허버트 C. 브라운
"오늘의AI위키"의 AI를 통해 더욱 풍부하고 폭넓은 지식 경험을 누리세요.
1. 개요
허버트 C. 브라운은 붕소 화학 분야에 기여한 미국의 화학자이다. 런던에서 태어나 시카고 대학교에서 학위를 받았으며, 2차 세계 대전 중 붕소 수소화 나트륨(NaBH4)을 개발하여 유기 화학 발전에 기여했다. 그는 수소붕소화-산화 반응을 발견하고, 비대칭 순수 에난티오머를 생산하는 방법을 개발했으며, 1979년 노벨 화학상을 수상했다. 브라운은 92세로 사망하기 전까지 66년 동안 1300편에 달하는 논문을 발표하며 활발한 연구 활동을 펼쳤다.
더 읽어볼만한 페이지
- 웨인 주립 대학교 교수 - 에드먼드 게티어
미국의 철학자 에드먼드 게티어는 "정당화된 참된 믿음"이 지식의 필요충분조건인지에 대한 문제를 제기한 논문으로 유명하며, 이 논문은 '게티어 문제'를 야기하여 인식론 연구에 큰 영향을 미쳤다. - 웨인 주립 대학교 교수 - 존 하사니
존 하사니는 헝가리 태생의 미국 경제학자로, 비협력 게임 이론에 대한 공헌으로 노벨 경제학상을 수상했으며, 불완전 정보 게임 분석을 위한 프레임워크 구축, 규칙 공리주의 옹호, 군비 통제 분야에 게임 이론적 분석을 제공하는 등 다양한 업적을 남겼다. - 우크라이나계 잉글랜드인 - 해럴드 핀터
해럴드 핀터는 20세기 후반 영국의 대표적인 극작가이자 시인, 각본가, 연출가, 배우로서 부조리극의 대가로 평가받으며 '위협의 코미디'라는 독특한 장르를 개척했고, 사회 비판적 시각을 인정받아 2005년 노벨 문학상을 수상했다. - 우크라이나계 잉글랜드인 - 맥스 킬먼
잉글랜드 축구 선수 맥스 킬먼은 풀럼 FC 아카데미, 메이든헤드 유나이티드 FC를 거쳐 울버햄튼 원더러스 FC에서 프로 데뷔 후 웨스트햄 유나이티드 FC로 이적했으며, 잉글랜드와 풋살 국가대표로 활동했고 러시아 혈통으로 러시아어에도 능통하다. - 퍼듀 대학교 교수 - 알프레드 킨제이
알프레드 킨제이는 미국의 생물학자이자 성 연구가로, 킨제이 보고서로 알려진 『인간 남성의 성 행동』과 『인간 여성의 성 행동』을 통해 다양한 성적 행동에 대한 통계적 분석을 제시하고 성적 지향에 대한 새로운 이해를 제공하며 성혁명에 영향을 미쳤으나, 연구 방법론과 윤리적 문제에 대한 논란도 있다. - 퍼듀 대학교 교수 - 버넌 스미스
버넌 스미스는 실험 경제학 방법론을 확립한 공로로 2002년 노벨 경제학상을 수상한 미국의 경제학자이다.
| 허버트 C. 브라운 - [인물]에 관한 문서 | |
|---|---|
| 기본 정보 | |
![]() | |
| 출생명 | Herbert Brovarnik |
| 출생일 | 1912년 5월 22일 |
| 출생지 | 영국 런던 |
| 사망일 | 2004년 12월 19일 |
| 사망지 | 미국 인디애나주 라피엣 |
| 국적 | 미국 |
| 학력 및 경력 | |
| 분야 | 화학 |
| 소속 기관 | 시카고 대학교, 퍼듀 대학교, 웨인 주립 대학교 |
| 출신 대학 | 시카고 대학교 |
| 박사 지도교수 | 헤르만 어빙 슐레진저 |
| 주요 제자 | 네기시 에이이치, 스즈키 아키라 |
| 연구 업적 | |
| 주요 업적 | 유기붕소 화합물 |
| 수상 | |
| 수상 내역 | 센테너리 상(1955년) 윌리엄 H. 니콜스 메달(1959년) 미국 국가 과학상(1969년) 엘리엇 크레슨 메달(1978년) 노벨 화학상(1979년) 프리스틀리 메달(1981년) 퍼킨 메달(1982년) 미국 화학 연구소 금메달(1985년) NAS Award in Chemical Sciences (1987년) |
| 개인 정보 | |
| 배우자 | Sarah Baylen (1937년–2005년, 그의 사망까지) |
| 자녀 | 1명 |
2. 생애와 경력
허버트 브라운은 1936년 시카고 대학교에서 이학사 학위를, 1938년에 철학 박사 학위를 받았다. 산업계에서 일자리를 찾지 못해 박사후 연구원으로 학문 경력을 시작했다. 1939년 시카고 대학교에서 강사로 재직했고, 디트로이트의 웨인 주립 대학교로 이동하여 조교수가 되기 전까지 4년간 그 자리에 있었다. 1946년 부교수로 승진, 1947년 퍼듀 대학교의 무기화학 교수가 되었다. 1960년 알파 치 시그마의 베타 누 지부에 가입했고, 1978년부터 2004년 사망할 때까지 명예 교수직을 유지했다.
