 가수분해하여 얻는다.[64] 상업적으로는 발효를 통해 얻을 수 있는데, 이 방식으로 포도당을 탄소원으로 사용하여 리터당 25g~35g의 아르기닌을 생산할 수 있다.[65]
아르기닌의 동물성 공급원으로는 육류, 유제품, 계란 등이 있으며,[74][75] 식물성 공급원으로는 곡물, 콩, 견과류와 같은 모든 유형의 종자들이 있다.[75]
6. 기능 및 역할
단백질 내 아르기닌 잔기는 번역 후 변형 과정에서 PAD 효소에 의해 탈이민화되어 시트룰린화를 통해 시트룰린을 형성할 수 있다. 이는 태아 발달과 정상적인 면역 과정, 유전자 발현의 조절에 중요하며, 자가면역 질환과도 관련이 있다. 또한 아르기닌은 메틸기전이효소에 의해 메틸화될 수 있다.
아르기닌은 2차 전령으로 작용하는 신호전달 분자인 산화 질소(NO)의 직접적인 전구체이며, 혈관 확장을 조절하고 감염에 대한 면역계 반응에 관여한다.
또한 요소, 오르니틴, 아그마틴의 전구체이며, 크레아틴 합성에 필요하다. 폴리아민 합성에도 사용될 수 있는데, 주로 오르니틴을 통해, 그리고 이보다 덜한 정도지만 아그마틴, 시트룰린, 글루탐산을 통해서도 가능하다. 비대칭성 다이메틸아르기닌(ADMA)은 일산화 질소 반응을 저해하므로 혈관 질환의 표지자로, L-아르기닌은 건강한 내피의 표지자로 간주된다.
7. 연구 및 의학적 용도
메타 분석 결과, L-아르기닌은 수축기 혈압 5.4mmHg, 이완기 혈압 2.7mmHg 감소 효과를 보였다.[98]
L-아르기닌 보충은 임신중 고혈압 여성, 특히 전자간증으로 인한 고혈압 여성의 경우 이완기 혈압을 낮추고 임신 기간을 연장시켰다. 그러나 수축기 혈압을 낮추거나 출생 시 체중을 개선하지는 않았다.[99]
조현병으로 사망한 사람들의 뇌 조직에서는 액체 크로마토그래피 및 액체 크로마토그래피/질량 분석법 분석 결과 아르기닌 대사가 변화된 것으로 나타났다. 분석 결과 조현병 환자의 경우 γ-아미노뷰티르산(GABA) 수치는 유의미하게 감소했지만, 아그마틴 농도와 글루탐산/GABA 비율은 증가한 것으로 확인되었다. 회귀 분석 결과 아르기네이스 활성과 질병 발병 연령, 그리고 L-오르니틴 수치와 질병 지속 기간 사이에 양의 상관관계가 있는 것으로 나타났다. 또한 군집 분석 결과 L-아르기닌과 주요 대사산물인 L-시트룰린, L-오르니틴, 아그마틴이 서로 다른 그룹을 형성했으며, 이 그룹들이 조현병 그룹에서 변화된 것으로 나타났다. 그럼에도 불구하고 조현병의 생물학적 기전은 여전히 잘 이해되지 않고 있으며, 도파민 기능항진, 글루탐산성 기능저하, GABA성 결핍, 콜린성 시스템 기능장애, 스트레스 취약성, 신경발달 장애 등 여러 요인들이 이 질병의 원인 및/또는 병태생리와 관련되어 있다.[100]
경구 L-아르기닌은 레이노 현상에서 손가락 괴사를 역전시키는 것으로 나타났다.[101]
7. 1. 단순포진 바이러스 (구순포진)
1964년 사람 세포에서 단순포진 바이러스의 아미노산 요구량에 대한 연구에 따르면 "...아르기닌이나 히스티딘의 결핍, 그리고 아마도 리신의 존재는 바이러스의 합성을 현저하게 방해할 것"이지만 "이러한 관찰에 대한 설명이 준비되어 있지 않다"고 결론지었다.[93]
더 많은 의학적 증거는 "더 많은 아르기닌을 흡수하면 아르기닌과 리신의 신체 균형을 방해하여 간접적으로 구순 포진을 유발할 수 있다"는 것을 나타내고 있다.[94][95]
추가적인 리뷰에서는 "구순포진에 대한 리신의 효능은 치료보다 예방에 더 있을 수 있다"라고 결론지었다. 그리고 "발병의 심각성이나 지속 기간을 줄이기 위한 리신의 사용"은 지원되지 않지만 추가적인 연구가 필요하다.[96] 2017년의 연구에 따르면 "임상사는 단순포진 염증 예방에 리신 보충의 이론적 역할이 있음을 환자에게 조언하는 것을 고려할 수 있지만 연구의 증거는 이를 뒷받침하기에 충분하지 않다. 심혈관 또는 담낭 질환이 있는 환자는 주의를 기울여야 하며, 이론적 위험에 대해 경고해야 한다.[97]
8. 안전성
L-아르기닌은 하루 최대 20g까지 섭취해도 일반적으로 안전하다고 인정받는다(GRAS 등급).[102][49] L-아르기닌은 생선, 가금류, 유제품 등 여러 식품에 들어 있으며, 건강기능식품으로도 쓰인다.[50] 다만, 다양한 처방약 및 허브 보충제와 상호작용할 수 있으므로 주의해야 한다.[50]
L-아르기닌은 비교적 안전한 물질로 여겨지며, 동물 실험 및 인체 대상 연구 결과는 아래와 같다.
