캡토프릴
"오늘의AI위키"의 AI를 통해 더욱 풍부하고 폭넓은 지식 경험을 누리세요.
1. 개요
캡토프릴은 고혈압, 심장 질환, 신장 질환 치료에 사용되는 약물이다. 안지오텐신 전환 효소(ACE)를 억제하여 혈관을 확장시키고 신장 기능을 조절하는 기전을 통해 효과를 나타낸다. 캡토프릴은 1975년 처음 합성되었으며, 최초의 ACE 억제제로서 획기적인 약물로 평가받았다. 주요 부작용으로는 기침, 발진, 미각 이상 등이 있으며, 짧은 반감기로 인해 하루에 여러 번 복용해야 하는 단점이 있다. 이러한 단점을 보완하기 위해 에날라프릴과 같은 후속 ACE 억제제가 개발되었다.
더 읽어볼만한 페이지
- ACE 억제제 - 퀴나프릴
퀴나프릴은 고혈압과 심부전 치료에 사용되는 약물로, 어지럼증, 기침 등의 부작용이 있을 수 있으며, ACE 억제 작용을 통해 혈압을 낮춘다. - ACE 억제제 - 에날라프릴
에날라프릴은 안지오텐신 전환 효소(ACE) 억제제로서 고혈압, 심부전, 좌심실 기능 부전 치료에 사용되며 만성 신장 질환 환자에게 신장 보호 효과를 나타내고, 활성 대사체인 에날라프릴레이트가 ACE 효소를 억제하여 혈압을 낮추는 기전을 가지며 캡토프릴의 단점을 개선하여 개발되었다. - 피롤리딘 - 프롤린
프롤린은 고리형 곁사슬을 가진 아미노산으로, 단백질 구조의 독특한 입체구조적 특성, 글루탐산으로부터의 생합성, 콜라겐 안정성 기여, 식물 스트레스 반응 관여, 유기촉매 반응에서의 비대칭 촉매 역할, 그리고 프롤린 섭취와 우울증 위험 간의 연관성 등의 특징을 가진다. - 피롤리딘 - 설피리드
설피리드는 용량에 따라 위궤양, 십이지장 궤양, 우울증, 정신 분열증 등 다양한 질환 치료에 사용되는 벤즈아미드계 약물로, 도파민 D2 및 D3 수용체에 선택적으로 작용한다. - 브리스톨 마이어스 스퀴브 - 조제분유
조제분유는 모유 수유가 어려운 영아에게 영양을 공급하는 대체 식품으로, 낮은 모유 수유율로 인해 널리 사용되지만 질병 위험 증가 및 안전성 문제, 마케팅 윤리 논란 등으로 국제적인 규제를 받고 있다. - 브리스톨 마이어스 스퀴브 - 탈리도마이드
탈리도마이드는 1950년대 후반 독일에서 개발된 수면제 및 입덧 완화제였으나, 심각한 기형 유발 부작용으로 판매가 중단되었고 이후 항암 및 면역 조절 효과가 발견되어 특정 질환 치료에 제한적으로 사용되며 엄격하게 관리되는 약물이다.
