음이온 중합
"오늘의AI위키"의 AI를 통해 더욱 풍부하고 폭넓은 지식 경험을 누리세요.
1. 개요
음이온 중합은 단량체에 친핵성 시약을 첨가하여 음이온을 형성하며 중합을 개시하는 방법이다. 1936년 카를 치글러에 의해 처음 제안되었으며, 1950년대 마이클 슈와르츠에 의해 리빙 음이온 중합이 증명되었다. 음이온 중합은 단량체의 종류, 개시제, 용매 및 반대 이온의 효과에 따라 중합 속도와 수평균 중합도가 달라지며, 리빙 중합체의 특성을 활용하여 블록 공중합체, 나노 구조 제어된 고분자 재료, 메조 다공성 막, 거대 분자 구조를 합성하는 데 응용된다. 하지만 반응성 불순물에 대한 민감성, 활성 작용기를 갖는 단량체 및 극성 단량체의 중합에 대한 한계점을 가지고 있다.
더 읽어볼만한 페이지
- 고분자화학 - 치글러-나타 촉매
치글러-나타 촉매는 카를 치글러와 줄리오 나타가 발견한 촉매로, 올레핀 중합 반응을 촉진하여 폴리에틸렌, 폴리프로필렌과 같은 다양한 폴리올레핀 생산에 사용되며, 특히 입체 규칙성 고분자 합성에 중요한 역할을 한다. - 고분자화학 - 유리 전이
유리 전이는 액체가 냉각 또는 압축될 때 고체와 유사해지는 현상으로, 점도 급증을 특징으로 하며 결정화와 달리 뚜렷한 구조 변화는 없고, 유리 전이 온도(Tg)는 유리 상태와 과냉각 액체 사이 전이가 일어나는 특정 온도를 의미하며, 재료의 열적, 역학적 특성에 영향을 미친다.
| 음이온 중합 | |
|---|---|
| 음이온 중합 | |
![]() | |
| 속성 | |
| 유형 | 사슬 성장 중합 |
| 활성 중심 | 음이온 |
| 활성 종 | 이온 |
| 촉매 | 염기성 촉매 |
| 분자량 분포 | 좁음 |
| 메커니즘 | |
| 개시 | 개시제는 단량체에 음이온을 첨가하여 음이온을 형성한다. |
| 전파 | 음이온은 추가 단량체에 첨가되어 활성 사슬 말단을 재생성한다. |
| 종결 | 종결은 불순물에 의한 사슬 말단 양성자화 또는 의도적인 켄칭에 의해 발생한다. |
| 단량체 | |
| 적합한 단량체 | 전자 끌림 그룹으로 안정화된 단량체 (예: 스티렌, 다이엔, 아크릴로나이트릴) |
| 부적합한 단량체 | 양성자성 치환기가 있는 단량체 (예: 알코올, 아민) |
2. 역사
1936년, Karl Ziegler는 스타이렌(styrene)과 뷰타다이엔(butadiene)의 음이온 중합에 대해 연구했다. 고분자 화학 초창기에 음이온 중합에 대한 연구가 이루어졌으나, 당시에는 강염기가 사슬 이동을 쉽게 일으키는 용매를 사용했기 때문에 중합도를 크게 제한시켰다.[2]
1950년대 중반, Szwarc와 그의 동료들에 의해 리빙 음이온 중합이 증명되었다. Szwarc는 소듐 나프탈렌을 이용해 스타이렌으로 전자 이동이 일어난다는 것을 확인했다. 또한, 그는 비양성자성 용매인 테트라하이드로퓨란을 사용하여 그 과정의 동역학 및 열역학을 상세하게 설명하고, 관련된 다양한 이온쌍과 라디칼 이온의 구조적 특성의 관계를 밝혀냈다.
