류스테르니크-시니렐만 범주
"오늘의AI위키"의 AI를 통해 더욱 풍부하고 폭넓은 지식 경험을 누리세요.
1. 개요
류스테르니크-시니렐만 범주는 위상 공간의 불변량으로, 공간을 덮는 열린 덮개의 최소 개수를 통해 정의된다. 이 범주는 호모토피 불변량이며, 공간의 차원, 코호몰로지, 연산, 모스 이론 등과 연관되어 다양한 성질을 갖는다. 류스테르니크와 시니렐만이 도입했으며, 화이트헤드와 가네아가 다른 정의를 제시했다.
더 읽어볼만한 페이지
- 모스 이론 - 렙셰츠 초평면 정리
렙셰츠 초평면 정리는 복소수체 위의 사영 대수다양체 와 초평면의 교집합 에 대해, 가 매끄러운 다양체일 때, 특이 호몰로지 군, 특이 코호몰로지 군, 호모토피 군 사이의 특정 군 준동형들이 동형사상 또는 전사 함수가 됨을 보이는 정리이며, 상대 호몰로지 군, 상대 코호몰로지 군, 상대 호모토피 군의 소멸 정리와 동치이다. - 모스 이론 - 모스 호몰로지
모스 호몰로지는 미분다양체의 위상수학적 정보를 추출하는 도구로, 모스 함수와 사슬 복합체를 사용하여 다양체의 호몰로지를 계산하며, 모스-보트 이론과 모스-위튼 코호몰로지를 통해 확장되어 물리학 연구에도 기여한다. - 대수적 위상수학 - 매시 곱
매시 곱은 미분 등급 대수 원소에 대한 연산으로 코호몰로지 곱으로 파악하기 어려운 위상수학적 불변량을 측정하며, 2항 곱과 3항 곱을 일반화한 형태로 불확정성을 가지지만, 브루니안 링크, 보로메오 고리 연구 및 꼬인 K-이론 등 다양한 분야에 응용된다. - 대수적 위상수학 - 톰 공간
톰 공간은 파라콤팩트 공간 위의 벡터 다발을 이용하여 구성되며, 르네 톰에 의해 도입되었고, 톰 동형을 통해 기저 공간의 코호몰로지와 관계를 가지며 특성류 이론 등에서 중요한 역할을 한다. - 좋은 글 - 쇼와 천황
쇼와 천황은 메이지 천황의 손자로 태어나 124대 일본 천황으로 즉위하여 사망할 때까지 재위하며 만주사변, 중일전쟁, 태평양 전쟁 등 침략 전쟁에 관여했다는 논란이 있으며, 전후에는 상징적인 천황으로서의 역할을 수행했고 그의 전쟁 책임 문제는 논쟁의 대상이다. - 좋은 글 - 히바 칸국
히바 칸국은 16세기 초에 건국되어 1920년까지 존속한 중앙아시아의 우즈베크 칸국으로, 초기 혼란과 수도 이전, 러시아 제국의 보호국 시기를 거쳐 소비에트 혁명으로 붕괴되었으며, 농업 기반 경제와 독특한 문화를 발전시켰다.
| 류스테르니크-시니렐만 범주 | |
|---|---|
| 정의 | |
| 정의 | 위상 공간 X의 류스테르니크-시니렐만 범주는 X를 덮는 열린 집합의 최소 개수이다. 각 집합은 X에 있는 점으로 수축 가능하다. |
| 참고 | 류스테르니크-시니렐만 범주는 위상 공간의 불변량이다. |
| 역사 | |
| 기원 | 1930년대에 라자르 류스테르니크와 레프 슈니렐만이 개발함 |
| 목적 | 다양체에 대한 세 개 이상의 폐쇄된 측지선이 있음을 증명하는 데 사용됨 |
| 공식적 정의 | |
| 정의 | 시니렐만 범주 cat(X)는 위상 공간 X의 열린 덮개 중 수축 가능한 열린 집합의 최소 카디널리티로 정의된다. 열린 집합 A가 X에서 수축 가능하다는 것은 포함 inc : A ↪ X가 상수 맵과 호모토픽하다는 의미이다. 1개로는 덮을 수 없다는 의미이다. |
| 대안적 정의 | cat(X)는 X가 n+1개의 열린 집합으로 덮여 있도록 하는 최소 정수 n이다. 각 집합은 X의 일부 열린 집합에서 수축 가능하다. |
| 또 다른 정의 | cat(X)는 X에서 수축 가능한 닫힌 집합의 최소 카디널리티이다. |
| 속성 | |
| 속성 | cat(X) = 0 iff X가 수축 가능하다. cat(X) ≤ dim(X) (X가 콤팩트 국소 수축 가능한 공간인 경우). cat(X × Y) ≤ cat(X) + cat(Y) − 1. cat(Sⁿ) = 1 (n-차원 구). 덮개 {Uᵢ}가 있으면 cat(⋃ᵢUᵢ) ≤ ∑ᵢcat(Uᵢ). |
| 다른 불변량과의 관계 | |
| 관계 | 공간 X의 컵 길이 cup(X)는 X의 특이 코호몰로지의 환 구조에 의해 결정되는 불변량이다. cat(X) ≥ cup(X) + 1. 공간 X의 슈바르츠 장르 genus(p)는 파이버 p⁻¹(x)가 X에서 수축 가능한 파이버 번들 p : E → B에 대한 최소 정수 k이다. 여기서 x는 B의 임의의 점이다. cat(B) ≥ genus(p). |
| 참고 문헌 | |
| 참고 문헌 | https://bookstore.ams.org/surv-103 https://doi.org/10.1016/0040-9383(78)90002-2 |
2. 정의
류스테르니크-시니렐만 범주의 개념은 여러 가지로 정의될 수 있으며, 이 정의들은 CW 복합체와 호모토피 동치인 위상 공간에 대해서는 서로 일치한다.