| 캡토프릴 | |
|---|---|
| 기본 정보 | |
| 상품명 | 카포텐, 기타 |
| 약물닷컴 | 약물닷컴 캡토프릴 정보 |
| 메들린플러스 | 메들린플러스 캡토프릴 정보 |
| 임신 범주 (호주) | D |
| 투여 경로 | 입으로 |
| ATC 코드 | C09AA01 |
| 합법적 상태 (EU) | 처방전 필요 |
| 합법적 상태 | 처방전 필요 |
| 약리학적 정보 | |
| 생체 이용률 | 70–75% |
| 대사 | 간 |
| 소멸 반감기 | 1.9시간 |
| 배설 | 신장 |
| 식별자 | |
| IUPHAR 리간드 | 5158 |
| CAS 등록번호 | 62571-86-2 |
| 펍켐 CID | 44093 |
| 드러그뱅크 | DB01197 |
| 켐스파이더 ID | 40130 |
| UNII | 9G64RSX1XD |
| KEGG | D00251 |
| ChEBI | 3380 |
| ChEMBL | 1560 |
| PDB 리간드 | X8Z |
| 화학적 및 물리적 데이터 | |
| 분자식 | C9H15NO3S |
| 스마일즈 표기법 | O=C(O)[C@H]1N(C(=O)[C@H](C)CS)CCC1 |
| 표준 InChI | 1S/C9H15NO3S/c1-6(5-14)8(11)10-4-2-3-7(10)9(12)13/h6-7,14H,2-5H2,1H3,(H,12,13)/t6-,7+/m1/s1 |
| 표준 InChIKey | FAKRSMQSSFJEIM-RQJHMYQMSA-N |
2. 의학적 용도
캡토프릴은 주로 혈관 확장 및 일부 신장 기능 활동 억제에 기반하여 다음과 같은 질환의 치료에 사용된다.[5]
또한 일부 환자에서 기분 고조 효과를 보였으며, 암 치료에도 사용하기 위한 연구가 진행된 바 있다.[6][7] 캡토프릴 입체 이성질체는 또한 일부 금속-β-락타마제를 억제하는 것으로 보고되었다.[8]
2. 1. 고혈압
캡토프릴은 혈관 확장 및 일부 신장 기능 활동 억제에 기반하여 고혈압 치료에 사용된다.[5] 캡토프릴은 본태성 고혈압, 신성 고혈압, 신혈관성 고혈압, 악성 고혈압 등 다양한 유형의 고혈압에 사용된다.[38][39]2. 2. 심장 질환
캡토프릴은 주로 혈관 확장 작용과 신장 보호 작용을 한다. 이러한 작용을 바탕으로 울혈성 심부전과 같은 심장 질환 및 심근 경색 후의 심부전 치료에 사용된다.[5]2. 3. 신장 질환
캡토프릴은 당뇨병성 신증 환자의 신장 기능을 보존하는 데 사용된다.[5]2. 4. 기타
일부 환자에서 기분 고조 효과를 보였다. 이는 동물 스크리닝 모델에서 이 화합물에 대한 잠정적인 항우울 효과를 나타낸다는 관찰과 일치하지만, 한 연구에서는 부정적인 결과가 나왔다. 우울증 환자를 대상으로 한 공식적인 임상 시험은 보고되지 않았다.[6]암 치료에도 사용하기 위한 연구가 진행된 바 있다.[7]
3. 부작용
캡토프릴은 다양한 부작용을 유발할 수 있다. 대부분의 부작용은 모든 ACE 억제제에서 공통적으로 나타나지만, 캡토프릴은 특유의 화학 구조(티올기)로 인해 다른 ACE 억제제에서는 드물게 나타나는 부작용이 발생할 수 있다.
