폴리케타이드
"오늘의AI위키"의 AI를 통해 더욱 풍부하고 폭넓은 지식 경험을 누리세요.
1. 개요
폴리케타이드는 다양한 생물체에서 생성되는 구조적으로 다양한 화합물 군으로, 폴리케타이드 생성효소(PKS)에 의해 합성된다. PKS는 아실-캐리어 도메인과 다양한 효소 단위를 포함하는 다효소 폴리펩타이드로, 시동 물질과 연장 물질의 단계별 축합 반응을 통해 폴리케타이드를 생성한다. 폴리케타이드는 항생제, 항진균제, 항암제 등 다양한 의약품 및 산업적 용도로 활용되며, 생명공학 기술을 통해 새로운 폴리케타이드의 개발도 활발히 이루어지고 있다.
더 읽어볼만한 페이지
- 폴리케타이드 - 니스타틴
니스타틴은 곰팡이 감염 치료에 사용되는 항진균제로, 곰팡이 세포막에 결합하여 세포 사멸을 유도하며, 피부, 질, 구강, 식도의 칸디다증 치료에 효과적이다. - 폴리케타이드 - 아버멕틴
아버멕틴은 방선균이 생산하는 물질로 기생충과 곤충에 저항하는 효과가 있으며, 기생충의 신경계에 작용하여 마비를 유발, 동물 종의 감염증 치료에 사용된다. - NADH 탈수소 효소 억제제 - 로테논
로테논은 특정 식물 뿌리에서 추출되는 물질로 농약, 살충제, 어류 관리에 사용되지만, 포유류 독성 및 파킨슨병 연관성 때문에 일부 국가에서 사용이 금지되기도 한다. - NADH 탈수소 효소 억제제 - 아데노신 이인산 리보스
아데노신 이인산 리보스는 아데노신 이인산과 리보스가 결합된 물질이다. - 식물 독소 살충제 - 마파초
마파초는 재배 환경과 니코틴 함량이 독특하며 마야 문명에서 종교 의식과 약용으로, 소비에트 연방에서 담배 생산용으로, 여러 문화권에서 흡연 및 환각제로 사용되는 등 다양한 용도로 활용되는 식물이다. - 식물 독소 살충제 - 리날룰
리날룰은 여러 식물의 정유에서 발견되는 테르페노이드로, 두 개의 거울상이성질체를 가지며 향료 및 향수 산업에서 널리 사용되고 다양한 화학적 유도체 생성에 이용된다.
2. 역사
다양한 식물과 유기체에 의해 자연적으로 생성되는 폴리케타이드는 19세기와 20세기에 연구가 시작되기 전부터 이미 인간에 의해 사용되어 왔다. 1893년, J. 노먼 콜리는 오르시놀과 데하이드로아세트산을 수산화 바륨과 함께 가열하여 폴리케타이드의 일종인 트리케타이드를 합성하는 데 성공했다.[2] 이후 1903년 콜리는 여러 케텐기를 가진 화합물 사이에서 일어나는 축합 반응을 연구하며 '폴리케타이드'라는 용어를 처음으로 만들었다.[3]
