피루브산 카복실화효소
"오늘의AI위키"의 AI를 통해 더욱 풍부하고 폭넓은 지식 경험을 누리세요.
1. 개요
피루브산 카복실화효소는 피루브산을 옥살로아세트산으로 전환하는 효소로, 포도당신생합성에 중요한 역할을 한다. 이 효소는 4개의 소단위체로 구성된 사량체이며, 각 소단위체는 비오틴 카복실화 도메인, 트랜스카복실화 도메인 등을 포함한다. 피루브산 카복실화효소는 ATP를 사용하여 두 단계의 반응을 통해 피루브산을 카복실화하며, 아세틸-CoA, 마그네슘, ATP, 피루브산에 의해 조절된다. 이 효소의 결핍은 젖산산증과 저혈당증을 유발할 수 있으며, 제2형 당뇨병과 같은 질병과 관련이 있다.
더 읽어볼만한 페이지
- EC 6.4.1 - 아세틸-CoA 카복실화효소
아세틸-CoA 카복실화효소(ACC)는 지방산 합성에 관여하는 효소로, 원핵생물, 식물, 진핵생물, 포유류 등에서 다양한 형태로 존재하며, 2단계 메커니즘을 통해 작동하고 전사, 알로스테릭, 번역 후 조절을 통해 조절된다. - 문라이팅 단백질 - 샤페로닌
샤페로닌은 도넛 모양의 구조를 가진 분자 샤페론의 일종으로, 그룹 I (세균, 엽록체, 미토콘드리아), 그룹 II (진핵생물 세포질, 고세균) 등으로 나뉘며, ATP 의존적인 단백질 폴딩을 유도하고 다양한 생명체 내 과정에 관여한다. - 문라이팅 단백질 - 알돌레이스
알돌레이스는 과당 1,6-이중인산을 분해하는 반응 등을 촉매하며 해당과정, 포도당신생합성 등 다양한 대사 경로에서 중요한 역할을 하는 효소이다. - 인간 11번 염색체상 유전자 - 뇌유래신경영양인자
뇌유래신경영양인자(BDNF)는 TrkB 및 p75 수용체에 결합하여 신경세포의 생존, 성장, 분화를 촉진하는 단백질로서 뇌의 학습, 기억, 고차원적 사고에 중요한 역할을 하며, 운동, 니아신 섭취, 다양한 신경정신 질환, 시냅스 가소성 조절, 신경 발생 등과 관련되어 있고 유전자 변이는 기능에 영향을 줄 수 있다. - 인간 11번 염색체상 유전자 - 젖산 탈수소효소
젖산 탈수소효소(LDH)는 피루브산을 젖산으로 또는 그 역반응을 촉매하는 효소로, 해당 과정과 코리 회로에서 작용하며, 5가지 동질효소 형태로 존재하고, 혈청 내 수치는 조직 손상 지표로 사용되며, 암세포 에너지 대사 및 유전 질환과도 관련되어 그 기능과 관련 질환에 대한 연구가 지속적으로 진행되고 있다.