| 종류 | 빈도 | 부작용 |
|---|---|---|
| 일반적인 부작용 | 브래디키닌의 혈장 농도 증가로 인한 마른 기침, 혈관부종, 무과립구증, 단백뇨, 고칼륨혈증, 미각 이상, 기립성 저혈압, 급성 신부전, 백혈구 감소증 | |
| 고칼륨혈증 | ||
| 가려움증 | ||
| 두통 | ||
| 빈맥 | ||
| 흉통 | ||
| 두근거림 | ||
| 쇠약 | ||
| 캡토프릴 특유의 부작용 | 발진 및 미각 이상(금속성 맛 또는 미각 상실) | |
| 기타 부작용 | 가려움, 두통, 빈맥, 흉통, 두근거림, 쇠약, 식욕 부진, 구역, 구토, 설사 | |
| 0.1% 미만 | BUN 상승, 혈청 크레아티닌 상승, 발진, 소양, 식욕 부진, 구역·구토, 설사, AST(GOT) 상승, ALT(GPT) 상승 | |
| 중대한 부작용 (일본 기준) | 빈도 불명 | 아나필락시스 |
| 혈관부종 | ||
| 범혈구감소증 | ||
| 무과립구증 | ||
| 급성 신부전 | ||
| 신증후군 | ||
| 고칼륨혈증 | ||
| 천포창 유사 증상 | ||
| 피부 점막 안 증후군 | ||
| 박탈성 피부염 | ||
| 협심증 | ||
| 심근 경색 | ||
| 울혈성 심부전 | ||
| 심정지 | ||
| 착란 | ||
| 췌장염 |
3. 1. 일반적인 부작용
다른 ACE 억제제와 마찬가지로, 캡토프릴은 브래디키닌의 혈장 농도 증가로 인한 마른 기침, 혈관부종, 무과립구증, 단백뇨, 고칼륨혈증, 미각 이상, 기립성 저혈압, 급성 신부전, 백혈구 감소증 등을 유발할 수 있다.[60][9] 특히 기침은 가장 흔한 부작용이다.[60][9][10]고칼륨혈증은 혈중 칼륨 수치를 높이는 다른 약물, 예를 들어 칼륨 보존 이뇨제와 함께 사용하면 특히 발생할 수 있다.[60][9]
그 밖의 일반적인 부작용은 다음과 같다:[60][9]
캡토프릴은 또한 고유한 티올 모이어티와 관련된 발진 및 미각 이상(금속성 또는 미각 상실)과 흔히 관련이 있다.[11]
1989년 9월 재심사 결과 공표 시점에서는 캡토프릴의 기침 발생률이 0.1% 미만으로 보고되었지만,[38] 클래스 효과로 인식된 후인 1994년 3월에는 1.64%로 보고되었다.[39]
그 외 0.1%에서 발생하는 부작용으로, BUN 상승, 혈청 크레아티닌 상승, 발진, 소양, 식욕 부진, 구역·구토, 설사, AST(GOT) 상승, ALT(GPT) 상승이 알려져 있다.[38][39]
3. 2. 캡토프릴 특유의 부작용
캡토프릴은 분자 내 티올기(설프히드릴기)를 가지고 있어 이로 인해 발진 및 미각 이상(금속성 맛 또는 미각 상실)이 나타날 수 있다.[11][57]캡토프릴의 이상반응은 다른 ACE 억제제와 유사하며, 기침이 가장 흔하다.[10] 그러나 캡토프릴은 다른 ACE 억제제와 달리 특유의 티올기 때문에 발진 및 미각 이상이 더 자주 나타난다.
3. 3. 기타 부작용
가려움,[9] 두통,[9] 빈맥,[9] 흉통,[9] 두근거림,[9] 쇠약,[9] 식욕 부진,[38] 구역, 구토, 설사[38] 등이 나타날 수 있다.3. 4. 중대한 부작용 (일본 기준)
일본 첨부 문서에 따르면 캡토프릴의 중대한 부작용은 다음과 같다.[38][39]이러한 부작용들은 발생 빈도가 알려져 있지 않다.[38][39]
4. 과다 복용
5. 약물동태
캡토프릴은 대부분의 ACE 억제제와 달리 프로드러그가 아니다. (리시노프릴은 프로드러그가 아닌 유일한 ACE 억제제이다.)[33] 경구 투여된 캡토프릴의 약 70%가 흡수된다. 생체이용률은 위장에 음식물이 있으면 감소한다. 캡토프릴은 부분적으로 대사되고 부분적으로 변화 없이 소변으로 배설된다.[34] 캡토프릴은 또한 비교적 불량한 약동학적 프로파일을 갖는다. 짧은 제거 반감기로 인해 하루에 두세 번 투여해야 하므로 환자의 순응도를 감소시킬 수 있다. 캡토프릴은 2–3시간의 짧은 반감기와 12–24시간의 작용 지속 시간을 갖는다.