제2차 세계 대전 중 헤르만 어빙 슐레진저와 함께 붕소 수소화 나트륨(NaBH4)을 생산하는 방법을 발견했는데, 이는 붕소와 수소의 화합물인 보레인을 생산하는 데 사용되었다. 그의 연구는 비대칭 순수 에난티오머를 생산하는 최초의 일반적인 방법을 발견하는 데 기여했다. 그의 이름 이니셜인 수소(H), 탄소(C), 붕소(B)는 그의 연구 분야였다.
1969년 미국 국가 과학 메달을 수상했다.[14] 1979년 게오르크 비티히와 함께 노벨 화학상을 수상하였다. 연구 활동에 집중하기 위해 돈 관리와 집, 정원 관리는 모두 아내 사라에게 맡겼다. 스톡홀름에서 노벨상을 수상하고 돌아오는 길에, 그는 메달을, 아내는 상금 100000USD를 운반했다고 한다.
2000년 알파 치 시그마 명예의 전당에 헌액되었다. 2004년 12월 19일 인디애나주 래피엣의 한 병원에서 심근 경색으로 사망했다.
2. 1. 초기 생애
허버트 브라운은 런던에서 우크라이나 출신 유대인 이민자인 펄(옛 성씨 고린스타인)과 하드웨어점 매니저이자 목수였던 찰스 브로바르니크의 아들로 태어났다. 그의 가족은 그가 두 살 때인 1914년 6월 시카고로 이주했다. 브라운은 시카고의 크레인 주니어 칼리지에 다녔는데, 그곳에서 훗날 결혼하게 되는 사라 베일렌을 만났다. 칼리지가 폐쇄될 위기에 처하자 브라운과 베일렌은 라이트 주니어 칼리지로 전학했다. 1935년 그는 라이트를 떠나 그해 가을 시카고 대학교에 입학하여 3학기 만에 2년의 과정을 마치고 1936년 이학사 학위를 받았다. 그해 그는 미국 시민권을 취득했고, 시카고에서 대학원 과정을 시작했다. 1937년 2월 6일, 브라운은 베일렌과 결혼했는데, 그는 훗날 그녀가 1979년 게오르크 비티히와 함께 노벨 화학상을 수상하게 된 연구의 시발점이 된 붕소의 수소화물에 대한 관심을 불러일으켰다고 말했다. 이듬해 그는 철학 박사 학위를 받았다.2. 2. 학문적 경력
1939년 시카고 대학교에서 강사로 재직했고, 디트로이트의 웨인 주립 대학교로 이동하여 조교수가 되기 전까지 4년간 그 자리에 있었다. 1946년에는 부교수로 승진했고, 이듬해 1947년 퍼듀 대학교의 무기화학 교수가 되었다. 1960년에는 알파 치 시그마의 베타 누 지부에 가입했다. 1978년부터 2004년 사망할 때까지 명예 교수직을 유지했다. 퍼듀 대학교 캠퍼스에는 그의 이름을 딴 '허버트 C. 브라운 화학 연구소'가 있다. 그는 뮌헨 국제 과학 아카데미의 명예 회원이었다.제2차 세계 대전 중 헤르만 어빙 슐레진저와 함께 일하면서 브라운은 붕소 수소화 나트륨(NaBH4)을 생산하는 방법을 발견했는데, 이는 붕소와 수소의 화합물인 보레인을 생산하는 데 사용할 수 있었다. 그의 연구는 비대칭 순수 에난티오머를 생산하는 최초의 일반적인 방법을 발견하는 데 기여했다. 그의 이름의 이니셜인 수소(H), 탄소(C), 붕소(B)는 그의 연구 분야였다.