Firestone 타이어와 고무 회사는 1, 3-다이엔의 중합을 위해 알칼리 금속을 사용했다. 이는 알킬 리튬 개시제를 이용하는 상업적인 음이온 중합 공정의 개발을 촉발시켰다.[2]
2. 1. 초기 연구
1936년, Karl Ziegler는 스타이렌(styrene)과 뷰타다이엔(butadiene)의 음이온 중합이 알킬 리튬(alkyllithium) 개시제에 단량체가 연속적으로 첨가됨으로써 사슬 이동(chain transfer) 혹은 정지(termination) 없이 일어난다고 주장했다.[2] 고분자 화학 초창기에 음이온 중합에 대한 연구가 이루어졌으나, 당시에는 강염기가 사슬 이동을 쉽게 일으키는 용매와 함께 사용되어 중합도를 크게 제한시켰다.[2]2. 2. 리빙 음이온 중합 발견
1936년, 카를 치글러(Karl Ziegler)는 스타이렌(C6H5CH=CH2)과 뷰타다이엔(C4H6)의 음이온 중합이 알킬 리튬(alkyllithium) 개시제에 단량체가 연속적으로 첨가됨으로써 사슬 이동(chain transfer) 혹은 정지(termination) 없이 일어난다고 주장했다.[2]1950년대 중반, Szwarc와 그의 동료들에 의해 리빙 음이온 중합이 증명되었다. Szwarc는 소듐 나프탈렌 라디칼 음이온으로부터 스타이렌으로 전자 이동이 일어난다는 것을 밝혀냈다. 그 결과 유기나트륨 종이 형성되었으며 이 종은 빠르게 스타이렌을 첨가해서 2개의 리빙 중합체(living polymer)를 형성했다. Szwarc는 비양성자성 용매인 테트라하이드로퓨란을 사용했으며 그 과정의 동역학 및 열역학을 상세하게 설명했다. 동시에 그는 관련된 다양한 이온쌍과 라디칼 이온의 구조적 특성의 관계를 밝혀냈다. 본 연구는 분자량, 분자량 분포와 구조에 대한 개선된 통제로 고분자 합성을 위한 기초를 제공했다.
2. 3. 상업적 응용
Firestone 타이어와 고무 회사는 1, 3-다이엔의 중합을 개시하기 위해 알칼리 금속을 사용하였다. 이는 알킬 리튬 개시제를 이용하는 상업적인 음이온 중합 공정의 개발을 촉발시켰다.[2]3. 단량체
음이온 중합은 친핵성 시약이 단량체의 탄소 이중결합(C=C)의 β 탄소에 친핵성 첨가 반응을 일으켜 α 탄소에 새로운 음이온을 형성함으로써 개시된다. 따라서 탄소 이중결합의 전자 밀도가 전자 끌기(electron-withdrawing) 치환기에 의해 당겨져 β 탄소가 양전하를 띠는 경향이 있는 단량체가 음이온 중합성을 가진다. 예를 들어 메틸 메타크릴레이트(methyl methacrylate)나 아크릴로나이트릴(acrylonitrile) 등은 메톡시카보닐기(-COOCH3)와 사이아노기(-CN) 같은 전자 끌기가 결합해 있기 때문에 음이온 중합이 일어나기 쉽다.[3]
음이온 중합이 가능한 단량체의 예와 반응성에 따른 A~D 그룹 분류는 다음과 같다.
| 분류 | 단량체 |
|---|---|
| A 그룹 | α-메틸 스타이렌, 스타이렌, 아이소프렌, 뷰타다이엔 |
| B 그룹 | 메틸 메타크릴레이트, 메틸 아크릴레이트 |
| C 그룹 | 아크릴로나이트릴, 메타크릴로나이트릴, 메틸 비닐 케톤 |
| D 그룹 | 나이트로에틸렌, 메틸 사이아노아크릴레이트 |
A 그룹은 음이온 중합성이 낮은 탄화수소계 공액 단량체이고, D 그룹으로 갈수록 중합성이 높다. 일반적으로 반응성이 낮은 단량체일수록 생성된 탄소음이온의 활성이 높고, 반대로 반응성이 높은 단량체로부터 생성된 탄소음이온의 활성은 낮다. 따라서 A 그룹 단량체로 만들어진 성장 말단은 B 그룹 단량체와 반응하지만, B 그룹 단량체로부터 생성된 성장 말단은 A 그룹 단량체와 반응하지 않는다.[4]
대표적인 탄화수소계 비닐 단량체로는 올레핀류가 있으나, 음이온 중합이 가능한 단량체는 스타이렌, 공액 다이엔 및 그들의 알킬 또는 아릴 치환체로 한정된다. 음이온 중합성이 있는 탄화수소계 단량체는 모두 비닐기나 방향 고리 등의 공액 가능한 치환기가 직접 결합해 있는데, 이 치환기들은 보통 전자주개이나 전자 끌기는 아니기 때문에 공명 효과에 의해 친전자성이 높아져 음이온 중합이 가능한 것으로 보인다. 음이온 중합성이 낮은 탄화수소계 단량체는 일반적으로 친핵성이 높은 개시제를 사용하면 중합이 원활하게 진행된다.[5]
반면 극성기를 갖는 단량체의 중합에서는 개시 반응, 성장 반응 외에 부반응이 일어나기 쉽다. 이 때문에 중합의 입체 반응에 큰 영향을 주는 경우가 있고, 개시제와 단량체의 조합에 따라 입체 규칙성 중합이나 리빙 중합이 가능하게 된다. 메타크릴레이트는 스타이렌 및 그 유도체와 함께 음이온 중합 연구에 가장 많이 이용되며, 고도의 입체 특이성 중합과 리빙 중합이 가능하다.[5]
음이온 중합성을 나타내는 단량체로는 비닐 단량체 외에 에폭사이드나 락톤 등의 고리형 단량체도 있다. 이들 고리 화합물은 적당한 조건에서 개시제에 의해 개환 중합(ring-opening polymerization)을 하여 선형 중합체를 만든다.