복용된 캡토프릴의 약 70%가 체내에 흡수된다. 위 내에 음식물이 있으면 생체이용률이 저하된다. 혈중 반감기는 정제에서 0.43시간[38]~0.62시간[39], 캡슐제에서 2.13시간[39]이다. 일부는 미변화체로, 일부는 대사된 후에 소변으로 배설된다.[47] 배설량은 복용 후 24시간에 전체의 약 2/3 (그 절반은 미변화체)이다. 대사는 주로 글루타티온 포합이며, 소변 중 우세한 대사물은 포합체의 분해물인 캡토프릴-시스테인이황화물이다.[48]
캡토프릴은 혈중 반감기가 짧기 때문에 1일 2회~3회 복용이 필요하여 환자의 복약 순응도를 저하시킨다.
6. 작용 기전
캡토프릴은 안지오텐신 I이 안지오텐신 II로 전환되는 것을 차단하고 혈관 확장성 프로스타글란딘의 분해를 막아 혈관 수축을 억제하고 전신 혈관 확장을 촉진한다.[32]
6. 1. 구조-활성 관계
캡토프릴은 경구 투여 시 더 높은 생체이용률을 가지도록 하는 L-프롤린기를 가지고 있다. 분자 내의 티올 부분은 햅텐 또는 면역 반응과 관련이 있다. 과립구 감소증이라고도 알려진 이 면역 반응은 두드러기, 심한 복통, 호흡 곤란, 얼굴, 입술, 혀 또는 목의 부종을 포함하는 알레르기 반응과 함께 캡토프릴에서 나타날 수 있는 부작용을 설명할 수 있다.[4]효소와의 상호 작용 측면에서, 분자의 티올 부분은 ACE 효소의 결합 부위에 결합한다. 이것은 안지오텐신-1 분자가 일반적으로 결합하는 지점을 억제하여, 레닌-안지오텐신 시스템 내의 후속 효과를 억제한다.
7. 역사
캡토프릴은 1975년 미국의 제약 회사 E.R. Squibb & Sons Pharmaceuticals (현재 브리스톨-마이어스 스퀴브)의 연구원들인 미겔 온데티, 버나드 루빈, 데이비드 쿠쉬먼에 의해 개발되었다.[59] 1976년 2월에 미국 특허를 신청하여 1977년 9월에 승인받았으며, 1980년에 의료용으로 승인되었다.[3] 캡토프릴은 최초의 안지오텐신 전환 효소(ACE) 억제제로, 작용 기전과 개발 과정 모두에서 획기적인 발견으로 평가받는다.[16][17]
캡토프릴 개발은 구조 기반 약물 설계의 초기 성공 사례 중 하나였다.[18] 20세기 중반에 광범위하게 연구된 레닌-안지오텐신-알도스테론 시스템은 고혈압 치료를 위한 새로운 치료법 개발에 여러 표적을 제시했다. 처음 시도된 두 가지 표적은 레닌과 ACE였다.
이 연구에 공헌한 존 베인은 1980년대에 노벨상을 받았고 기사 작위를 받았으며, 세르지오 페레이라는 브라질로부터 국립 과학 공로 훈장을 받았다.
캡토프릴은 1981년 4월 6일에 미국 식품의약국(FDA) 승인을 받았다. 1996년 2월, 브리스톨-마이어스 스퀴브가 캡토프릴에 대해 보유하고 있던 시장 독점권이 만료되면서 미국에서 일반 의약품으로 판매되기 시작했다.