폴리케타이드는 세균, 곰팡이, 식물 및 특정 해양 생물에서 생성될 수 있다.[6] 자연 발생 폴리케타이드의 초기 발견은 생물 활성 스크리닝을 기반으로 유기화학 정제 방법을 사용해 특정 생물체가 생성하는 화합물을 분리하는 방식으로 이루어졌다.[7] 이후 기술 발전으로 유전자 분리 및 이종 발현 기법을 통해 생합성 과정을 이해할 수 있게 되었다.[8] 또한, 생명공학의 추가적인 발전으로 메타게놈학 및 유전자원 탐사 기술을 활용해, 기존에 알려진 폴리케타이드와 유사한 효소를 찾아내 새로운 폴리케타이드를 발견하는 것이 가능해졌다.[9]
폴리케타이드는 진핵생물의 지방산 합성효소와 유사하지만 훨씬 더 큰 다효소 폴리펩타이드인 폴리케타이드 생성효소(Polyketide Synthase, PKS)에 의해 합성된다.[5] PKS에는 아실-캐리어 도메인(ACP)과 다양한 효소 단위(단백질 도메인)가 포함되어 있다. 이 효소 단위들은 반복적인 방식으로 동일한 신장 및 변형 단계를 반복하거나(지방산 합성에서처럼), 순차적인 방식으로 작동하여 더욱 다양한 종류의 폴리케타이드를 생성할 수 있다.[10]
폴리케타이드가 생물체 내에서 어떻게 합성되는지에 대한 구체적인 과정은 1955년에 이르러서야 밝혀졌다.[5] 아서 비르치는 방사성 동위원소로 표지된 아세테이트를 사용하여 ''Penicillium patulum''이라는 곰팡이에서 6-메틸살리실산이 만들어지는 과정을 추적했다. 이를 통해 그는 아세트산 단위들이 머리와 꼬리가 연결되는 방식으로 결합하여 폴리케타이드 사슬이 형성된다는 사실을 증명했다.[4] 이후 1980년대와 1990년대에는 유전학 기술의 발달로 폴리케타이드 합성에 관여하는 유전자들을 분리하고 분석할 수 있게 되면서, 생합성 과정에 대한 이해가 더욱 깊어졌다.[5]
3. 발견
4. 생합성

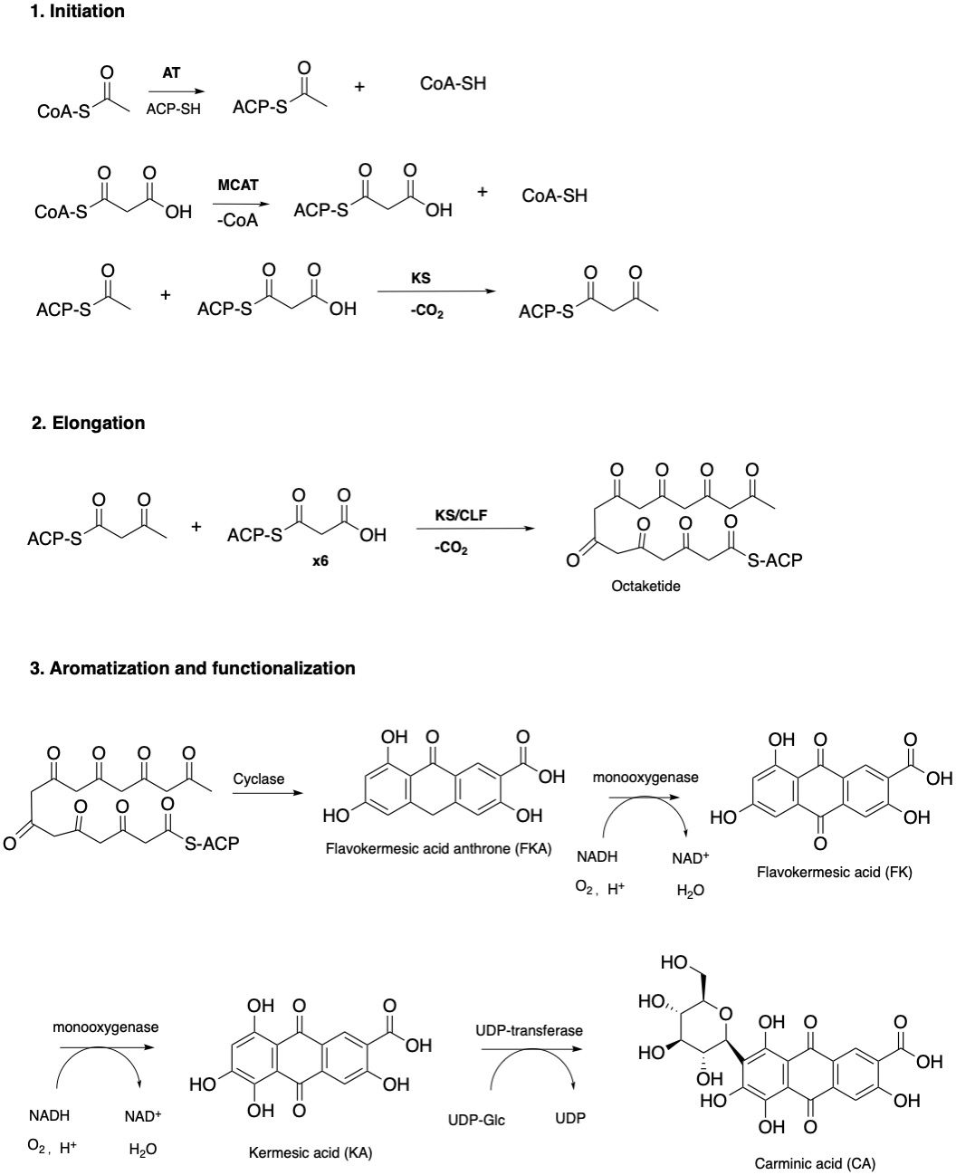
폴리케타이드 생합성에서 가장 중요한 단계는 폴리케토메틸렌 사슬이 길어지는 반응이다. 이 과정은 시동 물질(starter unit, 예: 아세틸-CoA, 프로피오닐-CoA 등)과 연장 물질(extender unit, 예: 말로닐-CoA, 메틸말로닐-CoA 등)의 단계적인 축합 반응으로 이루어진다. 축합 반응은 연장 물질의 탈카르복실화를 수반하며, β-케토 작용기(-CO-CH2-)를 생성하고 이산화탄소(CO2)를 방출한다.