4. 개시제
음이온 중합은 단량체와 개시제의 종류에 따라 중합 진행 여부가 결정된다. 주로 사용되는 음이온 개시제들을 친핵성에 따라 분류하면 다음과 같다.
| 분류 | 개시제 |
|---|---|
| a 그룹 | 알칼리 금속 (리튬, 나트륨, 칼륨), 알킬 금속 (LiR, NaR, KR) |
| b 그룹 | 그리냐르 시약 (RMgX) |
| c 그룹 | 알콕사이드 (ROLi, RONa, ROK), 알킬알루미늄(AlR3), 알킬아연(ZnR3) |
| d 그룹 | 피리딘, 아민 (NR3), 물 (H2O) |
a 그룹은 친핵성이 가장 강한 개시제로, 음이온 중합성이 매우 낮은 A 그룹 단량체와도 중합을 일으킨다. 하지만 A 그룹 단량체는 b 그룹에 속한 그리냐르 시약으로는 중합이 일어나지 않는다. 마찬가지로 B 그룹에 속한 단량체들은 그리냐르 시약에 의해 쉽게 고분자 중합체가 얻어지지만, c 그룹의 개시제로는 효과적으로 고분자 중합체가 얻어지지 않는다. 물이나 아민과 같은 친핵성이 약한 염기 (d 그룹)는 음이온 중합성이 아주 큰 D 그룹 단량체에 대해서만 중합을 개시할 수 있다. 즉, 높은 친핵성 또는 전자 공여성의 개시제로는 모든 그룹의 단량체의 중합을 개시할 수 있지만, 약한 친핵성의 개시제로는 반응성이 높은 그룹의 단량체밖에 중합시킬 수 없다.
5. 리빙 음이온 중합
음이온 중합은 정지 반응이 없는 경우가 많아 리빙 중합 특성을 나타낸다. 양이온 중합과 달리 음이온 중합에서는 이온쌍 재배열로의 정지가 일어나지 않는데, 이는 수소 음이온의 제거가 필요하기 때문이다. 또한, 알칼리 금속이나 알칼리 토금속 반대 이온은 탄소음이온 활성 중심과 결합하여 반응성이 없는 공유 결합을 형성하는 경향이 적다. 따라서 사슬 이동 반응이 없으면, 성장하는 고분자 사슬은 활성 탄소음이온 말단기를 그대로 유지하는 리빙 중합체가 된다. 이는 가역-비활성화 라디칼 중합이나 양이온 중합과는 다르다.[6]
5. 1. 개시 (Initiation)
음이온 중합에서 개시 단계는 크게 두 가지 방법으로 나눌 수 있다.- 유기금속 개시: 뷰틸리튬과 같은 유기리튬 화합물을 사용하는 방법이다. 이 방법은 리빙 음이온 중합에 널리 사용된다.
- 전자 이동 개시: 단일 전자가 단량체에 주어져 단량체 라디칼-음이온종을 형성하고, 이것이 다시 조합되어 이량체의 탄소음이온이 생성되면서 남아있는 단량체와의 중합을 개시하는 방법이다.
5. 1. 1. 유기금속 개시

뷰틸리튬과 같은 유기리튬 화합물은 리빙 음이온 중합에 널리 사용되는 유기금속 개시제이다. 이들은 비극성 탄화수소에 녹지만, 그 속에서 응집되는 경향이 있다.