| 피루브산 카복실화효소 | |
|---|---|
| 효소 정보 | |
| 이름 | 피루브산 카복실화효소 |
| 다른 이름 | 해당 없음 |
![]() | |
| EC 번호 | 6.4.1.1 |
| CAS 등록번호 | 9014-19-1 |
| GO 코드 | 0004736 |
| Pfam 정보 상자 | |
| 기호 | PYR_CT |
| 이름 | 피루브산 카복실기전이효소 |
| Pfam | PF00682 |
| InterPro | IPR000891 |
| PROSITE | PDOC50991 |
| 단백질 정보 상자 | |
| 이름 | 피루브산 카복실화효소 |
| 기호 | PC |
| 대체 기호 | 해당 없음 |
| HGNC ID | 8636 |
| 염색체 | 11 |
| 팔 | q |
| 띠 | 11 |
| 유전자좌 추가 정보 | -q13.1 |
| EC 번호 | 6.4.1.1 |
| OMIM | 608786 |
| Entrez Gene | 5091 |
| RefSeq | NM_000920 |
| UniProt | P11498 |
| PDB | 해당 없음 |
| 유전자 정보 상자 | |
| 효소 탐색기 | '6.4.1.1' |
| 화학식 | HCO3- |
2. 구조
피루브산 카복실화효소의 구조 연구는 전자 현미경 관찰, 제한된 단백질 분해, 그리고 효소를 암호화하는 유전자 및 cDNA의 복제 및 염기 서열 분석을 통해 이루어졌다. 활성화된 피루브산 카복실화효소는 4개의 동일한 소단위체로 구성된 사량체 효소이다. 각 소단위체는 비오틴 부분을 포함하며, 이는 인접한 단량체 사이 경계면에 형성된 촉매 부위로 이산화 탄소를 운반하는 스윙잉 암(swinging arm)으로 작용한다.[39][40]
기능적 사량체의 각 소단위체는 다음의 4가지 도메인을 포함한다.[39][40]
- 비오틴 카복실화(BC) 도메인
- 트랜스카복실화(CT) 도메인
- 비오틴 카복실기 운반체(BCCP) 도메인
- 피루브산 카복실화효소 사량체화(PT) 도메인
황색포도상구균(''Staphylococcus aureus'')과 리조비움 에틀리(''Rhizobium etli'')에서 피루브산 카복실화효소의 구조가 밝혀졌다.[41] 황색포도상구균의 피루브산 카복실화효소 사량체는 활성인자인 조효소 A와 복합체를 형성하며, 222 대칭을 가지는 고도로 대칭적인 구조를 가진다. 이는 극저온 전자 현미경(cryo-EM) 연구를 통해 확인되었다.[40] 반면, 리조비움 에틀리의 피루브산 카복실화효소 사량체는 아세틸-CoA의 비가수분해성 유사체인 에틸-CoA와 복합체를 형성하며, 단 하나의 대칭선만을 가진다.[41]
피루브산 카복실화효소는 공유 결합된 비오틴 보조 인자를 사용하여 두 단계로 아데노신 삼인산(ATP) 의존적인 피루브산의 옥살로아세트산으로의 카복실화를 촉매한다. 비오틴은 먼저 비오틴 카복실화(BC) 활성 부위에서 ATP와 중탄산염에 의해 카복실화된다. 이후 카복실기는 카복시비오틴에 의해 트랜스카복실화(CT) 도메인의 두 번째 활성 부위로 옮겨져 피루브산이 카복실화되어 옥살로아세트산을 생성한다. 비오틴 카복실기 운반체(BCCP) 도메인은 두 원거리 활성 부위 간에 테더링된 보조 인자를 이동시킨다.[41]
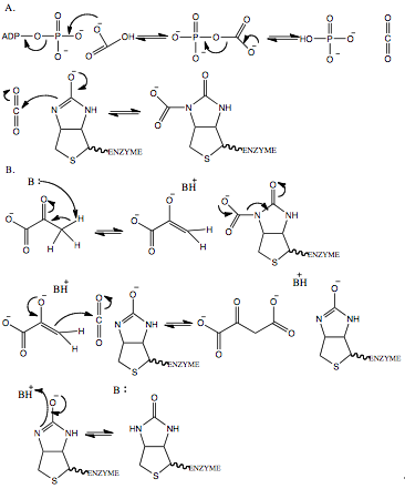
3. 반응 메커니즘
피루브산 카복실화효소의 반응 메커니즘은 크게 두 단계로 나눌 수 있다(오른쪽 그림 참조).[36]
('''A''') 비오틴(BC 도메인)의 ATP 의존적 카복실화,
('''B''') 피루브산(CT 도메인)의 트랜스카복실화.