4. 1. 폴리케타이드 생성효소 (PKS)
폴리케타이드는 폴리케타이드 생성효소(Polyketide Synthase, PKS)라는 효소에 의해 생합성된다. 이 과정은 지방산 합성 경로와 여러 면에서 유사하다.[35][36] PKS는 구조와 작동 방식에 따라 크게 I형, II형, III형으로 분류된다. 각 유형은 고유한 구조와 작동 방식을 가지며, 이를 통해 다양한 구조의 폴리케타이드가 만들어진다. 특정 폴리케타이드 합성 효소의 유전자는 보통 세균에서는 하나의 오페론, 진핵생물에서는 유전자 집단에 존재한다.
PKS는 일반적으로 시동 물질(starter unit, 주로 아세틸-CoA 또는 프로피오닐-CoA)과 연장 물질(extender unit, 주로 말로닐-CoA 또는 메틸말로닐-CoA)의 단계적인 클라이젠 축합 반응을 통해 폴리케토메틸렌 사슬을 만든다. 이 축합 반응 과정에서 연장 물질의 탈카르복실화가 일어나 이산화탄소가 방출되고 β-케토 작용기가 생성된다.[10] 첫 축합으로 아세토아세틸기(디케타이드)가 생성되고, 이후 축합이 반복되면서 트리케타이드, 테트라케타이드 등으로 사슬이 길어진다.[11] 시동 물질로는 이소부티르산, 시클로헥산카르복실산, 말론산, 벤조산 등도 사용될 수 있다.[12]
가장 기본적인 PKS는 아실트랜스퍼라제(AT)와 케토신타제(KS) 도메인으로 구성되어 시동 물질과 연장 물질의 축합을 촉매한다.[13] 최소 PKS에 의해 생성된 폴리케타이드 사슬은 대부분 추가적인 변형 과정을 거친다. PKS는 다양한 변형 도메인을 포함하는데, 케토환원효소(KR)는 카르보닐기를 수산기로, 탈수소효소(DH)는 올레핀(이중 결합)으로, 에노일환원효소(ER)는 메틸렌(단일 결합)으로 환원시킨다.[14] 이러한 도메인의 조합에 따라 최종 폴리케타이드의 구조가 결정되기 때문에 각 폴리케타이드 사슬은 고유한 구조를 갖게 된다.[14]
생합성 종결 단계도 다양하다. 티오에스테라제(TE) 도메인이 티오에스테르 결합을 가수분해하여 선형 폴리케타이드를 방출하거나,[15] 분자 내 반응을 통해 고리형 폴리케타이드(매크로사이클)를 생성하기도 한다. 때로는 TE 도움 없이 자발적인 가수분해가 일어나기도 한다.[15]
=== I형 PKS ===
I형 PKS는 여러 단백질 도메인이 하나의 거대한 폴리펩타이드 사슬 위에 연결된 형태의 효소이다. 이는 다시 모듈형(modular)과 반복형(iterative)으로 나뉜다.
1. 개시: 시동 물질(예: 아세틸-CoA)이 개시 모듈의 AT에 의해 해당 모듈의 ACP로 옮겨진다.