2. 3. 제2차 세계 대전과 연구
시카고 대학교 박사 과정 학생이었던 허버트 브라운은 다이보란(B2H6)의 반응을 연구했다.[12] 헤르만 어빙 슐레징어의 시카고 대학교 연구실은 다이보란을 제조하는 두 곳 중 하나였는데, 이는 소량으로만 제조되는 희귀한 화합물이었다. 슐레징어는 가장 간단한 수소-붕소 화합물이 BH3 대신 B2H6인 이유를 이해하기 위해 다이보란의 반응을 연구했다.[12]

브라운은 자체 연구를 시작하면서 다이보란과 알데히드, 케톤, 에스터, 산 염화물의 반응을 관찰했다. 그는 다이보란이 알데히드 및 케톤과 반응하여 다이알콕시보란을 생성하고, 이는 물에 의해 가수분해되어 알코올을 생성한다는 것을 발견했다. 이 시점까지 유기 화학자들은 온화한 조건에서 산화환원 카르보닐기를 환원시키는 받아들일 만한 방법을 가지고 있지 않았다. 그러나 1939년에 출판된 브라운의 박사 학위 논문은 거의 관심을 받지 못했다. 다이보란은 합성 시약으로 사용하기에는 너무 희귀했다.[12]
1939년 브라운은 슐레징어 연구실의 연구 조교가 되었다. 1940년 그들은 국가 방위 연구 위원회를 위해 휘발성, 저분자량 우라늄 화합물을 연구하기 시작했다. 브라운과 슐레징어는 분자량이 298인 휘발성 우라늄(IV) 보로수소화물을 성공적으로 합성했다. 연구실은 시험을 위해 대량의 제품을 제공하라는 요청을 받았지만, 다이보란의 공급이 부족했다. 그들은 수소화 리튬과 삼불화 붕소를 에틸 에테르에서 반응시켜 다이보란을 형성할 수 있음을 발견하여 더 많은 양의 화학 물질을 생산할 수 있었다. 이러한 성공에는 몇 가지 새로운 문제가 따랐다. 수소화 리튬도 공급이 부족했기 때문에 브라운과 슐레징어는 수소화 나트륨을 대신 사용할 수 있는 절차를 찾아야 했다. 그들은 수소화 나트륨과 붕산 메틸을 반응시키면 트리메톡시보로수소화 나트륨을 생성하고, 이는 수소화 리튬의 대체물로 사용할 수 있다는 것을 발견했다.[12]
곧 그들은 우라늄 보로수소화물이 더 이상 필요하지 않다는 통보를 받았지만, 붕소수소화 나트륨은 수소를 생성하는 데 유용할 수 있다는 것을 알게 되었다. 그들은 더 저렴한 합성을 찾기 시작하여, 250°에서 붕산 메틸을 수소화 나트륨에 첨가하면 붕소수소화 나트륨과 메톡시화 나트륨이 생성된다는 것을 발견했다. 두 생성물을 분리하기 위해 아세톤을 사용했을 때, 붕소수소화 나트륨이 아세톤을 환원시킨다는 것을 발견했다.[12]
붕소수소화 나트륨은 알데히드, 케톤 및 산 염화물을 잘 환원시키는 온화한 환원제이다. 수소화 알루미늄 리튬은 거의 모든 작용기를 환원시킬 수 있는 훨씬 더 강력한 환원제이다. 브라운은 1947년 퍼듀 대학교로 옮겨, 다양한 환원제를 제공할 수 있는 더 강력한 보로수소화물과 더 온화한 알루미늄 수소화물을 찾기 위해 노력했다. 퍼듀의 연구팀은 보로수소화물의 금속 이온을 리튬, 마그네슘, 또는 알루미늄으로 변경하면 환원 능력이 증가한다는 것을 발견했다. 그들은 또한 알루미늄 수소화물에 알콕시 치환기를 도입하면 환원 능력이 감소한다는 것을 발견했다. 그들은 다양한 환원제를 성공적으로 개발했다.[12]