참조
[1]
웹사이트
Nomenclature and Symbolism for Amino Acids and Peptides
http://www.chem.qmul[...]
IUPAC-IUB Joint Commission on Biochemical Nomenclature
2018-03-05
[2]
웹사이트
Nomenclature and Symbolism for Amino Acids and Peptides
http://www.chem.qmul[...]
2007-05-17
[3]
서적
Nitric Oxide: Biology and Pathobiology
https://books.google[...]
Academic Press
2000-09-13
[4]
논문
IUPAC-IUB Commission on Biochemical Nomenclature A One-Letter Notation for Amino Acid Sequences
https://www.jbc.org/[...]
1968-07-10
[5]
웹사이트
Biographie von Ernst Schulze
http://www.arginium.[...]
2015-07-00
[6]
논문
Ueber das Arginin
https://babel.hathit[...]
1887-00-00
[7]
웹사이트
BIOETYMOLOGY: ORIGIN IN BIO-MEDICAL TERMS: arginine (Arg R)
https://bioetymology[...]
2019-07-25
[8]
논문
Ueber ein Spaltungs-product des Arginins
https://zenodo.org/r[...]
1897-09-00
[9]
논문
Ueber die Constitution des Arginins
https://zenodo.org/r[...]
1899-10-00
[10]
서적
Organic Chemistry for Advanced Students, Part 3
https://books.google[...]
Longmans, Green & Co.
1919-00-00
[11]
논문
Über die Synthese des ''dl''-Arginins (α-Amino-δ-guanido-''n''-valeriansäure) und der isomeren α-Guanido-δ-amino-''n''-valeriansäure
https://zenodo.org/r[...]
1910-01-00
[12]
논문
d-Arginine Hydrochloride
[13]
백과사전
Amino Acids
[14]
논문
L-Arginine
2002-11-00
[15]
논문
Arginine deficiency in preterm infants: biochemical mechanisms and nutritional implications
2004-08-00
[16]
웹사이트
Drugs and Supplements Arginine
http://www.mayoclini[...]
2015-01-15
[17]
서적
Dietitian's Handbook of Enteral and Parenteral Nutrition
https://books.google[...]
Jones & Bartlett Learning
1998-00-00
[18]
서적
Enteral Nutrition
https://books.google[...]
Jones & Bartlett Learning
1994-00-00
[19]
서적
A Biochemical Approach to Nutrition
https://books.google[...]
Springer Science & Business Media
2012-12-06
[20]
서적
Nutrient Requirements of Dogs
https://books.google[...]
National Academies Press
1985-00-00
[21]
서적
Nutrition and Disease Management for Veterinary Technicians and Nurses
https://books.google[...]
John Wiley & Sons
2015-06-11
[22]
서적
Nutrition for Sport, Exercise, and Health
https://books.google[...]
Human Kinetics
2017-08-30
[23]
서적
Bioactive Dietary Factors and Plant Extracts in Dermatology
https://books.google[...]
Springer Science & Business Media
2012-11-28
[24]
논문
Enzymes of arginine metabolism
2004-10-00
[25]
서적
The Metabolic Challenges of Immune Cells in Health and Disease
https://books.google[...]
Frontiers Media SA
2015-07-13
[26]
논문
Arginine supplementation and wound healing
2005-02-00
[27]
논문
Arginine physiology and its implication for wound healing
[28]
논문
Enzymatic function of nitric oxide synthases
1999-08-00
[29]
논문
L-arginine and hypertension
2004-10-00
[30]
논문
Upregulation of colonic luminal polyamines produced by intestinal microbiota delays senescence in mice
2014-00-00
[31]
논문
Understanding the association of stem cells in fetal development and carcinogenesis during pregnancy
2022-07-01
[32]
논문
l-arginine availability regulates T-lymphocyte cell-cycle progression
https://doi.org/10.1[...]