2. 신장: 폴리케타이드 사슬(개시 단계에서는 시동 물질)이 이전 모듈의 ACP에서 현재 모듈의 KS로 이동한다. 연장 물질(예: 말로닐-CoA)은 현재 모듈의 AT에 의해 ACP로 옮겨진다. KS는 ACP에 결합된 연장 물질과 폴리케타이드 사슬 간의 탈카르복실화 축합 반응(클라이젠 축합)을 촉매하여 사슬을 신장시킨다. 신장된 사슬은 해당 모듈의 ACP에 남는다. 필요에 따라 KR, DH, ER 도메인이 β-케토기를 변형시킨다. 변형된 사슬은 다음 모듈의 KS 도메인으로 전달되어 과정이 반복된다.
3. 종결: 최종적으로 합성된 폴리케타이드 사슬이 TE 도메인으로 이동하여 가수분해 또는 고리화 반응(환화 효소 등)을 통해 효소로부터 방출된다.
아래는 I형 PKS의 주요 도메인 및 기능이다.
=== II형 PKS ===
II형 PKS는 I형 PKS와 달리, 각 기능을 담당하는 도메인들이 개별적인 단백질(서브유닛)로 존재하며 이들이 모여 복합체를 이루어 작용한다. 이들은 주로 반복적인 방식으로 작동하며, 대부분 방향족 폴리케타이드(예: 테트라사이클린, 독소루비신)를 생합성한다.
아래는 II형 PKS의 주요 서브유닛 및 기능이다.
이 중 KS, CLF, ACP가 핵심적인 사슬 신장 복합체를 이루며, AT는 연장 단위를 공급한다. CYC와 TE는 생성물의 구조 형성 및 방출에 관여한다. 이 외에도 환원효소(KR)나 산화효소 등이 복합체에 포함되어 최종 생성물의 구조를 다양화하기도 한다.
=== III형 PKS ===
III형 PKS는 주로 칼콘 합성효소(CHS)와 스틸벤 합성효소(STS) 등으로 대표되는 효소이다. 다른 유형의 PKS와 달리 아실기 운반 단백질(ACP) 도메인을 사용하지 않는다. 대신, 케토신타제(KS) 도메인만으로 구성된 (주로 동종이합체 형태의) 비교적 작은 단백질이 시동 물질 CoA 에스테르와 연장 물질인 말로닐-CoA의 반복적인 탈카르복실화 축합 반응 및 고리화 반응까지 모두 촉매한다.[36]
III형 PKS는 주로 식물과 미생물에서 발견되며, 플라보노이드, 스틸벤과 같이 폴리페놀 계열의 작은 방향족 화합물을 생합성하는 데 중요한 역할을 한다. 가장 대표적인 예인 칼콘 합성효소는 시동 물질인 쿠마로일-CoA에 3분자의 말로닐-CoA를 순차적으로 축합시킨 후, 분자 내 클라이젠 축합과 방향족화를 통해 플라보노이드 생합성의 핵심 중간체인 칼콘을 생성한다.
4. 2. 반응 단계
폴리케타이드 생성효소(PKS)는 폴리케타이드 생합성을 담당하는 효소이다. 이 과정은 크게 개시, 신장, 종결의 세 단계로 나눌 수 있으며, 지방산 생합성 과정과 유사한 점이 많다.[35][36] PKS는 구조와 작동 방식에 따라 I형, II형, III형으로 분류된다. I형 PKS는 여러 기능 부위(도메인)가 하나의 긴 단백질 사슬에 연결된 형태이고, II형 PKS는 각기 다른 기능을 가진 단백질들이 모여 복합체를 이룬다. III형 PKS는 케토신타제 도메인만으로 구성된 비교적 작은 단백질이다. 어떤 유형의 PKS든 시동 물질(starter unit)이라 불리는 CoA 에스터(또는 ACP 결합체)에 연장 물질(extender unit, 주로 말로닐-CoA)을 반복적으로 붙여나가는 반응을 촉매한다. 시동 물질로는 아세틸-CoA, 지방산 CoA 에스터, 벤조일 CoA, 쿠마로일 CoA 등이 흔히 사용된다.[12]핵심적인 생합성 반응은 시동 물질과 연장 물질의 단계적인 축합이다. 이 축합 반응에서는 연장 물질에서 이산화탄소가 빠져나가는 탈카르복실화가 일어나며 베타-케토 작용기가 만들어진다.[10] 예를 들어, 첫 축합으로 아세토아세틸기(디케타이드)가 생성되고, 이후 축합이 반복되면서 트리케타이드, 테트라케타이드 등으로 사슬이 길어진다.[11]