:
여기서 nBuLi에 대해서 =6이고, SBuLi와 tBuLi에 대해서 =4이다. 응집된 것은 자유종보다 반응성이 훨씬 낮기 때문에, 원칙적으로 개시에는 자유종이 관여하게 된다. 테트라하이드로퓨란(THF)과 같은 리튬 이온을 녹일 수 있는 극성 용매를 첨가하면 응집물이 분해될 수 있다. THF와 같은 극성 용매에서 반응을 진행시키면 개시 반응이 매우 신속하게 일어나는데, 이는 유기리튬 화합물이 비극성 용매에서보다 매우 강력한 이온성을 띠는 자유종으로 존재하기 때문이다.[6]
다른 알칼리 금속의 유기금속 화합물(예 : 벤질소듐과 큐밀포타슘)은 비극성 탄화수소에 녹지 않기 때문에 극성 매질에서만 반응이 이루어진다.[6]
5. 1. 2. 전자 이동 개시
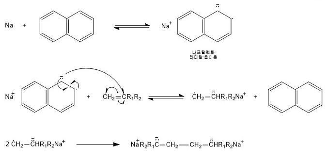
전자 이동 개시는 단일 전자가 단량체에 공여되어 단량체 라디칼-음이온종을 형성하고, 그것이 다시 조합되어 이량체의 탄소음이온이 생김으로써 남아있는 단량체와의 중합을 개시하는 방법이다.알칼리 금속은 전자 주개로 작용하지만, 대부분의 용매에 녹지 않아 반응이 불균일계로 진행되며, 개시가 천천히 일어나고 재현성이 떨어진다는 문제가 있다. 따라서 균일계 반응이 필요한데, 이는 알칼리 금속과 방향족 화합물(예: 나프탈렌, 바이페닐)의 반응으로 만들어지는 용해성 전자 이동 착물을 이용하여 THF와 같은 에터 용액 속에서 가능하다. 나프탈렌화 소듐은 처음 사용된 개시제로서 소듐을 나프탈렌의 에터 용액에 첨가하여 만들어진다. 소듐 원자는 나프탈렌에 전자 하나를 공여하여 나프탈렌화 라디칼 음이온을 만드는데, 이것은 초록색을 띠며 공명 안정화되어 있다.

이 평형의 위치는 용매에 의존하며, THF에서는 평형이 완전히 오른쪽으로 기운다. 이 착화합물은 전자를 단량체에 공여함으로써 중합을 개시한다. 이후, 개시 반응의 평형은 단량체 라디칼 음이온이 빠르게 조합됨에 따라 오른쪽으로 이동한다. 이에 따라 초기의 초록색은 빠르게 소멸되어 탄소음이온 활성 중심의 색(예: 스타이렌 중합에서 R1=H이면서 R2=Ph일 때는 붉은색)으로 변하게 된다.
성장은 탄소음이온종의 양쪽 끝에서 각각 단량체가 순차적으로 첨가되면서 진행된다.[7]
5. 2. 리빙 중합체의 비활성화 (Deactivation)
대부분의 탄소음이온 리빙 중합체의 활성 말단기는 중합의 끝 단계에서 양성자 주개(보통 알코올)와 반응하여 비활성화되며 최종 고분자에서 포화 말단기를 형성한다.[8]Grignard 시약 등을 사용하면 카복실산이나 하이드록실 말단기를 갖는 고분자를 얻을 수도 있다.

이처럼 유기화학 분야에서 잘 확립된 반응들을 사용하면 최종 고분자에 의도된 말단 작용기를 도입할 수 있다. 따라서 유기금속 개시제나 전자 이동 개시에 의해 생성된 리빙 중합체의 조절된 비활성화를 통해 말단 부분에 하나 혹은 두 개의 작용기를 갖는 고분자를 만들 수 있다. 더 나아가, 이러한 고분자들은 좁은 몰질량 분포 및 특정한 몰질량을 갖도록 설계될 수도 있다.[9]
5. 3. 자발적 정지 (Spontaneous termination)
음이온 리빙 중합체가 영원히 반응성을 유지하는 것은 아니다. 정지제가 없어도 탄소음이온의 농도는 시간이 지남에 따라 감소하는데, 이를 자발적 정지라고 한다. 메커니즘이 완전히 알려지지는 않았지만, IR, UV/Vis 분광법을 통한 연구 및 H2O로 처리한 뒤 얻어지는 최종 고분자에 대한 연구 등에 의해 일반적으로 받아들여지는 메커니즘이 있다. 폴리스타이렌의 경우, 수소 음이온 제거 반응이 일어난 다음 탄소음이온이 알릴 수소를 흡수해 반응성이 없는 1,3-다이페닐알릴 음이온을 생성하는 것이다.[10]6. 동역학
개시제가 유기금속 화합물이든 전자 이동 착염이든 간에 각 개시제는 단 하나의 탄소음이온, 즉 하나의 활성 중심을 생성한다. 보통 개시제는 어떤 활성 중심이 성장을 시작하기 전에 이미 모두 반응하였다고 가정한다. 이는 다시 말해 모든 개시제의 종이 용매 속에서 활성으로 자유롭게 존재하고 있어서 개시 속도 상수 k|i영어가 성장 속도 상수 k|p영어보다 훨씬 크다는 가정과 같다. 이러한 조건 속에서는 성장하고 있는 탄소음이온 활성 중심의 총농도가 사용한 개시제의 농도 [I]|0영어와 같다.
