옥살로아세트산
"오늘의AI위키"의 AI를 통해 더욱 풍부하고 폭넓은 지식 경험을 누리세요.
1. 개요
옥살로아세트산은 4개의 탄소 원자를 가진 유기 화합물로, 시트르산 회로의 중간체이며 여러 대사 과정에 관여한다. 옥살로아세트산은 탈양성자화 과정을 거쳐 2가 음이온을 형성하며, 엔올 형태가 안정하다. 생체 내에서는 시트르산 회로, 피루브산 카복실화효소, C4 식물, CAM 식물, 아스파르트산 아미노기 전이효소 등을 통해 생성된다. 옥살로아세트산은 시트르산 회로, 포도당신생합성, 요소 회로, 글리옥실산 회로, 지방산 합성, 아미노산 합성 등 다양한 생화학적 기능에 중요한 역할을 한다. 또한, 옥살로아세트산은 옥살산 생합성에도 관여하며, 선충의 수명을 연장시키는 효과도 있다.
더 읽어볼만한 페이지
- 베타-케토산 - 아세토아세트산
아세토아세트산은 간에서 생성되어 단식, 운동, 제1형 당뇨병 시 에너지원으로 사용되며, 다이케텐의 가수분해로 합성되고, 아세톤과 이산화탄소로 분해되거나 호변이성질화를 겪으며, 소변 검사를 통해 케톤산증과 케토제닉 다이어트 여부를 확인하는 데 활용된다. - 베타-케토산 - 아세토락트산
아세토락트산은 발린, 류신, 아이소류신 생합성의 초기 단계를 담당하며, 2개의 케토아이소발레르산에 의해 생성된다. - 알파-케토산 - 피루브산
피루브산은 세포 내 에너지 생성 및 대사에 핵심적인 역할을 하는 아세트산과 비슷한 냄새의 무색 액체 화합물로, 해당과정을 통해 생성되어 시트르산 회로에 들어가거나 젖산으로 환원되는 등 다양한 대사 경로에 관여하며, 체중 감량 보조제로 판매되기도 하고 의약품 개발에도 활용될 가능성이 연구된다. - 알파-케토산 - 알파-케토글루타르산
알파-케토글루타르산은 시트르산 회로의 핵심 중간생성물로서 아미노산 생성, 세포 내 탄소 및 질소 수준 조절, 암모니아 해독, 글루탐산 공급, OXGR1 수용체 결합, 콜라겐 생성, 활성 산소 제거 등 다양한 생체 기능에 관여하는 중요한 분자이다. - 유기산 - 아스코르브산
아스코르브산은 비타민 C로 불리는 수용성 유기 화합물로, 괴혈병 예방에 필수적이며 항산화 작용을 하고, 화학적 구조 규명 및 합성에 대한 공로로 노벨상이 수여되었으며, 식품 첨가물, 식이 보충제, 암 치료 연구 등 다양한 분야에 활용된다. - 유기산 - 비타민 C
비타민 C는 결합 조직 형성, 콜라겐 합성, 항산화 작용에 필수적인 영양소로, 괴혈병 예방을 위해 섭취가 권장되며, 인체에서 자체적으로 합성되지 않아 외부 섭취가 필요하다.
| 옥살로아세트산 - [화학 물질]에 관한 문서 | |
|---|---|
| 일반 정보 | |
| IUPHAR 리간드 | 5236 |
| 퍼브켐 | 970 |
| 표준 InChI | 1S/C4H4O5/c5-2(4(8)9)1-3(6)7/h1H2,(H,6,7)(H,8,9) |
| 표준 InChIKey | KHPXUQMNIQBQEV-UHFFFAOYSA-N |
| CAS 등록번호 | 328-42-7 |
| UNII | 2F399MM81J |
| KEGG | C00036 |
| 켐스파이더 ID | 945 |
| EINECS | 206-329-8 |
| ChEBI | 30744 |
| 스마일즈 (SMILES) | O=C(O)C(=O)CC(=O)O |
| 속성 | |
| 화학식 | C₄H₄O₅ |
| 분자량 | 132.07 g/mol |
| 녹는점 | 161 °C |
| 밀도 | 1.6 g/cm³ |
| 열화학 | |
| 생성 엔탈피 | -943.21 kJ/mol |
| 연소 엔탈피 | -1205.58 kJ/mol |
| 명칭 | |
| IUPAC 명칭 | 2-옥소부탄이산 |
| 다른 이름 | 옥살로아세트산 옥살아세트산 2-옥소숙신산 케토숙신산 |
2. 특성
(내용 없음 - 하위 섹션에서 상세히 다루므로 중복을 피하기 위해 생략)
2. 1. 화학적 성질
옥살로아세트산은 두 번의 연속적인 탈양성자화 과정을 거쳐 2가 음이온을 생성한다.:HO2CC(O)CH2CO2H ⇌ −O2CC(O)CH2CO2H + H+ pKa = 2.22
:−O2CC(O)CH2CO2H ⇌ −O2CC(O)CH2CO2− + H+, pKa = 3.89
높은 pH 조건에서는 엔올화될 수 있는 양성자가 이온화된다.