최소 기능을 하는 PKS는 아실트랜스퍼라제(AT)와 케토신타제(KS) 도메인으로 구성되어 시동 물질과 연장 물질의 축합을 수행한다. 하지만 이렇게 만들어진 폴리케타이드 사슬은 대부분 추가적인 변형 과정을 거친다.[13] 각 PKS는 다양한 변형 도메인을 포함하고 있어 고유한 구조의 폴리케타이드를 만들어낸다. 예를 들어, 케토환원효소(KR)는 β-케토기를 수산기로 환원시키고, 탈수소효소(DH)는 탈수를 통해 α,β-이중 결합을 형성시키며, 에노일환원효소(ER)는 이중 결합을 단일 결합으로 환원시킨다.[14]
I형 PKS의 반응 단계I형 PKS는 여러 모듈로 구성되며, 각 모듈은 특정 기능을 수행하는 도메인들을 포함한다. 일반적인 모듈 구성은 다음과 같다 (단백질의 N 말단에서 C 말단 방향 순서):
- '''개시 모듈''' (Loading module): AT-ACP-
- '''신장 모듈''' (Extension module): -KS-AT-[DH-ER-KR]-ACP-
- '''종결 도메인''' (Termination/Releasing domain): -TE
각 도메인의 주요 기능은 다음과 같다:
- '''필수 도메인'''
- AT (아실트랜스퍼라제): 아실기를 전달한다.
- ACP (아실 운반 단백질): 판테테인 보조 인자를 통해 아실기를 붙잡고 운반한다.
- KS (케토신타제): 시스테인 잔기를 이용해 폴리케타이드 사슬과 연장 물질의 축합 반응(클라이젠 축합)을 촉매한다.
- TE (티오에스테라제): 완성된 폴리케타이드 사슬을 효소에서 분리한다. 때로는 고리화 효소(cyclase) 기능이 추가되기도 한다.
- '''주요 변형 도메인''' (대괄호 안의 도메인은 필요에 따라 존재)
- KR (케토환원효소): β-케토기를 수산기(-OH)로 환원시킨다.
- DH (탈수소효소): 수산기를 제거하여 α,β-이중 결합을 만든다 (탈수).
- ER (에노일환원효소): α,β-이중 결합을 단일 결합으로 환원시킨다.
- '''기타 도메인'''
- MT (메틸트랜스퍼라제): 메틸기(-CH3)를 붙인다.
- SH (리아제): 특정 결합을 분해한다.
- PT: 생성되는 폴리케타이드의 길이를 조절하는 데 관여할 수 있다.
폴리케타이드 합성은 다음과 같은 단계로 진행된다.
- '''개시 단계'''
1. 시동 물질(주로 아세틸-CoA 또는 그 유도체)이 개시 모듈의 AT 도메인에 의해 활성화된다.
2. 활성화된 시동 물질은 같은 모듈의 ACP 도메인으로 옮겨져 결합한다.
- '''신장 단계''' (각 신장 모듈에서 반복됨)
1. 이전 단계에서 만들어진 폴리케타이드 사슬(개시 단계에서는 시동 물질)이 이전 모듈의 ACP 도메인에서 현재 신장 모듈의 KS 도메인으로 이동하여 결합한다.
2. 연장 물질(주로 말로닐-CoA 또는 메틸말로닐-CoA)이 현재 모듈의 AT 도메인에 의해 활성화되어 같은 모듈의 ACP 도메인에 결합한다.
3. KS 도메인이 클라이젠 축합 반응을 촉매한다. KS에 붙어 있는 폴리케타이드 사슬과 ACP에 붙어 있는 연장 물질이 반응하여, 연장 물질의 카르복실기가 떨어져 나가면서(탈카르복실화) 사슬이 두 탄소만큼 길어진다. 새롭게 길어진 사슬은 ACP 도메인으로 이동한다.
4. 필요에 따라, 현재 모듈에 있는 변형 도메인(KR, DH, ER)들이 방금 추가된 부분(β-케토 그룹 주변)을 변형시킨다. KR은 케톤을 알코올로, DH는 알코올을 탈수시켜 이중 결합으로, ER은 이중 결합을 단일 결합으로 환원시킨다.
5. 변형이 완료된 (또는 변형이 필요 없는) 폴리케타이드 사슬은 다음 신장 모듈의 KS 도메인으로 이동하여 위 과정을 반복한다.