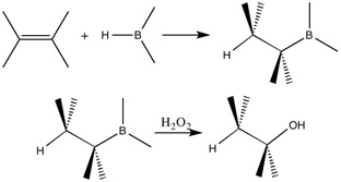
이러한 환원제를 연구하는 동안, 브라운의 동료인 B. C. Subba Rao 박사는 붕소수소화 나트륨과 올레산 에틸 사이의 특이한 반응을 발견했다. 붕소수소화물은 올레산 에틸의 탄소-탄소 이중 결합에 수소와 붕소를 첨가했다. 그런 다음 유기붕소 생성물을 산화환원시켜 알코올을 형성할 수 있었다.[12] 이 2단계 반응은 현재 수소붕소화-산화라고 불리며, 알켄을 반 마르코프니코프 알코올로 변환하는 반응이다. 마르코프니코프 규칙에 따르면, 수소와 할로겐 또는 수산기를 탄소-탄소 이중 결합에 첨가할 때, 수소는 결합의 덜 치환된 탄소에 첨가되고 수산기 또는 할로겐은 더 치환된 탄소에 첨가된다. 수소붕소화-산화에서는 반대 첨가가 발생한다.[13]
제2차 세계 대전 당시, 브라운은 수송 가능한 수소원을 찾고 있던 군의 의뢰로 수소화 붕소 나트륨(NaBH4)의 합성법을 개발했다. 그는 우연히 수소화 붕소 나트륨이 케톤이나 알데히드를 알코올로 환원하는 것을 발견했고, 이것이 그 후 연구의 출발점이 되었다.
2. 4. 노벨상 수상과 이후
1969년 미국 국가 과학 메달을 수상했다.[14]게오르크 비티히와 함께 1979년 노벨 화학상을 수상하였는데, 그는 붕소의 수소화물에 대한 관심을 불러일으킨 것이 노벨상 수상 연구의 시발점이 되었다고 말했다. 연구 활동에 집중하기 위해 돈 관리와 집, 정원 관리는 모두 아내 사라에게 맡겼다. 스톡홀름에서 노벨상을 수상하고 돌아오는 길에, 그는 메달을 운반했고, 그의 아내는 상금 100000USD를 운반했다고 한다.
1971년 미국 업적 아카데미의 골든 플레이트 상을 받았다.
2000년 알파 치 시그마 명예의 전당에 헌액되었다.
솔 윈스타인|솔 윈스타인|Saul Winstein일본어 등이 제창한 비고전적 탄소 양이온 설에 반대하여, 조지 올라 등에 의해 비고전적 탄소 양이온이 입증된 1980년대까지 논쟁을 벌였다.
2010년에 노벨 화학상을 수상한 네기시 에이이치 및 스즈키 아키라는 유학 시절 퍼듀 대학교에서 브라운의 제자였으며, 2002년에 열린 자신의 90세 생일 강연회 석상에서는 동상의 추천서에 스즈키, 네기시 두 사람을 추천하겠다고 표명했다. 또한 퍼듀 대학교에서는 그를 기념한 "허버트 C. 브라운 화학 연구실 특별 교수"라는 직책이 만들어져 있으며, 현재 네기시가 그 자리에 있다.
그는 2004년 12월 19일 인디애나주 래피엣의 한 병원에서 심근 경색으로 사망했다. 그의 부인은 2005년 5월 29일 89세의 나이로 사망했다.
3. 연구 업적
허버트 C. 브라운은 유기 붕소 화합물 관련 연구를 통해 현대 유기 화학 발전에 크게 기여했다.
시카고 대학교 박사 과정 중 다이보란(B2H6) 반응을 연구하면서, 다이보란이 알데히드, 케톤 등과 반응하여 알코올을 생성하는 것을 발견했다.[12] 이는 당시 온화한 조건에서 카르보닐기를 환원시키는 방법이 없던 유기 화학계에 중요한 발견이었다.