:−O2CC(O)CH2CO2− ⇌ −O2CC(O−)CHCO2− + H+, pKa = 13.03
옥살로아세트산의 엔올 형태는 특히 안정적이며, 두 가지 호변 이성질체는 서로 다른 녹는점을 가진다(시스형 152°C, 트랜스형 184°C). 케토-엔올 호변이성질화는 효소인 옥살로아세트산 타우토머라제에 의해 촉매된다. ''트랜스''-엔올-옥살로아세트산은 주석산이 푸마라제의 기질일 때도 나타난다.[1]
3. 생합성
옥살로아세트산은 자연계에서 여러 가지 방식으로 생성된다.
3. 1. 주요 생성 경로
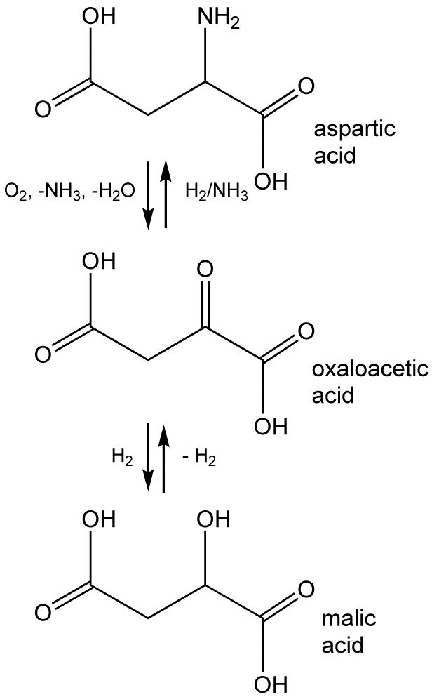
옥살로아세트산은 자연계에서 여러 경로를 통해 생성된다. 가장 주요한 생성 경로는 시트르산 회로에서 말산 탈수소효소에 의해 L-말산이 산화되는 것이다.[13][2] 또한 말산은 석신산 탈수소 효소에 의해 느린 반응으로 산화될 수도 있으며, 이때 초기 생성물은 에놀-옥살로아세트산이다.[2]피루브산 카복실화효소는 ATP의 가수분해를 통해 얻는 에너지를 이용하여 피루브산과 탄산을 축합시켜 옥살로아세트산을 형성한다.[13][2]
:CH3C(O)CO2− + HCO3− + ATP → −O2CCH2C(O)CO2− + ADP + Pi
식물의 잎살(엽육세포)에서는 포스포엔올피루브산 카복실화효소가 포스포엔올피루브산과 HCO3−의 반응을 촉매하여 옥살로아세트산을 생성한다. 이 경로는 특히 C4 식물과 CAM 식물에서 중요하다.[13][2]
마지막으로, 아스파르트산으로부터 트랜스아미네이션 또는 탈아미노화 과정을 통해 옥살로아세트산이 생성될 수 있다.[2] 예를 들어, 아스파르트산 아미노기 전이효소는 아스파르트산의 아미노기를 α-케토글루타르산으로 전이시켜 글루탐산과 옥살로아세트산을 만든다.[13]
4. 생화학적 기능
옥살로아세트산은 여러 중요한 대사 경로에서 핵심적인 역할을 수행하는 대사 중간생성물이다. 주요 생화학적 기능은 다음과 같다.