- ''주의: 이는 모듈형 I형 PKS의 작동 방식이며, 반복형 I형 PKS는 하나의 모듈 세트에서 이러한 반응을 여러 번 반복한다.''
- '''종결 단계'''
1. 모든 신장 단계를 거쳐 완성된 폴리케타이드 사슬은 마지막 모듈의 ACP 도메인에서 TE 도메인으로 이동한다.
2. TE 도메인은 티오에스터 결합을 끊어 최종 생성물을 방출한다. 이 과정은 단순 가수분해를 통해 선형 폴리케타이드를 만들거나, 분자 내 고리화 반응을 통해 고리형 폴리케타이드(예: 매크로라이드)를 만들 수 있다.[15] 때로는 TE 도메인 없이 자발적인 가수분해가 일어나기도 한다.[15]
4. 3. 추가 변형
폴리케타이드 골격은 추가적인 효소 반응을 통해 더욱 다양하게 변형될 수 있다. 예를 들어, 글루코실트랜스퍼라제 효소에 의해 당 분자가 붙는 당화 반응이나 모노옥시게네이스 효소에 의한 산화 반응이 일어날 수 있다.[16] 비슷하게, 사이클레이스 효소는 분자 내에서 고리를 만들거나 방향족 고리 구조를 형성하는 반응을 촉매하며, 때로는 폴리케타이드의 엔올 호변이성질체 형태를 거쳐 진행되기도 한다.[17]이러한 추가 변형에 관여하는 효소들은 폴리케타이드 합성효소 자체의 일부(도메인)는 아니다. 대신, 이 효소들을 암호화하는 유전자들은 대개 폴리케타이드 합성효소 유전자 근처의 게놈 영역에 모여 있는 유전자 클러스터에서 발견된다.[18]
5. 분류
폴리케타이드는 구조적으로 매우 다양한 화합물군이다.[19] 주요 하위 분류로는 방향족 화합물, 매크로락톤/마크로라이드, 데칼린 고리 함유 화합물, 폴리에테르, 폴리엔 등이 있다.[15]
폴리케타이드 생성효소(PKS)는 작용 방식과 생성물에 따라 크게 세 가지 유형으로 나눌 수 있다.[20]
- 유형 I PKS: 비반복적인 다중 모듈 메가신테제 형태로, 주로 마크로라이드, 폴리에테르, 폴리엔과 같은 복잡한 구조의 폴리케타이드를 생성한다.
- 유형 II PKS: 반복적으로 작용하는 분리된 효소들로 구성되며, 주로 방향족 화합물을 생성한다.
- 유형 III PKS: 칼콘 합성효소와 유사한 구조와 기능을 가지며, 작은 크기의 방향족 분자를 생성한다.
이러한 분류 외에도, 비리보솜 펩타이드와 결합된 하이브리드 형태의 폴리케타이드(하이브리드 NRP-PK 및 PK-NRP)도 존재한다. 이는 폴리케타이드 생성효소와 비리보솜 펩타이드 합성효소가 유사한 캐리어 단백질을 사용하기 때문에 진화 과정에서 두 시스템이 융합되어 나타난 결과이다. 이 하이브리드 화합물은 골격 구조에 질소를 포함하고 아미노산 유래의 복잡한 기능기를 가지는 특징이 있다.[21]
6. 응용
폴리케타이드는 항생제,[22] 항진균제,[23] 세포정지제,[24] 항콜레스테롤혈증제,[25] 구충제,[23] 콕시듐증 치료제, 생장 촉진제 및 천연 살충제 등으로 상업적으로 사용되고 있다.[26]
6. 1. 의약
알려진 폴리케타이드는 10,000개 이상이며, 이 중 약 1%가 의약 활성을 가질 가능성이 있는 것으로 추정된다.[27] 폴리케타이드는 연간 180억달러 이상의 전 세계 매출을 기록하며, 가장 많이 팔리는 의약품의 20%를 차지하는 중요한 의약품군이다.[28] 폴리케타이드는 항생제,[22] 항진균제,[23] 세포정지제,[24] 항콜레스테롤혈증제,[25] 구충제,[23] 콕시듐증 치료제, 면역억제제 등 다양한 의약품으로 개발되어 상업적으로 사용되고 있다. 이 외에도 생장 촉진제 및 천연 살충제로도 활용된다.[26]주요 폴리케타이드 계열 및 의약품 예시는 다음과 같다.