2. 1. 열린 덮개를 통한 정의
류스테르니크-시니렐만 범주의 개념은 여러 가지로 정의될 수 있으며, 이 정의들은 CW 복합체와 호모토피 동치인 위상 공간에 대해서는 서로 일치한다.CW 복합체와 호모토피 동치인 로 정의된 점을 가진 공간 가 주어졌으며 가 쌍대올뭉치라고 하자.
의 류스테르니크-시니렐만 범주 는 다음 조건을 만족시키는 최소의 자연수 로 정의한다.
: 조건: 를 덮는 어떤 개의 열린 덮개 가 존재해서, 모든 포함 함수 가 상수 함수와 호모토피 동치이다.
만약 위와 같은 자연수가 존재하지 않는다면, 로 놓는다.
일부 문헌에서는 류스테르니크-시니렐만 범주를 대신 로 정의하기도 한다.
2. 2. 화이트헤드의 정의
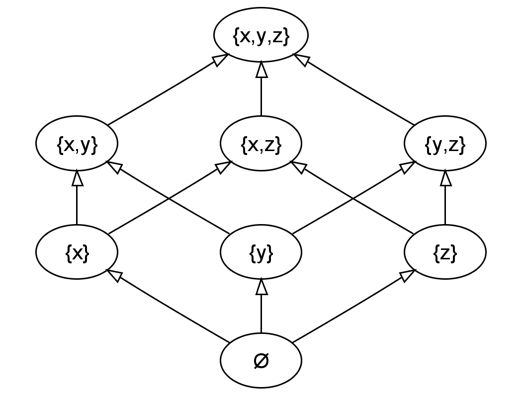
영 대상(시작 대상이자 끝 대상인 대상)을 갖는 모형 범주 가 주어졌다고 하자. 이 모형 범주에서, 다음과 같은 성질을 생각할 수 있다.:*'''육면체 공리'''(cube axiom영어): 임의의 정육면체 꼴의 호모토피 가환 그림
::

:에서, 만약 윗면({y}–{x,y}–{x,y,z}–{y,z})이 호모토피 밂이며 모든 네 옆면들이 호모토피 당김이라면, 밑면 (ø–{x}–{x,z}–{z}) 역시 호모토피 밂이다.
(육면체 공리는 점을 가진 공간의 모형 범주 의 경우 성립한다. 육면체 공리는 자기 쌍대 조건이 아니다. 예를 들어 점을 가진 공간의 범주의 반대 범주인 는 와 마찬가지로 영 대상을 갖는 모형 범주지만 육면체 공리는 성립하지 않는다.)
이러한 모형 범주에서, 올대상이자 쌍대올대상인 대상 의 차 '''부케가르니'''(bouquet garni프랑스어) 또는 '''뚱뚱한 쐐기합'''(fat wedge영어) 은 다음과 같이 재귀적으로 정의되는 대상이다.
:
특히, 다음이 성립한다.
: (스스로와의 쌍대곱)
점을 가진 공간의 범주에서, 부케가르니는 구체적으로 다음과 같은 꼴로 주어진다.
:
즉, 이는 은 곱공간 에서, 적어도 한 좌표가 밑점 이 되는 점들로 구성된 부분 공간이다.
의 '''류스테르니크-시니렐만 범주'''는 다음 그림을 호모토피 가환 그림으로 만드는 연속 함수 가 존재하는 최소의 자연수 이다.
:
여기서 은 대각 사상이다.
2. 3. 가네아의 정의
영 대상을 가지며 육면체 공리를 따르는 모형 범주 를 생각하자.올대상이자 쌍대올대상인 대상 에 대하여, '''가네아 구성'''은 다음과 같은 올뭉치들의 가환 그림이다.