일부에서는 뱀독을 활용한 캡토프릴 개발이 브라질 원주민들에게 아무런 이익을 주지 않았다는 점에서 "바이오해적 행위"라고 비판하기도 한다.[55]
7. 1. 개발 배경
1960년대 후반, 존 베인(John Vane)은 영국 왕립 외과 대학에서 신체가 혈압을 조절하는 메커니즘을 연구하고 있었다.[15] 그는 브라질의 세르지오 엔히케 페레이라(Sérgio Henrique Ferreira)와 함께 연구했는데, 페레이라는 브라질 살무사 자라라카(''Bothrops jararaca'')의 독을 연구하고 있었으며, 뱀독 샘플을 가져왔다. 베인 팀은 뱀독의 펩타이드 중 하나가 혈압 조절에 작용하는 안지오텐신 전환 효소(ACE)의 작용을 선택적으로 억제한다는 것을 발견했다. 뱀독은 혈압을 심하게 낮추는 방식으로 작용했다. 1970년대에 ACE는 신장에서 물과 염의 방출을 제어하여 혈압을 높이는 것으로 밝혀졌다.1970년, 세르지오 페레이라가 제공한 브래디키닌 강화 인자(BPF)를 사용하여,[23] 안지오텐신 I이 폐 순환을 통과하는 동안 안지오텐신 II로의 전환이 억제된다는 것을 발견했다. BPF는 나중에 창꼬치뱀(''Bothrops jararaca)'' 독에 들어 있는 펩타이드로 밝혀졌으며, 이는 전환 효소의 "수집된 산물 억제제"였다. 캡토프릴은 이 펩타이드를 기반으로 개발되었으며, QSAR 기반 변형을 통해 펩타이드의 말단 설프히드릴 부분이 ACE 억제의 높은 효능을 제공한다는 것을 발견했다.[24]
캡토프릴은 미국의 제약 회사 E.R. Squibb & Sons Pharmaceuticals (현재 브리스톨-마이어스 스퀴브)의 미겔 온데티, 버나드 루빈, 데이비드 쿠쉬먼 등 세 명의 연구자에 의해 1975년 처음 합성되었다.
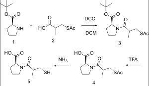
8. 화학 합성

캡토프릴은 L-프롤린을 염기성 조건(수산화나트륨) 하에서 (2S)-3-아세틸티오-2-메틸프로파노일 클로라이드로 처리한 후, 약물의 자유 티올을 노출시키기 위해 보호 아세틸 그룹의 아미노 분해 반응을 통해 화학적으로 합성할 수 있다.[25]
9. 후속 ACE 억제제 개발
캡토프릴의 부작용은 다른 ACE 억제제와 크게 다르지 않으며, 주요 부작용은 기침이다.[56] 그러나 캡토프릴에서는 이 외에도 티올기에 의한 발진이나 미각 이상(금속 맛 또는 미각 소실)도 발생한다.[57]
캡토프릴은 약물동태학적으로도 우수하다고 할 수 없으며, 혈중 반감기가 짧기 때문에 1일 2~3회 복용이 필요하여 환자의 복약 순응도를 저하시킨다.
위의 부작용과 약물동태상의 결점을 해소하기 위해 에날라프릴과 그 이후의 ACE 억제제가 개발되었다. 발진이나 미각 이상을 일으킨다고 여겨졌던 설프히드릴기를 제거하는 것이 약물 설계의 조건 중 하나가 되었다.[58] 생체 이용률을 향상시키기 위해, 많은 경우 프로드러그화되었다. 후속의 모든 ACE 억제제는 혈중 반감기가 길기 때문에 1일 1~2회 투여로, 복약 순응도 개선에 기여하고 있는 것으로 보인다.
참조
[1]
웹사이트
List of nationally authorised medicinal products Active substance: captopril
https://www.ema.euro[...]
European Medicines Agency
2020-11-26
[2]
논문
Medical intelligence drug therapy: captopril
1982-01
[3]
서적
Analogue-based Drug Discovery
https://books.google[...]
John Wiley & Sons
2006
[4]
웹사이트
Captopril: Uses, Dosage, Side Effects
https://www.drugs.co[...]