이후 수소화 붕소 나트륨(NaBH4) 합성법을 개발하고, 수소화 알루미늄 리튬보다 온화한 환원제임을 발견했다.[12] 또한, 수소붕소화-산화 반응을 발견하여 알켄을 반마르코프니코프 알코올로 변환하는 새로운 방법을 제시했다.[13]
수소화 알루미늄 리튬은 거의 모든 작용기를 환원시킬 수 있는 훨씬 더 강력한 환원제이다. 브라운은 1947년 퍼듀 대학교로 옮겨, 다양한 환원제를 제공할 수 있는 더 강력한 보로수소화물과 더 온화한 알루미늄 수소화물을 찾기 위해 노력했다. 퍼듀 연구팀은 보로수소화물의 금속 이온을 리튬, 마그네슘, 또는 알루미늄으로 변경하면 환원 능력이 증가한다는 것을 발견했다. 또한 알루미늄 수소화물에 알콕시 치환기를 도입하면 환원 능력이 감소한다는 것을 발견했다. 그들은 다양한 환원제를 성공적으로 개발했다.[12]
그의 연구는 현대 유기 화학에서 필수적인 반응으로 자리 잡았으며, 92세로 사망할 때까지 66년 동안 1300편에 가까운 논문을 발표하며 활발한 연구 활동을 펼쳤다.
3. 1. 수소화붕소나트륨(NaBH4) 합성법 개발
시카고 대학교에서 박사 과정을 밟던 허버트 브라운은 다이보란(B2H6)의 반응을 연구했다.[12] 1939년, 브라운은 슐레징어 연구실의 연구 조교가 되었다. 1940년, 이들은 국가 방위 연구 위원회를 위해 휘발성이면서 분자량이 작은 우라늄 화합물을 연구하기 시작했고, 분자량이 298인 휘발성 우라늄(IV) 보로수소화물을 합성하는 데 성공했다.[12]이들은 수소화 리튬과 삼불화 붕소를 에틸 에테르에서 반응시켜 다이보란을 만들 수 있다는 사실을 발견했다. 그러나 수소화 리튬도 공급이 부족했기에, 브라운과 슐레징어는 수소화 나트륨을 대신 사용할 수 있는 방법을 찾아야 했다. 연구 결과, 수소화 나트륨과 붕산 메틸을 반응시키면 트리메톡시보로수소화 나트륨이 생성되고, 이것이 수소화 리튬의 대체 물질로 사용될 수 있다는 것을 알아냈다.[12]
얼마 지나지 않아 우라늄 보로수소화물이 더 이상 필요하지 않다는 통보를 받았지만, 붕소수소화 나트륨이 수소 생성에 유용할 수 있다는 사실을 알게 되었다. 더 저렴한 합성법을 찾던 중, 250°에서 붕산 메틸을 수소화 나트륨에 첨가하면 붕소수소화 나트륨과 메톡시화 나트륨이 생성된다는 것을 발견했다. 두 생성물을 분리하기 위해 아세톤을 사용했는데, 이 과정에서 붕소수소화 나트륨이 아세톤을 환원시킨다는 사실을 발견했다.[12]
붕소수소화 나트륨은 알데히드, 케톤, 그리고 산 염화물을 효과적으로 환원시키는 온화한 환원제이다. 제2차 세계 대전 당시, 브라운은 운반 가능한 수소원을 찾고 있던 군의 요청으로 수소화 붕소 나트륨(NaBH4) 합성법을 개발했다. 그는 우연히 수소화 붕소 나트륨이 케톤이나 알데히드를 알코올로 환원시키는 것을 발견했고, 이것이 이후 그의 연구의 출발점이 되었다.