수평균 중합도는 중합의 리빙 특성을 고려하여 다음과 같이 표현된다.[1]
:x̄n영어 = (소모된 단량체의 몰수)/(생성된 고분자 사슬의 몰수)[1]
활성점의 손실이 전혀 없다고 하면, 이는 진정한 리빙 조건이다. 위 식에 단량체의 부분전환율 c영어를 적용하면 다음과 같다.[1]
:x̄n영어 = cK영어[M]0영어/[I]0영어[1]
여기서 유기금속 화합물에 의한 개시인 경우 K영어 = 1, 전자 이동 개시인 경우 K영어 = 2이고, [M]0영어와 [I]0영어는 각각 단량체와 개시제의 초기 농도이다.[1]
따라서, 주어진 개시제에 대해 x̄n영어는 단순히 [M]0영어/[I]0영어 비에 의하여 제어되며 단량체의 전환율이 증가하면 선형적으로 증가하여 100% 전환율에서 K영어[M]0영어/[I]0영어가 된다.[1]
α-메틸스타이렌같이 낮은 온도를 갖는 단량체에 대해서는 위의 식을 적용할 때 성장-해중합 평형을 고려해야만 하는데, 그것은 감지할 수 있을 정도의 많은 단량체 농도가 평형 상태에서 존재하기 때문이다(c영어 = 1 조건은 얻어지지 않을 수 있다).[1]
개시 반응은 아마이드산 포타슘(KNH2)의 해리가 일어난 후 아마이드 이온의 스타이렌 첨가를 수반한다. 정지 반응은 사슬 이동에 의해 암모니아로부터 양성자를 얻어서 일어나게 된다(용매로의 사슬 이동).[1]
개시의 두 번째 단계는 속도 결정 단계로, 이 반응의 속도 상수 에 의해 개시 속도가 조절된다. 따라서 사슬 이동 반응은 실제의 동역학적 정지 단계로 간주될 수 있다.[1]
6. 1. 중합 속도
개시제가 유기금속 화합물이든 전자 이동 착염이든 간에 각 개시제는 단 하나의 탄소음이온, 즉 하나의 활성 중심을 생성한다. 보통 개시제는 어떤 활성 중심이 성장을 시작하기 전에 이미 모두 반응하였다고 가정한다. 이는 다시 말해 모든 개시제의 종이 용매 속에서 활성으로 자유롭게 존재하고 있어서 개시 속도 상수 k|i영어가 성장 속도 상수 k|p영어보다 훨씬 크다는 가정과 같다. 이러한 조건 속에서는 성장하고 있는 탄소음이온 활성 중심의 총농도가 사용한 개시제의 농도 [I]|0영어와 같다. 따라서 정지 반응이 없을 때는 다음과 같다.:R|p영어 = -d[M]/d|t영어 = k|p영어[I]|0영어[M]영어 (식 1)
이 식은 각각 반응의 k|p영어[I]|0영어가 일정하여, 유사 1차 반응을 보여준다. 식 1은 극성 용매에서 진행되는 균일계 중합에서는 보통 잘 맞는다. 그러나 비극성 용매에서 반응을 진행시키면서 성장하고 있는 탄소음이온의 활성 중심의 농도를 계산할 때는 개시제가 탄소음이온 활성 중심 모두의 늦은 반응과 응집 효과를 고려해야만 한다.
6. 2. 수평균 중합도
수평균 중합도는 중합의 리빙 특성을 고려하여 표현된다.[1]:x̄n영어 = (소모된 단량체의 몰수)/(생성된 고분자 사슬의 몰수)[1]
활성점의 손실이 전혀 없다고 하면, 이는 진정한 리빙 조건이다. 위 식에 단량체의 부분전환율 c영어를 적용하면 다음과 같다.[1]
:x̄n영어 = cK영어[M]0영어/[I]0영어[1]
여기서 유기금속 화합물에 의한 개시인 경우 K영어 = 1, 전자 이동 개시인 경우 K영어 = 2이고, [M]0영어와 [I]0영어는 각각 단량체와 개시제의 초기 농도이다.[1]
따라서, 주어진 개시제에 대해 x̄n영어는 단순히 [M]0영어/[I]0영어 비에 의하여 제어되며 단량체의 전환율이 증가하면 선형적으로 증가하여 100% 전환율에서 K영어[M]0영어/[I]0영어가 된다.[1]
α-메틸스타이렌같이 낮은 온도를 갖는 단량체에 대해서는 위의 식을 적용할 때 성장-해중합 평형을 고려해야만 하는데, 그것은 감지할 수 있을 정도의 많은 단량체 농도가 평형 상태에서 존재하기 때문이다(c영어 = 1 조건은 얻어지지 않을 수 있다).[1]