2021-10-31
[5]
논문
High-resolution crystal structures of Drosophila melanogaster angiotensin-converting enzyme in complex with novel inhibitors and antihypertensive drugs
2010-07
[6]
서적
Psychopharmacology
Raven Press
1995
[7]
논문
Captopril as a potential inhibitor of lung tumor growth and metastasis
2008-09
[8]
논문
Structural Basis of Metallo-β-Lactamase Inhibition by Captopril Stereoisomers
2016-01
[9]
웹사이트
Captopril (ACE inhibitor): side effects
http://mc.lifehugger[...]
lifehugger
2008-07-09
[10]
서적
Australian Medicines Handbook
Australian Medicines Handbook
2006
[11]
논문
Captopril in the treatment of clinical hypertension and cardiac failure
1979-10
[12]
서적
Goldfrank's toxicologic emergencies
McGraw-Hill Education
2019
[13]
문서
Meyler's Side Effects of Analgesics and Anti-inflammatory Drugs
[14]
논문
Effect of naloxone on the actions of captopril
1985-11
[15]
웹사이트
Drugs with bite: The healing powers of venoms
https://www.newscien[...]
2020-07-30
[16]
논문
From snake venom to ACE inhibitor the discovery and rise of captopril
http://www.pharmaceu[...]
2015-01-08
[17]
논문
Chronicals of Drug Discovery, vol. 2.
1985-09
[18]
논문
Design of potent competitive inhibitors of angiotensin-converting enzyme. Carboxyalkanoyl and mercaptoalkanoyl amino acids
https://pubs.acs.org[...]
1977-12
[19]
논문
Conversion of angiotensin I to angiotensin II
1967-11
[20]
논문
Fate of angiotensin I in the circulation
1968-04
[21]
논문
Some properties of angiotensin converting enzyme in the lung in vivo
1970-03
[22]
논문
The disappearance of bradykinin and eledoisin in the circulation and vascular beds of the cat
1967-06
[23]
논문
The discovery of captopril
2003-05
[24]
논문
From viper's venom to drug design: treating hypertension
2004-03
[25]
논문
Synthesis of captopril starting from an optically active .BETA.-hydroxy acid
[26]
특허
Prolinderivate und verwandte Verbindungen, Verfahren zu ihrer Herstellung und ihre Verwendung als Arzneimittel [Proline derivatives and related compounds, methods for their manufacturing and their use as a medicinal product]
[27]
특허
[28]
특허
[29]
논문
Design of specific inhibitors of angiotensin-converting enzyme: new class of orally active antihypertensive agents
1977-04
[30]
논문
Design of potent competitive inhibitors of angiotensin-converting enzyme. Carboxyalkanoyl and mercaptoalkanoyl amino acids
1977-12
[31]
논문
An improved synthesis of captopril
1984-12
[32]
서적
Davis's drug guide for nurses
F. A. Davis Company
2014-06-05
[33]
논문
Angiotensin-converting enzyme inhibitors
1998-04
[34]
논문
Pharmacokinetics of captopril in healthy subjects and in patients with cardiovascular diseases
1988-04
[35]
서적
新獣医薬理学 第二版
近代出版
[36]
논문
Chronicals of drug discovery, vol. 2.
1985-07
[37]
논문
High-Resolution Crystal Structures of Drosophila melanogaster Angiotensin-Converting Enzyme in Complex with Novel Inhibitors and Antihypertensive Drugs
[38]
웹사이트
カプトリル錠12.5mg/カプトリル錠25mg/カプトリル細粒5% 添付文書
http://www.info.pmda[...]
2016-05-07
[39]
웹사이트
カプトリル-Rカプセル18.75mg 添付文書
http://www.info.pmda[...]
2016-05-07
[40]
웹사이트
Novel Pharmacological Approaches to the Treatment of Depression
http://www.acnp.org/[...]