2006-10-05
[33]
서적
Biochemistry
https://archive.org/[...]
Benjamin Cummings
2000-00-00
[34]
서적
Bioinformatics for Geneticists: A Bioinformatics Primer for the Analysis of Genetic Data
https://books.google[...]
John Wiley & Sons
2007-04-16
[35]
서적
Protein-protein Recognition
https://books.google[...]
Oxford University Press
2000-00-00
[36]
저널
Arginine and Endothelial Function
2020-08-00
[37]
저널
Arginine: Its pKa value revisited
2015-05-00
[38]
MedlinePlusEncyclopedia
Growth hormone stimulation test
[39]
저널
Arginine stimulates growth hormone secretion by suppressing endogenous somatostatin secretion
1988-12-00
[40]
저널
Growth hormone, arginine and exercise
2008-01-00
[41]
저널
The acute effects of a low and high dose of oral L-arginine supplementation in young active males at rest
2011-06-00
[42]
저널
Amino Acid Requirements of Herpes Simplex Virus in Human Cells
1964-03-00
[43]
저널
Lysine for management of herpes labialis
2001-02-00
[44]
저널
Lysine for Herpes Simplex Prophylaxis: A Review of the Evidence
2017-06-00
[45]
저널
Effect of oral L-arginine supplementation on blood pressure: a meta-analysis of randomized, double-blind, placebo-controlled trials
2011-12-00
[46]
저널
Arginine supplementation for improving maternal and neonatal outcomes in hypertensive disorder of pregnancy: a systematic review
2014-03-00
[47]
저널
Altered brain arginine metabolism in schizophrenia
2016-08-00
[48]
저널
Oral L-arginine can reverse digital necrosis in Raynaud's phenomenon
https://pubmed.ncbi.[...]
2003-02-00
[49]
저널
Risk assessment for the amino acids taurine, L-glutamine and L-arginine
2008-04-00
[50]
웹사이트
L-Arginine
https://medlineplus.[...]
MedlinePlus, US National Institutes of Health
2021-10-13
[51]
웹사이트
アルギニン
https://hfnet.jp/601[...]
2013-11-04
[52]
저널
Opinion of the Scientific Panel on Additives and Products or Substances used in Animal Feed on the safety and efficacy of the product containing L-arginine produced by fermentation from Corynebacterium glutamicum (ATCC-13870) for all animal species
http://www.efsa.euro[...]
[53]
저널
Risk assessment for the amino acids taurine, L-glutamine and L-arginine
[54]
웹인용
Nomenclature and Symbolism for Amino Acids and Peptides
http://www.chem.qmul[...]
IUPAC-IUB Joint Commission on Biochemical Nomenclature
2018-03-05
[55]
웹인용
Nomenclature and Symbolism for Amino Acids and Peptides
http://www.chem.qmul[...]
2007-05-17
[56]
서적
Nitric Oxide: Biology and Pathobiology
https://books.google[...]
Academic Press
2000-09-13
[57]
웹인용
Biographie von Ernst Schulze
http://www.arginium.[...]
2017-11-06
[58]
저널
Ueber das Arginin
https://babel.hathit[...]
1887-00-00
[59]
웹인용
BIOETYMOLOGY: ORIGIN IN BIO-MEDICAL TERMS: arginine (Arg R)
https://bioetymology[...]
2019-07-25
[60]
저널
Ueber ein Spaltungs-product des Arginins
https://zenodo.org/r[...]
1897-09-00
[61]
저널
Ueber die Constitution des Arginins
https://zenodo.org/r[...]
1899-10-00
[62]
저널
Über die Synthese des ''dl''-Arginins (α-Amino-δ-guanido-''n''-valeriansäure) und der isomeren α-Guanido-δ-amino-''n''-valeriansäure
https://zenodo.org/r[...]
1910-01-00
[63]
서적
Organic Chemistry for Advanced Students, Part 3
https://books.google[...]
Longmans, Green & Co.
1919-00-00
[64]
저널
d-Arginine Hydrochloride
[65]
Ullmann
Amino Acids
[66]
저널
L-Arginine
2002-11-00
[67]
저널
Arginine deficiency in preterm infants: biochemical mechanisms and nutritional implications
2004-08-00
[68]
웹사이트
Drugs and Supplements Arginine
http://www.mayoclini[...]