3. 2. 수소화붕소화-산화 반응 발견
시카고 대학교에서 박사 과정 학생이었던 허버트 브라운은 다이보란(B2H6)의 반응을 연구했다.[12] 헤르만 어빙 슐레징어의 연구실은 다이보란을 제조하는 두 곳 중 하나였는데, 이는 소량으로만 제조되는 희귀한 화합물이었다. 슐레징어는 가장 간단한 수소-붕소 화합물이 BH3 대신 B2H6인 이유를 이해하기 위해 다이보란의 반응을 연구했다.[12]브라운은 다이보란과 알데히드, 케톤, 에스터, 산 염화물의 반응을 관찰했다.[12] 그는 다이보란이 알데히드 및 케톤과 반응하여 다이알콕시보란을 생성하고, 이는 물에 의해 가수분해되어 알코올을 생성한다는 것을 발견했다. 당시 유기 화학자들은 온화한 조건에서 산화환원 카르보닐기를 환원시키는 적절한 방법이 없었다.[12]
1939년, 브라운은 슐레징어 연구실의 연구 조교가 되었다.[12] 1940년, 그들은 국가 방위 연구 위원회를 위해 휘발성, 저분자량 우라늄 화합물을 연구하기 시작했다. 브라운과 슐레징어는 분자량이 298인 휘발성 우라늄(IV) 보로수소화물을 합성했다.[12] 다이보란 공급 부족으로 수소화 리튬과 삼불화 붕소를 에틸 에테르에서 반응시켜 다이보란을 대량 생산할 수 있게 되었다.[12] 수소화 리튬도 부족해지자, 수소화 나트륨과 붕산 메틸을 반응시켜 트리메톡시보로수소화 나트륨을 생성하여 대체물로 사용했다.[12]
이후 붕소수소화 나트륨이 수소 생성에 유용함을 알게 되었고, 더 저렴한 합성법을 찾던 중 250°에서 붕산 메틸을 수소화 나트륨에 첨가하면 붕소수소화 나트륨과 메톡시화 나트륨이 생성된다는 것을 발견했다. 두 생성물을 분리하기 위해 아세톤을 사용했을 때, 붕소수소화 나트륨이 아세톤을 환원시킨다는 것을 발견했다.[12]
붕소수소화 나트륨은 알데히드, 케톤 및 산 염화물을 환원시키는 온화한 환원제이다.[12] 1947년, 브라운은 퍼듀 대학교로 옮겨 더 강력한 보로수소화물과 더 온화한 알루미늄 수소화물을 찾기 위해 노력했다.[12] 퍼듀 연구팀은 보로수소화물의 금속 이온을 리튬, 마그네슘, 또는 알루미늄으로 변경하면 환원 능력이 증가하고, 알루미늄 수소화물에 알콕시 치환기를 도입하면 환원 능력이 감소한다는 것을 발견했다.[12]
이러한 환원제를 연구하는 동안, 브라운의 동료인 B. C. Subba Rao 박사는 붕소수소화 나트륨과 올레산 에틸 사이의 특이한 반응을 발견했다. 붕소수소화물은 올레산 에틸의 탄소-탄소 이중 결합에 수소와 붕소를 첨가했다. 그런 다음 유기붕소 생성물을 산화환원시켜 알코올을 형성할 수 있었다.[12] 이 2단계 반응은 현재 수소붕소화-산화라고 불리며, 알켄을 반 마르코프니코프 알코올로 변환하는 반응이다. 마르코프니코프 규칙에 따르면, 수소와 할로겐 또는 수산기를 탄소-탄소 이중 결합에 첨가할 때, 수소는 결합의 덜 치환된 탄소에, 수산기 또는 할로겐은 더 치환된 탄소에 첨가된다. 수소붕소화-산화에서는 반대 첨가가 발생한다.[13]
제2차 세계 대전 당시, 브라운은 수송 가능한 수소원을 찾고 있던 군의 의뢰로 수소화 붕소 나트륨(NaBH4)의 합성법을 개발했다. 그는 우연히 수소화 붕소 나트륨이 케톤이나 알데히드를 알코올로 환원하는 것을 발견했고, 이것이 그 후 연구의 출발점이 되었다.