6. 3. 예: KNH2 개시에 의한 스타이렌 중합
개시 반응은 아마이드산 포타슘(KNH2)의 해리가 일어난 후 아마이드 이온의 스타이렌 첨가를 수반한다. 정지 반응은 사슬 이동에 의해 암모니아로부터 양성자를 얻어서 일어나게 된다(용매로의 사슬 이동).[1] 이것을 동역학적 메커니즘으로 보면 다음과 같다.개시의 두 번째 단계는 속도 결정 단계로, 이 반응의 속도 상수 에 의해 개시 속도가 조절된다. 따라서 사슬 이동 반응은 실제의 동역학적 정지 단계로 간주될 수 있다.[1]
7. 용매 및 반대 이온의 효과
이온 중합은 이온성 화학종의 생성과 성장에 의존하는 반응이므로, 용매의 극성이 중요하다. 성장 화학종은 공유성 화학종, 밀접 이온쌍, 용매 분리형 이온쌍, 자유 이온의 4가지 상태로 구분된다.[10]
극성 용매는 느슨한 이온쌍과 자유 이온 생성을 유리하게 하여 중합 속도를 빠르게 한다. 반면, 비극성 용매에서는 접촉 이온쌍 생성이 유리하여 중합 속도가 느리다. 음이온 중합에서 성장 속도는 자유 이온이 이온쌍보다 훨씬 빠르다(100~10000배).[10] 용매의 극성이 높아지면 평형이 이온쌍에서 자유 음이온 쪽으로 이동하고, 음이온 중합은 접촉 이온보다 느슨한 이온 상태에서 반응성이 더 크다. 예를 들어, 1,2-다이메톡시에테인의 산소 원자에 형성된 고립 전자쌍에 의한 리튬 이온의 배위는 고분자의 탄소음이온 활성점을 자유롭게 만든다.[10]
벤젠과 같이 용매화가 약하거나 되지 않는 경우, 반대 이온의 크기가 커질수록 이온이 더 잘 분리되어 이온쌍의 성장 속도 상수가 증가한다. 극성 용매에서는 반대로 작은 반대 이온이 더 강하게 용매화되어 반대 경향이 나타난다.
비극성 용매에서는 자유 이온과 용매 분리형 이온쌍이 존재하지 않고, 접촉 이온쌍이 응집된다. 개시제는 성장 이온쌍보다 더 강하게 응집되어 개시가 성장보다 느리게 일어나고, Poisson 분포보다 넓은 몰질량 분포를 갖는 고분자가 생성된다. 극성 용매에서 접촉 이온쌍에서 용매 분리형 이온쌍으로의 전환은 발열 반응이고, 용매 분리형 이온쌍에서 자유 이온 생성 반응은 온도에 의존하지 않는다. 낮은 반응 온도는 덜 반응성인 접촉 이온쌍보다 용매 분리형 이온쌍의 농도를 증가시켜 중합 속도를 높인다.[11]
8. 응용
리빙 음이온 중합은 반응 시간에 따라 중합도를, 개시제와 단량체의 비율에 따라 분자량을 조절할 수 있다. 사슬 말단의 활성이 유지되므로, 다른 단량체를 첨가하여 블록 공중합체(block copolymer)를 만들거나, 말단 활성기에 반응하는 화합물을 넣어 텔레킬릭(telechelic) 고분자를 합성할 수 있다.[12]
이러한 방법을 통해 전기적, 광학적 성질을 가진 고분자를 합성하거나, 무기 나노 입자를 고분자 안에 분산시켜 나노 구조를 제어할 수 있다. 또한, 양친매성 고분자를 이용한 고분자 유화제, 블록 공중합체를 이용한 나노복합체 등으로도 활용 가능하다.
8. 1. 나노 구조 제어된 고분자 재료
블록 공중합체의 한 도메인에 생체, 분리, 광 기능성 등을 도입하면 고분자의 기능 증진 또는 제어가 가능할 것으로 기대된다.- 생체 적합성 재료: 친수성과 소수성으로 구성된 블록 공중합체는 항혈전성 재료의 하나로서 우수하다고 알려져 있다. 이러한 공중합체는 불규칙 공중합체나 단독 고분자보다 혈액 응고 인자의 방출이나 혈액 응고 시간에 있어서 우수한 항혈전성을 나타낸다는 연구 결과가 있다.
- 해수 담수화막 재료: 서로 다른 블록이 각각 양, 음전하를 갖는 모자이크 막은 해수의 담수화에 이용될 수 있다. 이러한 소재는 음이온 중합에 의해서 제어할 수 있으며, 나노 구조를 이용했을 때만 그 기능을 증진시킬 수 있다.