1. 비오틴 카복실화: 첫 번째 단계에서는 ATP가 가수분해되어 생성된 탄산 인산 무수물([−O(−O)P(=O)O–C(=O)O−])이 비오틴 카복실기 운반체(BCCP) 도메인의 리신 잔기에 공유결합된 비오틴 보조 인자를 카복실화한다.[36] 이 반응은 대부분의 종에서 아세틸-CoA에 의해 활성화된다.[40] 탄산 인산 무수물은 효소에 결합된 비오틴 분자의 공격을 받기 전에 이산화 탄소와 인산염으로 분해된다.
2. 카복실기 전이: 두 번째 단계는 인접한 단량체인 트랜스카복실화(CT) 도메인에서 일어난다.[40] 활성 부위 잔기에 의해 피루브산에서 양성자가 제거되어 엔올레이트 중간생성물이 생성된다. 이 엔올레이트 중간생성물은 효소에 결합된 비오틴 분자로부터 방출된 CO2를 공격하여 옥살로아세트산을 생성한다.[41] 이후 옥살로아세트산은 방출되고, 비오틴 분자는 다시 양성자화되어 재카복실화될 준비를 한다.
아세틸-CoA는 첫 번째 부분 반응에서 ATP의 분해를 촉진하고, 효소의 사량체 구조에서 입체형태적 변화를 유도하는 것으로 알려져 있다.[37]
4. 기능
포도당신생합성에서 피루브산 카복실화효소는 피루브산을 옥살로아세트산으로 전환하는 반응을 촉매한다. 이 과정은 포스포엔올피루브산 생성을 통해 포도당신생합성 경로의 첫 단계를 담당한다. 일반적인 포도당신생합성 조건에서 옥살로아세트산은 미토콘드리아의 포스포엔올피루브산 카복시키네이스에 의해 포스포엔올피루브산으로 전환되고, 미토콘드리아 기질 밖으로 운반되어 세포질에서 포도당으로 전환된다.[42] 그러나 기아 상태에서는 세포질의 NADH 농도가 낮고 미토콘드리아의 NADH 농도가 높아 옥살로아세트산이 환원 당량의 셔틀로 사용될 수 있다. 이때 옥살로아세트산은 말산 탈수소효소에 의해 말산으로 전환된 후 세포질로 이동하여 다시 옥살로아세트산으로 전환되며, 이 과정에서 NAD+가 NADH로 환원된다. 이렇게 생성된 옥살로아세트산은 포스포엔올피루브산으로 전환되어 포도당신생합성에 사용된다.[33]
피루브산 카복실화효소는 간과 콩팥 겉질에서 높은 활성을 가지며, 이들 기관에서 포도당신생합성에 중요한 역할을 한다. 단식이나 기아 상태에서는 뇌, 백혈구, 콩팥 속질 등 특정 조직에 포도당 공급을 위해 피루브산 카복실화효소 및 기타 포도당신생합성 효소들의 발현이 증가한다.[43] 쥐를 대상으로 한 실험에서 영양 상태 변화는 간의 피루브산 카복실화효소 활성에 영향을 미치는 것으로 나타났다.[44] 단식은 피루브산 카복실화효소의 활성과 단백질 농도를 증가시켜 간의 포도당 생산을 촉진하며, 당뇨병 또한 유사한 방식으로 포도당신생합성을 증가시킨다.[45][46] 피루브산 카복실화효소는 글루카곤과 글루코코르티코이드에 의해 활성이 증가하는 반면, 인슐린에 의해 활성이 감소한다.[36] 젖소의 경우, 젖당 합성을 위해 피루브산 카복실화효소와 포스포엔올피루브산 카복시키네이스의 활성이 수유 기간 동안 크게 증가한다.[47]
피루브산 카복실화효소는 포도당신생합성 외에도 시트르산 회로에 옥살로아세트산을 공급하여 시트르산 회로가 원활하게 작동하도록 돕는 보충대사 반응 역할을 한다. 또한, 지방산 합성, 아미노산 대사 등 다양한 대사 경로에 필요한 중간생성물을 제공한다.