2015-01-15
[69]
서적
Dietitian's Handbook of Enteral and Parenteral Nutrition
https://books.google[...]
Jones & Bartlett Learning
1998-00-00
[70]
서적
Enteral Nutrition
https://books.google[...]
Jones & Bartlett Learning
1994-00-00
[71]
서적
A Biochemical Approach to Nutrition
https://books.google[...]
Springer Science & Business Media
2012-12-06
[72]
서적
Nutrient Requirements of Dogs
https://books.google[...]
National Academies Press
1985
[73]
서적
Nutrition and Disease Management for Veterinary Technicians and Nurses
https://books.google[...]
John Wiley & Sons
2015-06-11
[74]
서적
Nutrition for Sport, Exercise, and Health
https://books.google[...]
Human Kinetics
2017-08-30
[75]
서적
Bioactive Dietary Factors and Plant Extracts in Dermatology
https://books.google[...]
Springer Science & Business Media
2012-11-28
[76]
저널
Enzymes of arginine metabolism
2004-10
[77]
서적
The Metabolic Challenges of Immune Cells in Health and Disease
https://books.google[...]
Frontiers Media SA
2015-07-13
[78]
저널
Arginine supplementation and wound healing
2005-02
[79]
저널
Arginine physiology and its implication for wound healing
[80]
저널
Enzymatic function of nitric oxide synthases
1999-08
[81]
저널
L-arginine and hypertension
2004-10
[82]
저널
Upregulation of colonic luminal polyamines produced by intestinal microbiota delays senescence in mice
2014
[83]
저널
Understanding the association of stem cells in fetal development and carcinogenesis during pregnancy
https://www.scienced[...]
2022-07-01
[84]
저널
l-arginine availability regulates T-lymphocyte cell-cycle progression
https://doi.org/10.1[...]
2006-10-05
[85]
서적
Biochemistry
https://archive.org/[...]
Benjamin Cummings
2000
[86]
서적
Bioinformatics for Geneticists: A Bioinformatics Primer for the Analysis of Genetic Data
https://books.google[...]
John Wiley & Sons
2007-04-16
[87]
서적
Protein-protein Recognition
https://books.google[...]
Oxford University Press
2000
[88]
저널
Arginine: Its pKa value revisited
2015-05
[89]
저널
Arginine stimulates growth hormone secretion by suppressing endogenous somatostatin secretion
1988-12
[90]
MedlinePlusEncyclopedia
Growth hormone stimulation test
[91]
저널
Growth hormone, arginine and exercise
2008-01
[92]
저널
The acute effects of a low and high dose of oral L-arginine supplementation in young active males at rest
2011-06
[93]
저널
Amino Acid Requirements of Herpes Simplex Virus in Human Cells
1964-03
[94]
웹인용
High-arginine foods: Sources, benefits, and risks
https://www.medicaln[...]
2018-10-04
[95]
웹인용
L-Arginine: MedlinePlus Supplements
https://medlineplus.[...]
[96]
저널
Lysine for management of herpes labialis
2001-02
[97]
저널
Lysine for Herpes Simplex Prophylaxis: A Review of the Evidence
2017-06
[98]
저널
Effect of oral L-arginine supplementation on blood pressure: a meta-analysis of randomized, double-blind, placebo-controlled trials
2011-12
[99]
저널
Arginine supplementation for improving maternal and neonatal outcomes in hypertensive disorder of pregnancy: a systematic review
2014-03
[100]
저널
Altered brain arginine metabolism in schizophrenia
2016-08
[101]
저널
Oral L-arginine can reverse digital necrosis in Raynaud's phenomenon
https://pubmed.ncbi.[...]
2003-02
[102]
저널
Risk assessment for the amino acids taurine, L-glutamine and L-arginine
2008-04
본 사이트는 AI가 위키백과와 뉴스 기사,정부 간행물,학술 논문등을 바탕으로 정보를 가공하여 제공하는 백과사전형 서비스입니다.
모든 문서는 AI에 의해 자동 생성되며, CC BY-SA 4.0 라이선스에 따라 이용할 수 있습니다.
하지만, 위키백과나 뉴스 기사 자체에 오류, 부정확한 정보, 또는 가짜 뉴스가 포함될 수 있으며, AI는 이러한 내용을 완벽하게 걸러내지 못할 수 있습니다.
따라서 제공되는 정보에 일부 오류나 편향이 있을 수 있으므로, 중요한 정보는 반드시 다른 출처를 통해 교차 검증하시기 바랍니다.
문의하기 : help@durumis.com