- 광 기능 재료: 광학 재료로서 무기물질을 사용할 경우, 제작이 어렵고 공정에 많은 비용이 소모된다는 단점이 있다. 이러한 문제를 극복하기 위해 나노 구조가 제어된 고분자 재료를 이용한 광학 특성에 관한 연구가 활발하게 진행되고 있다.[13]
8. 2. 메조 다공성 막의 제조
블록 공중합체는 고체 상태에서 두 블록의 상 분리가 이루어지는데, 이때 두 블록의 분자량 비를 조절하여 판상형, 원통형, 구형 등으로 구조를 변형할 수 있다. 블록 공중합체의 상 분리된 한 영역에 무기 나노 입자가 선택적으로 삽입되면 재료의 물성뿐만 아니라 전기화학적, 광학적, 전자기학적 성질도 향상시킬 수 있다.상 분리가 일어난 블록 공중합체에 실리카를 도입하면 정교하게 제어된 나노 구조를 갖는 다공성 필름을 제조할 수 있다. 예를 들어, 폴리스타이렌과 폴리비닐피리딘의 블록 공중합체를 음이온 중합으로 합성하고, 이 블록 공중합체 용액에 TEOS(tetraethoxysilane)와 같은 무기물 나노 입자를 혼합하면 나노 복합체가 제조된다. 이 나노 복합체 필름을 450°C에서 소결하여 고분자를 제거하면 규칙적인 다공성 필름이 만들어진다.
블록 공중합체의 한 도메인을 선택적으로 제거하여 다공성 막을 제조하는 방법도 있다. 스타이렌 유도체와 아이소프렌으로 구성된 블록 공중합체 필름을 제조한 뒤, 오존을 이용하여 아이소프렌 블록만을 제거하면 제어된 구조의 다공성 막을 얻을 수 있다.[14]
8. 3. 거대분자 구조의 합성
거대분자 구조는 적합한 반응 자리를 가지며 고분자들 간의 접합점을 갖는 몇몇 고분자들로 연결된 구성을 가진다. 하지만 거대분자 구조를 합성하는데 가장 큰 제한점은 고분자 합성 과정에서 나타나는데, 고분자 세그먼트가 도입된 후의 반응 자리가 사라지는 것이다. 따라서 다블록 고분자, 그래프트 고분자, 별 모양 고분자(DSP, Dendrimer-like Star-branched Polymer)같은 복합한 거대분자 구조를 만드는 것은 매우 어렵다. 이러한 한계를 극복하기 위해 all-around 방법이 개발되었다. 이는 음이온 리빙 중합에서 새로운 개념의 단계적 반복을 통한 결합으로 접근하는 방법으로서, 고분자 세그먼트를 도입한 후에 반응 자리가 재생되는 방법을 디자인한 것으로 반복이 가능하다. 만약 이것이 반응 중 만족스럽게 작동한다면 앞서 설명한 거대분자 구조 합성의 단점을 말끔히 해결할 수 있다.[15]9. 한계점
음이온 중합은 반응성이 매우 높은 탄소 음이온 활성 중심을 이용하기 때문에, 물(H2O), 이산화 탄소(CO2), 산소(O2)와 같은 반응성 불순물에 매우 민감하여 중합 반응을 방해받거나 중단될 수 있다.[11] 따라서 음이온 중합을 성공적으로 수행하기 위해서는 모든 반응물과 용매를 엄격하게 정제해야 하며, 반응은 불활성 기체 환경에서 빈틈없이 밀봉된 장치 내에서 진행되어야 한다. 이러한 조건을 맞추기 위해 고진공 기술이 사용되기도 한다.[11]
9. 1. 활성 작용기를 갖는 단량체의 음이온 중합
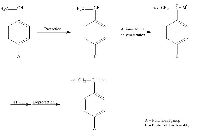
단량체에 활성 작용기가 포함된 경우, 음이온 활성 말단이 이들 작용기를 공격할 수 있기 때문에 설계대로의 중합체를 얻기가 어렵다. 따라서 먼저 활성 작용기를 보호(protection)한 후 고분자를 형성한 다음, 다시 탈리반응에 의해서 보호를 해제(deprotection)함으로써 작용기를 정량적으로 생성하는 방법이 있다.[14]
특히, 곁사슬로 산성기를 갖는 단량체는 산성 수소가 보호된 형태로 반응을 진행해야 하며 고분자가 형성된 다음에 보호를 해제해야 한다. 예를 들어 펜던트 하이드록실기를 갖는 단량체는 트라이메틸실릴에터 형태로 사용되며, 카복실산기를 갖는 단량체는 트라이메틸실릴에터 또는 ''tert''-뷰틸에스터 형태로 반응시킨다.[16]
- -|]]
9. 2. 극성 단량체의 음이온 중합