:
여기서 각 요소는 다음 조건을 만족한다.
\begin{matrix}
F_n & \hookrightarrow & G_n \\
\downarrow & & \downarrow \\
\bullet & \to & X
\end{matrix}
\begin{matrix}
F_n & \hookrightarrow & G_n \\
\downarrow & & \downarrow \\
\bullet & \to & G_{n+1}
\end{matrix}
이 구성을 '''가네아 올뭉치'''(Ganea fibrations영어)라고 한다. 이를 이용하여 의 '''류스테르니크-시니렐만 범주''' 를 정의할 수 있다. 이는 사영
:
이 호모토피 범주에서 오른쪽 역사상(즉, 단면) 을 가질 수 있는 최소의 자연수 이다.
점을 가진 공간의 범주에서 가네아 구성을 구체적으로 살펴보면 다음과 같다.
- 은 의 경로 공간 으로 잡을 수 있다. 이 공간은 축약 가능하므로 조건을 만족한다.
- 이때 호모토피 올 은 의 고리 공간 이다.
- 은 고리 공간 의 번 이음 으로 잡을 수 있다.[3]
- 은 의 축소 현수 로 잡을 수 있다.
2. 4. 정의 사이의 관계
류스테르니크-시니렐만 범주의 개념은 여러 가지로 정의될 수 있으며, 이 정의들은 CW 복합체와 호모토피 동치인 위상 공간에 대해서는 서로 일치한다.영대상을 가지며 육면체 공리를 따르는 모형 범주가 주어질 경우, 올대상이자 쌍대올대상인 대상에 대하여 류스테르니크-시니렐만 범주의 화이트헤드 정의와 가네아 정의는 서로 일치한다.[4] 또한 그 범주가 일 경우, CW 복합체와 호모토피 동치인 위상 공간에 대하여 열린 덮개를 통한 정의와 일치한다.
3. 성질
류스테르니크-시니렐만 범주는 호모토피 불변량이다. 즉, 서로 호모토피 동치인 두 위상 공간은 같은 류스테르니크-시니렐만 범주를 갖는다.
3. 1. 연산에 대한 호환
다음이 성립한다. (여기서 는 점을 가진 공간의 쐐기합이다.):[1]
:[1]
만약 사상 가 호모토피 오른쪽 역사상을 갖는다면, 이다.[1]
올뭉치
:
에 대하여,
:
이다.[1]
임의의 점을 가진 공간 의, 크기 2의 열린 덮개
:
:
:
가 주어졌다고 하면, 다음이 성립한다.
:[1]
3. 2. 차원과의 관계
위상 공간 가 -연결 공간이라고 하자. 즉, 인 모든 정수 에 대해 호모토피 군 이 자명군(원소가 하나뿐인 군)이라고 가정한다. 수식으로는 다음과 같이 표현된다.:
그렇다면, 의 류스테르니크-시니렐만 범주 와 르베그 덮개 차원 사이에는 다음 부등식이 성립한다.
:
여기서 는 의 르베그 덮개 차원이다. 만약 가 다양체라면, 이 르베그 덮개 차원은 다양체의 통상적인 차원과 일치한다.
3. 3. 모스 이론과의 관계
연결 콤팩트 매끄러운 다양체 위의 연속 미분 가능 함수 의 임계점 집합:
의 크기는 다양체의 류스테르니크-시니렐만 범주 과 다음의 중요한 관계를 만족한다.[1]
:
이 부등식은 다양체 위에 정의된 어떤 연속 미분 가능 함수라도 최소한 개의 임계점을 가져야 함을 의미한다. 즉, 류스테르니크-시니렐만 범주는 임계점 개수의 하한을 제공한다.
예를 들어, 초구 을 유클리드 공간 안의 단위구로 생각하고, 특정 축 방향으로의 높이를 나타내는 함수를 고려해 보자. 이 높이 함수는 정확히 두 개의 임계점(가장 높은 점인 북극과 가장 낮은 점인 남극)을 갖는다. 한편, 초구의 류스테르니크-시니렐만 범주는 로 알려져 있다. 따라서 이 경우 임계점의 개수는 이고, 이므로, 위 부등식에서 등호가 성립함을 확인할 수 있다.
이러한 성질은 함수의 임계점과 다양체의 위상적 성질을 연결한다는 점에서 모스 이론과 유사하다. 그러나 모스 이론은 모스 함수라는 특별한 조건을 만족하는 함수에 대해서만 임계점 수의 하한을 다루는 반면, 류스테르니크-시니렐만 범주는 모든 연속 미분 가능 함수에 대해 임계점 수의 하한()을 제공한다는 점에서 더 일반적인 결과를 제시한다.