4. 1. 조절
피루브산 카복실화효소는 아세틸-CoA, Mg-ATP, 피루브산에 의해 알로스테릭하게 조절된다.[48][20]이 반응은 시트르산 회로를 회전시키는 데 필요한 옥살아세트산을 공급하는 가장 중요한 탄소 고정 보충 반응이다. 피루브산 카복실화효소는 미토콘드리아 내에 존재하는 비오틴 결합 단백질로, 효소 반응에는 마그네슘 또는 망가니즈와 아세틸-CoA가 필요하며, 근육이 아닌 간에서 일어난다. 고농도의 ADP는 효소의 인산화를 억제하기 때문에 효소의 활동이 유지되며, 그 동안 아세틸-CoA가 알로스테릭 효과에 의해 효소의 활성제가 된다.[32]
5. 임상적 중요성
탄수화물 대사와 지질 대사의 교차점에 있는 피루브산 카복실화효소의 발현은 포도당신생합성 조직, 지방 조직, 이자의 랑게르한스섬에서 조절되어야 한다. 과잉 영양 상태에서 이자의 β 세포에서 피루브산 카복실화효소의 수준이 증가하여 만성적으로 상승된 포도당 수준에 대한 반응으로 피루브산 순환이 증가한다.[49] 반대로 간에서 피루브산 카복실화효소의 수준은 인슐린에 의해 감소한다.[50]
제2형 당뇨병을 앓고 있는 쥐에서 말초 인슐린 저항성으로 인해 β 세포가 포도당에 만성적으로 노출되면 피루브산 카복실화효소의 활성이 감소하고 피루브산 순환이 감소한다.[52][53] 간세포에 의한 포도당의 지속적인 과잉생산은 β 세포의 유전자 발현에 극적인 변화를 일으켜 정상적으로 억제된 유전자가 크게 증가하고 인슐린, 인슐린 분비에 필요한 이온 펌프, 피루브산 카복실화효소를 포함한 인슐린 분비와 관련된 대사 효소의 발현이 동등하게 감소한다.[54][55] 동시에 지방 조직은 순환에서 트라이아실글리세롤과 비에스터화 지방산의 축적을 유발하는 인슐린 저항성을 발생시킨다. 이는 β 세포의 기능을 더욱 손상시킬 뿐만 아니라,[52][56] 피루브산 카복실화효소의 발현을 더욱 감소시킨다.[57][58] 이러한 변화는 대상부전 당뇨병에서 β 세포 표현형의 감소를 초래한다.
피루브산 카복실화효소 결핍은 젖산 축적의 결과로 젖산산증을 유발할 수 있다.[59] 일반적으로 과량의 피루브산은 옥살로아세트산으로 전환되어 포도당신생합성 경로로 들어가지만, 피루브산 카복실화효소 결핍으로 인해 과량의 피루브산은 대신 젖산으로 전환된다. 포도당신생합성의 핵심적인 역할은 혈당 유지에 있으므로, 피루브산 카복실화효소 결핍은 저혈당증을 유발할 수 있다.
참조
[1]
논문
Structure, mechanism and regulation of pyruvate carboxylase
2008-08
[2]
논문
Sheep Kidney Pyruvate Carboxylase
1972
[3]
논문
Mechanistic insight into allosteric activation of human pyruvate carboxylase by acetyl-CoA
https://linkinghub.e[...]
2022
[4]
논문
Purification and properties of rat brain pyruvate carboxylase.
1975
[5]
논문
Molecular cloning and domain structure of chicken pyruvate carboxylase
https://linkinghub.e[...]