- 마크로라이드
- 피크로마이신: 최초로 분리된 마크로라이드 (1951년)[29]
- 항생제: 에리스로마이신 A, 클래리스로마이신, 아지트로마이신
- 구충제: 이버멕틴
- 안사마이신
- 항종양제: 겔다나마이신, 마크베신
- 항생제: 리파마이신
- 폴리엔
- 항진균제: 암포테리신, 니스타틴, 피마리신
- 폴리에테르
- 항생제: 모넨신
- 테트라사이클린
- 항생제: 독시사이클린
- 아세토제닌
- 불라타신, 스콰모신, 몰비자린, 우바리신, 안노나신 등
- 기타
- 면역억제제: 타크로리무스 (FK506) (칼시뉴린 억제제), 시롤리무스 (라파마이신) (mTOR 억제제)
- HSP90 억제제: 라디시콜, 포코닌 계열
- 콜레스테롤 저하제: 로바스타틴
- 디스코더몰라이드
- 아플라톡신
- 우스닌산
- 안트라시마이신
- 안트라마이신
- 올리베톨산 (카나비노이드 경로의 중간체)[30]
폴리케타이드 합성 효소는 화학 요법에 사용되는 천연 유기 화합물을 합성할 수 있다.[37] 예를 들어, 테트라사이클린이나 마크로라이드와 같은 많은 일반적인 항생제가 폴리케타이드 합성 효소에 의해 만들어진다. 중요한 폴리케타이드 의약품으로는 시롤리무스(면역억제제), 에리스로마이신(항생제), 로바스타틴(항콜레스테롤제), 에포티론 B(항암제) 등이 있다.[38]
폴리케타이드 합성 효소의 생성물에는 항생 물질, 항진균 물질, 항종양 물질, 포식자에 대한 방어 물질 등이 포함된다. 세균, 진균, 식물에는 아직 발견되지 않은 폴리케타이드 합성 경로가 많을 것으로 보이며,[39][40] 특히 세균에 미지의 폴리케타이드가 다수 존재할 가능성이 시사되고 있다.[41][42]
6. 2. 농업
폴리케타이드는 농업 분야에서 작물 보호를 위해 사용되기도 한다. 특히 천연 살충제로서 상업적으로 이용되는 경우가 있다.[26][31] 대표적인 예시는 다음과 같다.- 스피노사드 (스피노신)
- 아버멕틴
- 폴리낙틴
- 테트라마이신
6. 3. 산업
폴리케타이드는 항생제,[22] 항진균제,[23] 세포정지제,[24] 항콜레스테롤혈증제,[25] 구충제,[23] 콕시듐증 치료제, 생장 촉진제 및 천연 살충제 등으로 상업적으로 이용되고 있다.[26] 또한, 폴리케타이드는 착색[32] 및 식이 플라보노이드[33]와 같은 산업적 목적으로도 사용될 수 있다.
7. 생명공학
단백질 공학은 자연계에 존재하지 않는 폴리케타이드를 생성할 수 있는 길을 열었다. 예를 들어, PKS의 모듈식 특성으로 인해 도메인을 교체, 추가 또는 삭제할 수 있다. 조립 라인에 다양성을 도입하면 생물학적 활성이 증가하거나 새로운 생물학적 활성을 가진 새로운 폴리케타이드의 발견이 가능하다.[21]
또한, 유전자 채굴을 사용하면 새로운 천연 폴리케타이드와 그 조립 라인을 발견할 수 있다.[9]
참조
[1]
GoldBookRef
Polyketides
[2]
간행물
VII.—The formation of orcinol and other condensation products from dehydracetic acid
https://zenodo.org/r[...]
1893
[3]
간행물
CLXXI.—Derivatives of the multiple keten group
https://zenodo.org/r[...]
1907
[4]
간행물
Studies in relation to biosynthesis. VII. 2-Hydroxy-6-methylbenzoic acid in Penicillium griseofulvum Dierckx
https://www.publish.[...]