극성 단량체의 음이온 중합은 극성기가 관여하는 부반응으로 인해 복잡하다. 예를 들어, 아크릴레이트와 메타크릴레이트의 중합에서 개시제종과 성장 단계의 활성 중심들이 C=C 이중 결합이 아닌 단량체나 고분자의 C=O 이중결합 부분과 반응할 수 있다. 이러한 부반응은 개시제의 손실, 사슬 성장의 정지, 넓은 몰 질량 분포를 갖는 고분자 생성 등의 결과를 초래한다.[16] 메틸 메타크릴레이트(R=R1=CH3)의 경우, 부반응은 극성 용매, 낮은 온도, 부피가 큰 개시제, 큰 반대 이온 등을 사용하여 억제할 수 있다.[16]
다른 예로는 카르바졸을 함유하는 스타이렌 유도체의 음이온 중합이 있다. 음이온성 스타이렌이 기능성 그룹을 갖는 경우, 중합 도중에 부반응이 발생하기 때문에 어렵다. 대표적인 예로 스타이렌 유도체의 para- 위치에 전자를 공여하는(electron-donating) 그룹이 있는 경우에 부반응에 의해서 분자량 제어와 좁은 분자량 분포를 달성하기 어렵다.[14]

9. 3. 폴리아이소사이아네이트 (Polyisocyanate)
음이온성 폴리아이소사이아네이트는 주사슬의 아마이드 결합에 의해 부분 이중 결합이 형성되어 매우 견고하고, 입체 장애로 인해 용액 상태와 결정 상태에서 8/3의 나선형 구조를 가지고 있지만, 전체적으로 보면 왼쪽 방향의 나선과 오른쪽 방향의 나선이 균일하게 배치되어 있어 라세믹 카이랄 특성을 가지고 있다. 폴리아이소사이아네이트는 NaCN과 N,N-다이메틸포름아마이드(DNF)를 각각 개시제와 용매로 사용해 -60℃에서 중합하는 것이 일반적이었다. 하지만 비슷한 극성 단량체인 MMA의 중합과 마찬가지로 폴리아이소사이아네이트의 음이온 중합은 말단의 활성 음이온이 주사슬의 카보닐 그룹을 공격하여 열역학적으로 안정한 삼량체를 형성하는 꼬리물기가 일어나기 때문에, 고분자의 분자량 제어가 어렵고 단분산의 고분자를 얻기 힘들다. 또한 아이소사이아네이트 단량체의 높은 반응성으로 인해 고진공, 극저온과 같은 극한 반응 조건을 필요로 한다.[14]참조
[1]
서적
고분자화학
https://www.worldcat[...]
문운당
2013
[2]
서적
고분자과학
https://www.worldcat[...]
자유아카데미
2013
[3]
서적
고분자화학
https://www.worldcat[...]
문운당
2013
[4]
서적
고분자화학
https://www.worldcat[...]
문운당
2013
[5]
서적
고분자화학
https://www.worldcat[...]
문운당
2013
[6]
서적
고분자과학
https://www.worldcat[...]
자유아카데미
2013
[7]
서적
고분자과학
https://www.worldcat[...]
자유아카데미
2013
[8]
서적
고분자과학
https://www.worldcat[...]
자유아카데미
2013
[9]
서적
고분자과학
https://www.worldcat[...]
자유아카데미
2013
[10]
서적
Principles of polymerization
https://www.worldcat[...]
2004
[11]
서적
고분자과학
https://www.worldcat[...]
자유아카데미
2013
[12]
간행물
리빙 음이온 중합의 최신 동향
한국고분자학회
2011-08
[13]
간행물
음이온 리빙중합에 의한 고분자 나노구조제어
한국고분자학회
1999-08
[14]
간행물
리빙 음이온중합
한국고분자학회
2002-10
[15]
간행물
음이온 분산 중합을 이용한 styrene/DVB계 입자의 합성 및 고성능 고무제조에의 적용
http://www.riss.kr/l[...]
2015
[16]
서적
고분자과학
https://www.worldcat[...]
자유아카데미
2013
본 사이트는 AI가 위키백과와 뉴스 기사,정부 간행물,학술 논문등을 바탕으로 정보를 가공하여 제공하는 백과사전형 서비스입니다.
모든 문서는 AI에 의해 자동 생성되며, CC BY-SA 4.0 라이선스에 따라 이용할 수 있습니다.
하지만, 위키백과나 뉴스 기사 자체에 오류, 부정확한 정보, 또는 가짜 뉴스가 포함될 수 있으며, AI는 이러한 내용을 완벽하게 걸러내지 못할 수 있습니다.
따라서 제공되는 정보에 일부 오류나 편향이 있을 수 있으므로, 중요한 정보는 반드시 다른 출처를 통해 교차 검증하시기 바랍니다.
문의하기 : help@durumis.com