2002-07-12
[6]
논문
Formation of oxaloacetate from pyruvate and carbon dioxide
1960-05
[7]
논문
A re-examination of the electron microscopic appearance of pyruvate carboxylase from chicken liver
1979-03
[8]
논문
Anaplerotic roles of pyruvate carboxylase in mammalian tissues
2006-04
[9]
논문
Molecular cloning and domain structure of chicken pyruvate carboxylase
2002-07
[10]
논문
Identification of novel alternatively spliced pyruvate carboxylase mRNAs with divergent 5'-untranslated regions which are expressed in a tissue-specific manner
1996-06
[11]
논문
Structure of the biotin carboxylase subunit of pyruvate carboxylase from Aquifex aeolicus at 2.2 A resolution
2004-03
[12]
논문
A symmetrical tetramer for S. aureus pyruvate carboxylase in complex with coenzyme A
2009-06
[13]
논문
Domain architecture of pyruvate carboxylase, a biotin-dependent multifunctional enzyme
2007-08
[14]
논문
Phosphoenolpyruvate cycling via mitochondrial phosphoenolpyruvate carboxykinase links anaplerosis and mitochondrial GTP with insulin secretion.
[15]
논문
Quantitation of hepatic glycogenolysis and gluconeogenesis in fasting humans with 13C NMR
1991-10
[16]
논문
Increased pyruvate flux capacities account for diet induced increase in gluconeogenesis ''in vitro''
[17]
논문
Effects of starvation, diabetes, and carbon tetrachloride intoxication on rat kidney cortex and liver pyruvate carboxylase levels
1996-12
[18]
논문
Modifications of citric acid cycle activity and gluconeogenesis in strepozotocin induced diabetes and effects of metformin
1999-06
[19]
논문
Changes in mRNA expression for gluconeogenic enzymes in the liver of dairy cattle during transition to lactation
[20]
서적
Macromolecular Protein Complexes
2017
[21]
논문
Enhanced rat β-cell proliferation in 60% pancreatectomized islets by increased glucose metabolic flux through pyruvate carboxylase pathway
2005-12
[22]
논문
Transcriptional regulation of metabolism
2006-04
[23]
논문
Pyruvate carboxylase in genetic obesity
1992-05
[24]
논문
Low mitochondrial glycerol phosphate dehydrogenase and pyruvate carboxylase in pancreatic islets of Zucker diabetic fatty rats
1996-11
[25]
논문
Normalization by insulin of low mitochondrial glycerol phosphate dehydrogenase and pyruvate carboxylase in pancreatic islets of the GK rat
1996-07
[26]
논문
Critical reduction in β-cell mass results in two distinct outcomes over time. Adaption with impaired glucose tolerance or decompensated diabetes
2003-01
[27]
논문
Secondary β-cell failure in type 2 diabetes-a convergence of glucotoxicity and lipotoxicity
2002-02
[28]
논문
Biochemical mechanism of lipid-induced impairment of glucose-stimulated insulin secretion and reversal with a malate analogue
[29]
논문
Expression profiling of palmitate- and oleate-regulated genes provides novel insights into the effects of chronic exposure on pancreatic β-cell function
2002-04
[30]
논문
Metabolic consequences of long-term exposure of pancreatic β-cells to free fatty acid with special reference to glucose insensitivity
2002-01
[31]
논문
Pyruvate carboxylase deficiency: metabolic characteristics and new neurological aspects
2006-01
[32]
문서
Pyruvate carboxylase. IX. Some properties of the activation by certain acyl derivatives of coenzyme A
[33]
논문
Structure, mechanism and regulation of pyruvate carboxylase
2008-08
[34]
논문
Formation of oxaloacetate from pyruvate and carbon dioxide
1960-05
[35]
논문
A re-examination of the electron microscopic appearance of pyruvate carboxylase from chicken liver
https://archive.org/[...]