3. 3. 유기 붕소 화합물 연구
시카고 대학교에서 박사 과정 학생이었던 허버트 브라운은 다이보란(B2H6)의 반응을 연구했다.[12] 헤르만 어빙 슐레징어의 시카고 대학교 연구실은 다이보란을 제조하는 두 곳 중 하나였는데, 이는 소량으로만 제조되는 희귀한 화합물이었다. 슐레징어는 가장 간단한 수소-붕소 화합물이 BH3 대신 B2H6인 이유를 이해하기 위해 다이보란의 반응을 연구했다.[12]브라운은 자체 연구를 시작하면서 다이보란과 알데히드, 케톤, 에스터, 산 염화물의 반응을 관찰했다. 그는 다이보란이 알데히드 및 케톤과 반응하여 다이알콕시보란을 생성하고, 이는 물에 의해 가수분해되어 알코올을 생성한다는 것을 발견했다. 이 시점까지 유기 화학자들은 온화한 조건에서 산화환원 카르보닐기를 환원시키는 받아들일 만한 방법을 가지고 있지 않았다. 그러나 1939년에 출판된 브라운의 박사 학위 논문은 거의 관심을 받지 못했다. 다이보란은 합성 시약으로 사용하기에는 너무 희귀했다.[12]
1939년, 브라운은 슐레징어 연구실의 연구 조교가 되었다. 1940년에 그들은 국가 방위 연구 위원회를 위해 휘발성, 저분자량 우라늄 화합물을 연구하기 시작했다. 브라운과 슐레징어는 분자량이 298인 휘발성 우라늄(IV) 보로수소화물을 성공적으로 합성했다. 연구실은 시험을 위해 대량의 제품을 제공하라는 요청을 받았지만, 다이보란의 공급이 부족했다. 그들은 수소화 리튬과 삼불화 붕소를 에틸 에테르에서 반응시켜 다이보란을 형성할 수 있음을 발견하여 더 많은 양의 화학 물질을 생산할 수 있었다. 이러한 성공에는 몇 가지 새로운 문제가 따랐다. 수소화 리튬도 공급이 부족했기 때문에 브라운과 슐레징어는 수소화 나트륨을 대신 사용할 수 있는 절차를 찾아야 했다. 그들은 수소화 나트륨과 붕산 메틸을 반응시키면 트리메톡시보로수소화 나트륨을 생성하고, 이는 수소화 리튬의 대체물로 사용할 수 있다는 것을 발견했다.[12]
곧 그들은 우라늄 보로수소화물이 더 이상 필요하지 않다는 통보를 받았지만, 붕소수소화 나트륨은 수소를 생성하는 데 유용할 수 있다는 것을 알게 되었다. 그들은 더 저렴한 합성을 찾기 시작하여, 250°에서 붕산 메틸을 수소화 나트륨에 첨가하면 붕소수소화 나트륨과 메톡시화 나트륨이 생성된다는 것을 발견했다. 두 생성물을 분리하기 위해 아세톤을 사용했을 때, 붕소수소화 나트륨이 아세톤을 환원시킨다는 것을 발견했다.[12]
붕소수소화 나트륨은 알데히드, 케톤 및 산 염화물을 잘 환원시키는 온화한 환원제이다. 수소화 알루미늄 리튬은 거의 모든 작용기를 환원시킬 수 있는 훨씬 더 강력한 환원제이다. 브라운은 1947년 퍼듀 대학교로 옮겨, 다양한 환원제를 제공할 수 있는 더 강력한 보로수소화물과 더 온화한 알루미늄 수소화물을 찾기 위해 노력했다. 퍼듀의 연구팀은 보로수소화물의 금속 이온을 리튬, 마그네슘, 또는 알루미늄으로 변경하면 환원 능력이 증가한다는 것을 발견했다. 그들은 또한 알루미늄 수소화물에 알콕시 치환기를 도입하면 환원 능력이 감소한다는 것을 발견했다. 그들은 다양한 환원제를 성공적으로 개발했다.[12]
이러한 환원제를 연구하는 동안, 브라운의 동료인 B. C. Subba Rao 박사는 붕소수소화 나트륨과 올레산 에틸 사이의 특이한 반응을 발견했다. 붕소수소화물은 올레산 에틸의 탄소-탄소 이중 결합에 수소와 붕소를 첨가했다. 그런 다음 유기붕소 생성물을 산화환원시켜 알코올을 형성할 수 있었다.[12] 이 2단계 반응은 현재 수소붕소화-산화라고 불리며, 알켄을 반 마르코프니코프 알코올로 변환하는 반응이다. 마르코프니코프 규칙에 따르면, 수소와 할로겐 또는 수산기를 탄소-탄소 이중 결합에 첨가할 때, 수소는 결합의 덜 치환된 탄소에 첨가되고 수산기 또는 할로겐은 더 치환된 탄소에 첨가된다. 수소붕소화-산화에서는 반대 첨가가 발생한다.[13]
제2차 세계 대전 당시, 브라운은 수송 가능한 수소원을 찾고 있던 군의 의뢰로 수소화 붕소 나트륨(NaBH4)의 합성법을 개발했다. 그는 우연히 수소화 붕소 나트륨이 케톤이나 알데히드를 알코올로 환원하는 것을 발견했고, 이것이 그 후 연구의 출발점이 되었다. 또한 환원력이 강한 수소화 알루미늄 리튬의 개발, 하이드로붕소화 반응의 발견, 그 불균등화 등 수많은 업적을 쌓았으며, 그 중 상당수는 현대 유기 화학에서 필수적인 반응이 되었다.