3. 4. 코호몰로지 길이와의 관계
일반적으로, 위상 공간 에 대하여, 0이 아닌 개의 축소 특이 코호몰로지류 가 존재하고 이들의 합곱 이 0이 아니라고 하자.:
:
:
그렇다면, 의 류스테르니크-시니렐만 범주 는 다음 부등식을 만족시킨다.
:
3. 5. 유리수 류스테르니크-시니렐만 범주
유리수체 위의 가환 미분 등급 대수의 모형 범주 를 생각하자. 그렇다면, 조각 범주 는 영 대상을 가지는 모형 범주이며, 육면체 공리를 따른다. 따라서 이 범주 위에서 류스테르니크-시니렐만 범주를 정의할 수 있다. (CW-복합체와 호모토피 동치이며, 점 포함 사상이 쌍대올뭉치인) 점을 가진 공간 에 대하여, 이에 대응되는 가환 미분 등급 대수 의 류스테르니크-시니렐만 범주를:
라고 표기하자. 이는 사실 와 유리수 호모토피 동치인 점을 가진 공간의 류스테르니크-시니렐만 범주의 최솟값이다.[6] 특히 다음 부등식이 항상 성립한다.
:
또한, 만약 와 가 단일 연결 공간이며, 그 최소 설리번 대수들이 등급별 유한 차원이라고 하자. 그렇다면 다음 등식이 성립한다.[6]
:
4. 예
wikitext
| 공간 | 류스테르니크-시니렐만 범주 |
|---|---|
| 축약 가능 공간[1] | 0 |
| 초구[1] , | 1 |
| 축약 불가능한 현수 [1] | 1 |
| 원환면[1] | |
| 실수 사영 공간[1] | |
| 복소수 사영 공간[1] | |
| 종수 의 가향 콤팩트 곡면 | |
| 콤팩트 단일 연결 심플렉틱 다양체 [1] | |
| [1] | 3 |
5. 역사

라자리 류스테르니크와 레프 시니렐만이 처음으로 도입하였다.[7][8] 두 사람의 공동 논문은 시니렐만이 세상을 떠난 후인 1947년에 처음 출판되었다. 그들은 위상 공간의 LS 범주와 그 공간 위에 있는 연속 함수의 임계점 개수 사이의 관계를 밝혀내면서 위상수학과 미분기하학 사이에 연관성이 있음을 알아냈다. 그들은 공간의 성질을 나타내는 이 불변량에 '범주'(catégorie프랑스어, категорийru)라는 이름을 붙였다. 이는 범주론에서 사용하는 '범주'와는 다른 개념이며, 당시에는 아직 범주론이라는 학문 분야가 확립되기 전이었다.
부케가르니를 이용한 류스테르니크-시니렐만 범주의 정의는 조지 윌리엄 화이트헤드 2세가 도입하였다. 또한, 가네아 구성을 통한 류스테르니크-시니렐만 범주의 정의는 투도르 가네아가 도입하였다.
1971년, 가네아는 LS 범주에 관한 중요한 명제인 가네아 추측을 제안했다. 그러나 1998년에 일본의 수학자 이와세 노리오(岩瀬 則夫일본어)가 이 추측이 틀렸음을 보이는 반례를 발견하였다.[9]
참조
[1]
서적
Lusternik-Schnirelmann category
https://web.archive.[...]
American Mathematical Society
2003
[2]
저널
On category, in the sense of Lusternik-Schnirelmann
1978
[3]
저널
A generalization of the homology and homotopy suspension
1965
[4]
저널
The Ganea and Whitehead variants of the Lusternik–Schnirelmann Category
https://archive.org/[...]
2006-03
[5]
저널
Conley pairs in geometry — Lusternik–Schnirelmann theory and more
2017
[6]
저널
Rational homotopy theory: a brief introduction
https://archive.org/[...]
2006
[7]
서적
Atti del IV Congresso internazionale dei matematici (Bologna, 1928)
https://www.mathunio[...]
N. Zanichelli
1931
[8]
저널
Топологические методы в вариационных задачах и их приложения к дифференциальной геометрии поверхностей
http://www.mathnet.r[...]
1947
[9]
저널
Ganea’s conjecture on Lusternik–Schnirelmann category
본 사이트는 AI가 위키백과와 뉴스 기사,정부 간행물,학술 논문등을 바탕으로 정보를 가공하여 제공하는 백과사전형 서비스입니다.
모든 문서는 AI에 의해 자동 생성되며, CC BY-SA 4.0 라이선스에 따라 이용할 수 있습니다.
하지만, 위키백과나 뉴스 기사 자체에 오류, 부정확한 정보, 또는 가짜 뉴스가 포함될 수 있으며, AI는 이러한 내용을 완벽하게 걸러내지 못할 수 있습니다.
따라서 제공되는 정보에 일부 오류나 편향이 있을 수 있으므로, 중요한 정보는 반드시 다른 출처를 통해 교차 검증하시기 바랍니다.
문의하기 : help@durumis.com