1979-03
[36]
저널
Anaplerotic roles of pyruvate carboxylase in mammalian tissues
2006-04
[37]
저널
Molecular cloning and domain structure of chicken pyruvate carboxylase
2002-07
[38]
저널
Identification of novel alternatively spliced pyruvate carboxylase mRNAs with divergent 5'-untranslated regions which are expressed in a tissue-specific manner
1996-06
[39]
저널
Structure of the biotin carboxylase subunit of pyruvate carboxylase from Aquifex aeolicus at 2.2 A resolution
2004-03
[40]
저널
A symmetrical tetramer for S. aureus pyruvate carboxylase in complex with coenzyme A
2009-06
[41]
저널
Domain architecture of pyruvate carboxylase, a biotin-dependent multifunctional enzyme
2007-08
[42]
저널
" Phosphoenolpyruvate cycling via mitochondrial phosphoenolpyruvate carboxykinase links anaplerosis and mitochondrial GTP with insulin secretion."
[43]
저널
Quantitation of hepatic glycogenolysis and gluconeogenesis in fasting humans with 13C NMR
1991-10
[44]
저널
Increased pyruvate flux capacities account for diet induced increase in gluconeogenesis ''in vitro''
[45]
저널
Effects of starvation, diabetes, and carbon tetrachloride intoxication on rat kidney cortex and liver pyruvate carboxylase levels
1996-12
[46]
저널
Modifications of citric acid cycle activity and gluconeogenesis in strepozotocin induced diabetes and effects of metformin
https://archive.org/[...]
1999-06
[47]
저널
Changes in mRNA expression for gluconeogenic enzymes in the liver of dairy cattle during transition to lactation
[48]
저널
"Pyruvate Carboxylase, Structure and Function"
2017
[49]
저널
Enhanced rat β-cell proliferation in 60% pancreatectomized islets by increased glucose metabolic flux through pyruvate carboxylase pathway
2005-12
[50]
저널
" Transcriptional regulation of metabolism"
2006-04
[51]
저널
Pyruvate carboxylase in genetic obesity
1992-05
[52]
저널
Low mitochondrial glycerol phosphate dehydrogenase and pyruvate carboxylase in pancreatic islets of Zucker diabetic fatty rats
1996-11
[53]
저널
Normalization by insulin of low mitochondrial glycerol phosphate dehydrogenase and pyruvate carboxylase in pancreatic islets of the GK rat
https://archive.org/[...]
1996-07
[54]
저널
Critical reduction in β-cell mass results in two distinct outcomes over time. Adaption with impaired glucose tolerance or decompensated diabetes
2003-01
[55]
저널
Secondary β-cell failure in type 2 diabetes-a convergence of glucotoxicity and lipotoxicity
2002-02
[56]
저널
Biochemical mechanism of lipid-induced impairment of glucose-stimulated insulin secretion and reversal with a malate analogue
[57]
저널
Expression profiling of palmitate- and oleate-regulated genes provides novel insights into the effects of chronic exposure on pancreatic β-cell function
2002-04
[58]
저널
Metabolic consequences of long-term exposure of pancreatic β-cells to free fatty acid with special reference to glucose insensitivity
2002-01
[59]
저널
Pyruvate carboxylase deficiency: metabolic characteristics and new neurological aspects
2006-01
본 사이트는 AI가 위키백과와 뉴스 기사,정부 간행물,학술 논문등을 바탕으로 정보를 가공하여 제공하는 백과사전형 서비스입니다.
모든 문서는 AI에 의해 자동 생성되며, CC BY-SA 4.0 라이선스에 따라 이용할 수 있습니다.
하지만, 위키백과나 뉴스 기사 자체에 오류, 부정확한 정보, 또는 가짜 뉴스가 포함될 수 있으며, AI는 이러한 내용을 완벽하게 걸러내지 못할 수 있습니다.
따라서 제공되는 정보에 일부 오류나 편향이 있을 수 있으므로, 중요한 정보는 반드시 다른 출처를 통해 교차 검증하시기 바랍니다.
문의하기 : help@durumis.com