- 시트르산 회로: 시트르산 회로의 일부로서, 말산으로부터 생성된 후 아세틸-CoA와 축합하여 시트르산을 형성함으로써 회로를 개시한다.[14][3]
- 포도당신생합성: 포도당을 새로 합성하는 포도당신생합성 과정에서 중요한 중간체로 작용한다.[14][3]
- 요소 회로: 요소 회로와 연계되어 NADH 생성 및 질소 대사에 기여한다. 푸마르산에서 유래한 말산이 옥살로아세트산으로 전환될 때 NADH가 생성되고, 옥살로아세트산은 아스파르트산으로 재활용된다.[15][3]
- 글리옥실산 회로: 식물과 세균의 글리옥실산 회로에서 초기 반응물이자 최종 생성물로 작용한다.[16][17][3][4]
- 지방산 합성: 미토콘드리아의 아세틸-CoA를 세포질로 운반하고, 이 과정에서 지방산 합성에 필요한 NADPH 생성에 기여한다.[18][5]
- 아미노산 합성: 아스파르트산, 아스파라진, 메싸이오닌, 리신, 트레오닌 등 특정 아미노산들의 합성을 위한 전구체로 사용된다.[19][6]
옥살로아세트산은 전자전달계의 복합체 II (석신산 탈수소효소)를 강력하게 저해하는 기능도 가지고 있다.[14][3]
4. 1. 시트르산 회로
옥살로아세트산은 시트르산 회로의 중간체이다. 시트르산 회로에서 말산은 말산 탈수소 효소에 의해 산화되어 옥살로아세트산을 생성한다. 생성된 옥살로아세트산은 시트르산 생성효소에 의해 촉매되어 아세틸-CoA와 반응하여 시트르산을 형성한다. 옥살로아세트산은 복합체 II의 강력한 억제제이기도 하다.4. 2. 포도당신생합성
포도당신생합성은 탄수화물이 아닌 물질로부터 포도당을 합성하는 대사 경로이다.[14][3] 옥살로아세트산은 이 과정의 중요한 중간체로 작용한다. 포도당신생합성은 주로 미토콘드리아 기질에서 시작되는데, 이곳에 있는 피루브산이 출발 물질이 된다.[14][3]미토콘드리아 내에서 피루브산 카복실화효소는 ATP를 사용하여 피루브산을 카복실화시켜 옥살로아세트산을 생성한다.[14][3][10] 그러나 옥살로아세트산은 미토콘드리아 내막을 직접 통과할 수 없으므로[14], 세포질로 이동하기 위해 다른 형태로 변환되어야 한다. 이를 위해 미토콘드리아의 말산 탈수소효소는 NADH를 사용하여 옥살로아세트산을 말산으로 환원시킨다.[14][3]
생성된 말산은 미토콘드리아 막을 통과하여 세포질로 이동한다. 세포질에서는 세포질의 말산 탈수소효소가 NAD+를 사용하여 말산을 다시 옥살로아세트산으로 산화시킨다.[14][3] 이렇게 세포질에서 재생성된 옥살로아세트산은 포스포엔올피루브산 카복시키네이스 (PEPCK)에 의해 탈카복실화되고 인산화된다. 이 반응에서는 인산기 공여체로 GTP가 사용되며, 결과적으로 포스포엔올피루브산 (PEP)이 생성된다.[14][3][10] 이 단계는 포도당신생합성의 주요 속도 제한 단계 중 하나이다.[10]
포스포엔올피루브산은 이후 여러 효소 반응을 거쳐 최종적으로 포도당으로 전환되며, 이 과정들은 모두 세포질에서 일어난다.[14][3]
포도당신생합성 과정에서 옥살로아세트산과 관련된 주요 반응 단계는 다음과 같다.
- ''(미토콘드리아 내)''
- :: '''단계 1: 피루브산 + HCO3- + ATP → '''옥살로아세트산''' + ADP + Pi'''
- ::: 피루브산 카복실화효소에 의해 진행된다.
- :: '''단계 2: 옥살로아세트산 + NADH + H+ ←→ L-말산 + NAD+'''
- ::: 말산 탈수소효소에 의해 진행된다.
- ''(미토콘드리아 외 세포질)''
- :: '''단계 3: L-말산 + NAD+ ←→ 옥살로아세트산 + NADH + H+'''
- ::: 이 반응도 말산 탈수소효소에 의해 진행된다.
- :: '''단계 4: 옥살로아세트산 + GTP → 포스포엔올피루브산 + GDP + CO2'''
- ::: 포스포엔올피루브산 카복시키네이스에 의해 진행된다.