3. 4. 비고전적 탄소 양이온 논쟁
Saul Winstein영어 등이 제창한 비고전적 탄소 양이온 설에 반대하여, 조지 올라 등에 의해 비고전적 탄소 양이온이 입증된 1980년대까지 논쟁을 벌였다[14].4. 한국과의 인연
허버트 C. 브라운은 한국과 직접적인 인연은 없지만, 그의 제자들 중 일부가 한국과 관련된 활동을 한 것으로 알려져 있다.
4. 1. 네기시 에이이치와 스즈키 아키라
2010년 노벨 화학상을 수상한 네기시 에이이치와 스즈키 아키라는 퍼듀 대학교에서 브라운의 제자였다. 브라운은 2002년에 열린 자신의 90세 생일 강연회에서 스즈키와 네기시 두 사람을 추천하겠다고 밝혔다. 퍼듀 대학교에는 그를 기념한 "허버트 C. 브라운 화학 연구실 특별 교수" 직책이 있으며, 현재 네기시가 그 자리에 있다.5. 수상 경력
| 연도 | 수상 |
|---|---|
| 1955년 | 센테너리 상 |
| 1959년 | 윌리엄 H. 니콜스 상 |
| 1961년 | 렘센 상 |
| 1968년 | 라이너스 폴링 상 |
| 1969년 | 미국 국가 과학상 |
| 1971년 | 로저 아담스 상 |
| 1975년 | 화학 파이오니아 상 |
| 1978년 | 엘리엇 크레슨 메달 |
| 1979년 | 노벨 화학상 |
| 1981년 | 프리스틀리 메달 |
| 1982년 | 퍼킨 메달 |
| 1985년 | 미국 화학 협회 골드 메달 |
| 1987년 | 미국 과학 아카데미 화학상 |
참조
[1]
웹사이트
SCI Perkin Medal
https://www.scienceh[...]
2016-05-31
[2]
서적
Nobel Laureates in Chemistry, 1901-1992
https://books.google[...]
Chemical Heritage Foundation
1993-10-30
[3]
웹사이트
Herbert C. Brown: The Nobel Prize in Chemistry 1979
http://nobelprize.or[...]
Nobel Foundation
[4]
웹사이트
Herbert Charles Brown
http://www.nasonline[...]
National Academy of Sciences
2008
[5]
웹사이트
Herbert C. Brown
http://www.nndb.com/[...]
Soylent Communications
[6]
웹사이트
Biography of Herbert C. Brown
http://www.chem.purd[...]
Purdue University
[7]
웹사이트
Alpha Chi Sigma Hall of Fame
http://www.alphachis[...]
Alpha Chi Sigma Fraternity
[8]
웹사이트
The President's National Medal of Science: Recipient Details - NSF - National Science Foundation
https://www.nsf.gov/[...]
[9]
웹사이트
Golden Plate Awardees of the American Academy of Achievement
https://achievement.[...]
American Academy of Achievement
[10]
웹사이트
Alpha Chi Sigma Fraternity
https://www.alphachi[...]
[11]
뉴스
Herbert C. Brown, 92, Dies; Chemist Won Nobel for Boron Work
https://www.nytimes.[...]
2004-12-21
[12]
웹사이트
Archived copy
http://www.chem.purd[...]
[13]
웹사이트
Illustrated Glossary of Organic Chemistry - Hydroboration-oxidation reaction
http://www.chem.ucla[...]
[14]
블로그
カルボカチオン論争の決着
http://blog.livedoor[...]
본 사이트는 AI가 위키백과와 뉴스 기사,정부 간행물,학술 논문등을 바탕으로 정보를 가공하여 제공하는 백과사전형 서비스입니다.
모든 문서는 AI에 의해 자동 생성되며, CC BY-SA 4.0 라이선스에 따라 이용할 수 있습니다.
하지만, 위키백과나 뉴스 기사 자체에 오류, 부정확한 정보, 또는 가짜 뉴스가 포함될 수 있으며, AI는 이러한 내용을 완벽하게 걸러내지 못할 수 있습니다.
따라서 제공되는 정보에 일부 오류나 편향이 있을 수 있으므로, 중요한 정보는 반드시 다른 출처를 통해 교차 검증하시기 바랍니다.
문의하기 : help@durumis.com