1955
[5]
간행물
The type I fatty acid and polyketide synthases: a tale of two megasynthases
2007-10
[6]
간행물
A sea of biosynthesis: marine natural products meet the molecular age
2011-02
[7]
간행물
Informatic strategies for the discovery of polyketides and nonribosomal peptides
2012-08-01
[8]
간행물
Biosynthesis of polyketides in heterologous hosts
2001-03
[9]
간행물
Biotechnology of polyketides: new breath of life for the novel antibiotic genetic pathways discovery through metagenomics
2013-12
[10]
서적
"[[Fundamentals of Biochemistry: Life at the Molecular Level]]"
"[[John Wiley & Sons]]"
[11]
간행물
Polyketide biosynthesis: a millennium review
2001-08
[12]
간행물
Biosynthesis and attachment of novel bacterial polyketide synthase starter units
2002-02
[13]
간행물
Biosynthesis of aromatic polyketides in microorganisms using type II polyketide synthases
2020-05
[14]
간행물
Modular type I polyketide synthase acyl carrier protein domains share a common N-terminally extended fold
2019-02
[15]
서적
Natural product biosynthesis
https://www.worldcat[...]
Royal Society of Chemistry
2017
[16]
간행물
Biosynthesis of Polyketides in ''Streptomyces''
2019-05
[17]
간행물
Polyketide synthase complexes: their structure and function in antibiotic biosynthesis
1991-05
[18]
간행물
Bioinformatics Prediction of Polyketide Synthase Gene Clusters from Mycosphaerella fijiensis
2016-07-07
[19]
간행물
Manipulation of Modular Polyketide Synthases
1997-11
[20]
간행물
Polyketide biosynthesis beyond the type I, II and III polyketide synthase paradigms
2003-04
[21]
간행물
Evolution and Diversity of Assembly-Line Polyketide Synthases
2019-12
[22]
웹사이트
5.13E: Polyketide Antibiotics
https://bio.libretex[...]
2017-05-09
[23]
간행물
Biosynthesis of antifungal and antibacterial polyketides by Burkholderia gladioli in coculture with Rhizopus microsporus
2014-12
[24]
간행물
Huanglongmycin A-C, Cytotoxic Polyketides Biosynthesized by a Putative Type II Polyketide Synthase From ''Streptomyces'' sp. CB09001
2018
[25]
간행물
Biosynthesis of polyketide synthase extender units
2009-01
[26]
간행물
Chemoenzymatic synthesis of spinosyn A
2014-12
[27]
서적
Polyketides: Biosynthesis, Biological Activity, and Genetic Engineering
https://pubs.acs.org[...]
American Chemical Society
2007-01-11
[28]
간행물
Combinatorial biosynthesis of reduced polyketides
[29]
간행물
Pikromycin, ein bitter schmeckendes Antibioticum aus Actinomyceten
[30]
간행물
Identification of olivetolic acid cyclase from Cannabis sativa reveals a unique catalytic route to plant polyketides
2012-07
[31]
간행물
Polyketide pesticides from actinomycetes
2021-06
[32]
서적
Fungal Metabolites
Springer International Publishing
2016
[33]
간행물
Flavonoids and Related Members of the Aromatic Polyketide Group in Human Health and Disease: Do They Really Work?
2020-08
[34]
GoldBookRef
Polyketides
[35]
간행물
Tolerance and Specificity of Polyketide Synthases
[36]
논문
Evolutionary Implications of Bacterial Polyketide Synthases
[37]
논문
The evolving role of natural products in drug discovery
[38]
논문
Identification of Unique Type II Polyketide Synthase Genes in Soil
[39]
논문
A novel group of type I polyketide synthases (PKS) in animals and the complex phylogenomics of PKSs
[40]
논문
Chemical Ecology Special Feature: Evolution of polyketide synthases in bacteria
[41]
논문
An efficient approach for screening minimal PKS genes from Streptomyces
[42]
논문
Biogeography of Actinomycete Communities and Type II Polyketide Synthase Genes in Soils Collected in New Jersey and Central Asia
[43]
서적
Polyketides
본 사이트는 AI가 위키백과와 뉴스 기사,정부 간행물,학술 논문등을 바탕으로 정보를 가공하여 제공하는 백과사전형 서비스입니다.
모든 문서는 AI에 의해 자동 생성되며, CC BY-SA 4.0 라이선스에 따라 이용할 수 있습니다.
하지만, 위키백과나 뉴스 기사 자체에 오류, 부정확한 정보, 또는 가짜 뉴스가 포함될 수 있으며, AI는 이러한 내용을 완벽하게 걸러내지 못할 수 있습니다.
따라서 제공되는 정보에 일부 오류나 편향이 있을 수 있으므로, 중요한 정보는 반드시 다른 출처를 통해 교차 검증하시기 바랍니다.
문의하기 : help@durumis.com