4. 3. 요소 회로
요소 회로는 분해된 아미노산에서 유래한 암모늄 이온(NH4+)과 아스파르트산에서 유래한 또 다른 암모늄 그룹, 그리고 탄산수소염(HCO3−) 분자를 사용하여 요소를 생성하는 대사 경로이다.[3][15] 이 경로는 일반적으로 간세포에서 일어난다. 요소 회로에 관련된 반응은 NADH를 생성하는데, NADH는 두 가지 다른 방식으로 생성될 수 있으며 그중 하나가 '''옥살로아세트산'''을 이용하는 방식이다.세포질에 있는 푸마르산은 효소 푸마레이스에 의해 말산으로 전환될 수 있다. 이 말산은 말산 탈수소효소에 의해 옥살로아세트산으로 전환되는 과정에서 NADH 분자를 생성한다. 생성된 옥살로아세트산은 이후 아미노기전이효소에 의해 아스파르트산으로 재활용된다. 이는 아미노기전이효소가 다른 산보다 케토산인 옥살로아세트산을 더 선호하기 때문이다. 이러한 옥살로아세트산의 재활용 과정은 요소 회로와 시트르산 회로 사이를 연결하여 세포 내 질소의 흐름을 유지시키는 중요한 역할을 한다.

4. 4. 글리옥실산 회로
글리옥실산 회로는 시트르산 회로의 변형된 형태이다.[16][4] 이 회로는 아이소시트르산 분해효소 및 말산 생성효소를 이용하는 식물과 세균에서 일어나는 동화작용 경로이다.[16][4] 글리옥실산 회로의 일부 단계는 시트르산 회로와 차이가 있지만, 옥살로아세트산은 두 과정에서 동일한 작용을 한다.[17][3] 즉, 옥살로아세트산은 이들 회로에서 초기 반응물이자 최종 생성물로 작용한다.[17][3] 글리옥실산 회로가 1회전할 때 두 분자의 아세틸-CoA가 투입되고, 1분자의 석신산이 합성되는데, 이 석신산은 포도당신생합성에 이용된다.[16] 이처럼 회로의 루프가 두 분자의 아세틸-CoA를 통합하기 때문에, 옥살로아세트산은 글리옥실산 회로의 순생성물이기도 하다.[4]4. 5. 지방산 합성
지방산 합성은 세포질에 있는 지방산 생성효소에 의해 이루어지지만, 주된 재료인 아세틸-CoA는 미토콘드리아에서 생성된다. 따라서 아세틸-CoA를 미토콘드리아에서 세포질로 옮기는 과정이 필요하다.미토콘드리아 기질에 있는 아세틸-CoA는 시트르산 생성효소에 의해 옥살로아세트산과 결합하여 시트르산을 형성한다. 이 시트르산은 미토콘드리아 내막의 시트르산 운반체를 통해 세포질로 이동한다. 일반적으로 이 반응은 시트르산 회로의 시작 단계이지만, 세포의 에너지 요구량이 낮을 때는 시트르산이 세포질로 운반되어 시트르산 분해효소에 의해 다시 아세틸-CoA와 옥살로아세트산으로 분해된다. 이렇게 하여 아세틸-CoA가 지방산 합성이 일어나는 세포질로 공급된다.
지방산 합성 과정에는 환원력을 제공하는 NADPH가 필수적이다.[18][5] 이 NADPH의 일부는 세포질로 운반된 옥살로아세트산이 다시 미토콘드리아로 돌아가는 과정에서 생성된다. 미토콘드리아 내막은 옥살로아세트산을 직접 통과시키지 않기 때문에, 옥살로아세트산은 다른 물질로 전환되어야 한다.
먼저, 세포질의 옥살로아세트산은 말산 탈수소효소에 의해 NADH를 사용하여 말산으로 환원된다. 그 다음, 말산은 말산 효소(malic enzyme)에 의해 피루브산으로 탈카복실화되면서 NADPH를 생성한다. 생성된 피루브산은 미토콘드리아 내막의 피루브산 운반체를 통해 미토콘드리아 기질로 들어갈 수 있다. 미토콘드리아 기질에서 피루브산은 피루브산 카복실화효소에 의해 다시 옥살로아세트산으로 전환된다.
결과적으로, 이 과정은 미토콘드리아의 아세틸-CoA를 세포질로 운반하는 동시에 지방산 합성에 필요한 NADPH를 세포질에서 생성하는 역할을 한다. 이 과정에서 일어나는 전체 반응 중 하나는 다음과 같이 요약될 수 있다.
:HCO3– + ATP + 아세틸-CoA → ADP + Pi + 말로닐-CoA
4. 6. 아미노산 합성
6종류의 필수 아미노산과 3종류의 비필수 아미노산은 옥살로아세트산과 피루브산으로부터 합성된다.[19][6] 아스파르트산은 옥살로아세트산에 글루탐산의 아미노기가 전이되어 형성되고, 알라닌은 피루브산에 글루탐산의 아미노기가 전이되어 형성된다. 옥살로아세트산으로부터 아스파르트산이 생성되며, 이 아스파르트산으로부터 아스파라진, 메싸이오닌, 리신, 트레오닌이 생성된다. 아스파라진은 아스파르트산의 아미드화 반응에 의해 합성되며, 이때 글루타민이 암모늄 이온(NH4+)을 제공한다.