[41]
논문
Captopril as a potential inhibitor of lung tumor growth and metastasis
http://www3.intersci[...]
2008-09
[42]
웹사이트
Captopril (ACE inhibitor): side effects
http://mc.lifehugger[...]
lifehugger
2009-05-02
[43]
서적
Goldfrank's toxicologic emergencies
[44]
서적
Meyler's Side Effects of Analgesics and Anti-inflammatory Drugs
[45]
논문
Effect of naloxone on the actions of captopril
1985
[46]
논문
Angiotensin-converting enzyme inhibitors
https://circ.ahajour[...]
[47]
논문
Pharmacokinetics of captopril in healthy subjects and in patients with cardiovascular diseases
[48]
웹사이트
カプトリル錠12.5mg/カプトリル錠25mg/カプトリル細粒5% インタビューフォーム
http://www.info.pmda[...]
2015-03
[49]
웹사이트
カプトリル-Rカプセル18.75mg インタビューフォーム
http://www.info.pmda[...]
2015-03
[50]
문서
Ng KKF and Vane JR: Conversion of angiotensin I to angiotensin II. Nature 1967, 216, 762-766.
[51]
문서
Ng KKF and Vane JR: Fate of angiotensin I in the circulation. Nature, 1968, 218, 144-150.
[52]
문서
Ng KKF and Vane JR: Some properties of angiotensin converting enzyme in the lung in vivo. Nature, 1970, 225, 1142-1144.
[53]
논문
The discovery of captopril
http://www.fasebj.or[...]
2003-05
[54]
논문
From viper's venom to drug design: treating hypertension
2004-03
[55]
뉴스
Ellsworth B., Brazil to step up crackdown on "biopiracy" in 2011, Ruters, Dec. 22, 2010
http://www.reuters.c[...]
Ruters
2010-12-22
[56]
서적
Australian Medicines Handbook
Australian Medicines Handbook
2006
[57]
논문
Captopril in the treatment of clinical hypertension and cardiac failure
[58]
논문
A new class of angiotensin-converting enzyme inhibitors
[59]
서적
Analogue-based Drug Discovery
https://books.google[...]
John Wiley & Sons
2006
[60]
웹인용
Captopril (ACE inhibitor): side effects
http://mc.lifehugger[...]
lifehugger
2009-05-02
[61]
서적
Goldfrank's toxicologic emergencies
[62]
서적
Meyler's Side Effects of Analgesics and Anti-inflammatory Drugs
[63]
저널
Effect of naloxone on the actions of captopril
1985
[64]
저널
Chronicals of Drug Discovery, vol. 2
[65]
저널
From snake venom to ACE inhibitor the discovery and rise of captopril
http://www.pharmaceu[...]
2015-01-08
[66]
특허
M. A. Ondetti, D. W. Cushman
[67]
저널
Design of specific inhibitors of angiotensin-converting enzyme: New class of orally active antihypertensive agents
[68]
저널
Design of potent competitive inhibitors of angiotensin-converting enzyme. Carboxyalkanoyl and mercaptoalkanoyl amino acids
[69]
저널
An improved synthesis of captopril
본 사이트는 AI가 위키백과와 뉴스 기사,정부 간행물,학술 논문등을 바탕으로 정보를 가공하여 제공하는 백과사전형 서비스입니다.
모든 문서는 AI에 의해 자동 생성되며, CC BY-SA 4.0 라이선스에 따라 이용할 수 있습니다.
하지만, 위키백과나 뉴스 기사 자체에 오류, 부정확한 정보, 또는 가짜 뉴스가 포함될 수 있으며, AI는 이러한 내용을 완벽하게 걸러내지 못할 수 있습니다.
따라서 제공되는 정보에 일부 오류나 편향이 있을 수 있으므로, 중요한 정보는 반드시 다른 출처를 통해 교차 검증하시기 바랍니다.
문의하기 : help@durumis.com