아스파르트산, 알라닌, 아스파라진은 비필수 아미노산이며, 이들의 간단한 생합성 경로는 모든 생물체에서 일어난다. 반면, 메싸이오닌, 트레오닌, 리신, 이소류신, 발린, 류신은 인간과 대부분의 척추동물에게 필수 아미노산이다. 박테리아에서의 이들 필수 아미노산 생합성 경로는 복잡하고 서로 연결되어 있다.
4. 7. 옥살산 생합성
옥살로아세트산은 가수분해에 의해 옥살산으로 전환될 수 있다.[20][7]:옥살로아세트산 + H2O ⇌ 옥살산 + 아세트산
이 과정은 효소인 옥살로아세타제(Oxaloacetase)에 의해 촉매된다.[8] 이 효소는 식물에서는 발견되지만, 동물계에서는 아직 보고된 바 없다.[8]
참조
[1]
간행물
Biochemical Similarities and Differences between the Catalytic [4Fe-4S] Cluster Containing Fumarases FumA and FumB from ''Escherichia coli''
2021-02-26
[2]
논문
Direct demonstration of enol-oxaloacetate as an immediate product of malate oxidation by the mammalian succinate dehydrogenase
[3]
서적
Principles of Biochemistry
W. H. Freeman
[4]
웹사이트
Welcome to The Chemistry Place
http://www.pearsonhi[...]
2018-04-05
[5]
웹사이트
fatty acids synthesis
http://www.rpi.edu/d[...]
[6]
웹사이트
Animo acids synthesized from oxaloacetate and pyruvate
http://faculty.ksu.e[...]
2013-10-21
[7]
문서
"Fungal production of citric and oxalic acid: importance in metal speciation, physiology and biogeochemical processes"
[8]
문서
"Oxalate accumulation and regulations is independent of glycolate oxidase in rice leaves"
[9]
웹페이지
糖新生
http://www.sc.fukuok[...]
[10]
웹사이트
InterPro: IPR008209 Phosphoenolpyruvate carboxykinase, GTP-utilising
http://www.ebi.ac.uk[...]
2007-08-17
[11]
논문
Oxaloacetate supplementation increases lifespan in Caenorhabditis elegans through an AMPK/FOXO-dependent pathway.
http://www.ncbi.nlm.[...]
2015-03-11
[12]
서적
Principles of Biochemistry
W. H. Freeman
[13]
저널
Direct demonstration of enol-oxaloacetate as an immediate product of malate oxidation by the mammalian succinate dehydrogenase
[14]
서적
Principles of Biochemistry
W. H. Freeman
[15]
서적
Principles of Biochemistry
W. H. Freeman
[16]
웹인용
Welcome to The Chemistry Place
http://www.pearsonhi[...]
2018-04-05
[17]
서적
Principles of Biochemistry
W. H. Freeman
[18]
웹인용
fatty acids synthesis
http://www.rpi.edu/dept/bcbp/molbiochem/MBWeb/mb2/part1/fasynthesis.htm
[19]
웹인용
http://faculty.ksu.edu.sa/69436/Documents/lecture-15-aa_from_oxaloacetate_and_pyruvate.pptx
http://faculty.ksu.e[...]
2013-10-21
[20]
문서
"Fungal production of citric and oxalic acid: importance in metal speciation, physiology and biogeochemical processes"
본 사이트는 AI가 위키백과와 뉴스 기사,정부 간행물,학술 논문등을 바탕으로 정보를 가공하여 제공하는 백과사전형 서비스입니다.
모든 문서는 AI에 의해 자동 생성되며, CC BY-SA 4.0 라이선스에 따라 이용할 수 있습니다.
하지만, 위키백과나 뉴스 기사 자체에 오류, 부정확한 정보, 또는 가짜 뉴스가 포함될 수 있으며, AI는 이러한 내용을 완벽하게 걸러내지 못할 수 있습니다.
따라서 제공되는 정보에 일부 오류나 편향이 있을 수 있으므로, 중요한 정보는 반드시 다른 출처를 통해 교차 검증하시기 바랍니다.
문의하기 : help@durumis.com