프테린
"오늘의AI위키"의 AI를 통해 더욱 풍부하고 폭넓은 지식 경험을 누리세요.
1. 개요
프테린은 다양한 생물학적 과정에 관여하는 유기 화합물이다. 프테린은 물에서 다양한 호변이성질체를 가지며, 프테리딘 고리 시스템은 친핵체의 공격을 받을 수 있다. 프테린은 세 가지 산화 상태를 가지며, 생합성은 구아노신 삼인산(GTP)에서 시작된다. 프테린은 폴산, 테트라하이드로바이오프테린, 몰리브도프테린, 테트라하이드로메타노프테린 등 다양한 보조 인자의 구성 요소로 작용한다. 이러한 보조 인자는 다양한 생물학적 반응, 특히 산화 환원 반응에 필수적이다.
더 읽어볼만한 페이지
- 프테리딘 - 테트라하이드로비오프테린
테트라하이드로비오프테린은 여러 효소의 보조 인자로서 도파민, 세로토닌 등의 신경전달물질 생성에 관여하며, 테트라하이드로비오프테린 결핍증과 페닐케톤뇨증 치료에 사용된다. - 프테리딘 - 트리암테렌
트리암테렌은 고혈압, 심성, 신성, 간성 부종 완화에 쓰이는 이뇨제로, 신장에서 나트륨 재흡수를 억제하고 칼륨 배설을 감소시키며 히드로클로로티아지드와 주로 병용 투여되고 엽산, 리보플라빈과 유사한 구조를 갖는다. - 엔온 - 퀴논
퀴논은 벤젠, 나프탈렌 등의 방향족 고리에 케톤 작용기가 결합된 화합물로, 산화환원 반응, 첨가 반응, 딜스-알더 반응 등에 관여하며, 생체 내에서 중요한 역할을 담당하고 다양한 산업 분야에 응용된다. - 엔온 - 테스토스테론
테스토스테론은 남성의 고환에서 분비되는 안드로겐 호르몬으로, 단백질 합성 및 조직 성장을 촉진하고 근육량, 골밀도 증가, 2차 성징 발현, 성욕 증진 등에 관여하며, 남성 성선기능저하증 치료 등에 사용된다. - 보조 인자 - 피롤로퀴놀린 퀴논
피롤로퀴놀린 퀴논(PQQ)은 세균에서 발견되는 산화환원 반응 보조 인자로서, 여러 효소 활성에 관여하고 단백질과 결합하여 퀴노프로테인을 형성하며, 항산화 및 신경 보호 작용을 하는 것으로 알려졌지만 포유류 필수 영양소 여부는 불확실하고 코코아, 모유, 낫토 등에 존재한다. - 보조 인자 - 필로퀴논
필로퀴논은 비타민 K₁이라고도 불리는 지용성 비타민으로, 동물에서는 혈액 응고와 뼈 형성에, 식물과 시아노박테리아에서는 광합성에 중요한 역할을 하며, 의학적으로는 출혈 장애 치료와 비타민 K 결핍증 예방에 사용된다.
| 프테린 - [화학 물질]에 관한 문서 | |
|---|---|
| 개요 | |
| IUPAC 명칭 | 2-아미노프테리딘-4(3H)-온 |
| 다른 이름 | 프테리독사민 프테린 4-옥소프테린 2-아미노-4-프테리돈 2-아미노-4-하이드록시프테리딘 2-아미노-4-옥소프테리딘 2-아미노프테리딘-4-올 2-아미노-4-프테리디놀 |
| 식별 정보 | |
| ChemSpider ID | 65806 |
| InChI | 1/C6H5N5O/c7-6-10-4-3(5(12)11-6)8-1-2-9-4/h1-2H,(H3,7,9,10,11,12) |
| InChIKey | HNXQXTQTPAJEJL-UHFFFAOYAD |
| ChEMBL | 278009 |
| 표준 InChI | 1S/C6H5N5O/c7-6-10-4-3(5(12)11-6)8-1-2-9-4/h1-2H,(H3,7,9,10,11,12) |
| 표준 InChIKey | HNXQXTQTPAJEJL-UHFFFAOYSA-N |
| CAS 등록번호 | 2236-60-4 |
| UNII | 85MA24E1NH |
| PubChem CID | 73000 |
| ChEBI | 44992 |
| SMILES | O=C2 =C(/Nc1nccnc12)N |
| 특성 | |
| 분자식 | C6H5N5O |
| 몰 질량 | 163.137 g/mol |
| 외형 | 해당 없음 |
| 밀도 | 해당 없음 |
| 녹는점 | 해당 없음 |
| 끓는점 | 해당 없음 |
| 용해도 | 해당 없음 |
| 위험성 | |
| 주요 위험 | 해당 없음 |
| 인화점 | 해당 없음 |
| 자연 발화점 | 해당 없음 |
2. 화학적 성질
프테리딘 고리 시스템은 질소 원자 4개를 포함하여 방향족성을 감소시키므로 친핵체의 공격을 받을 수 있다. 프테린은 고리 시스템에서 세 가지 산화 상태를 가질 수 있는데, 접두사가 없는 산화 형태, 7,8-다이하이드로 반환원 형태(덜 안정한 다른 호변이성질체 포함), 5,6,7,8-테트라하이드로 완전 환원 형태이다. 뒤의 두 가지 형태는 생물학적 시스템에서 더 흔하게 나타난다.[5]
2. 1. 호변이성질체
프테린은 물에서 단순한 케토-엔올 호변이성질화 현상에서 예상되는 범위를 넘어 광범위한 호변이성질화 현상을 나타낸다. 치환되지 않은 프테린의 경우, 적어도 다섯 가지의 호변이성질체가 일반적으로 언급된다.[3] 6-메틸프테린의 경우, 용액에서 일곱 가지 호변이성질체가 이론적으로 중요할 것으로 예측된다.[4]




3. 생합성
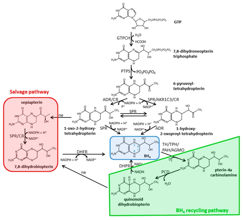
프테린의 생합성은 GTP 사이클로하이드롤레이스 I의 기질인 구아노신 삼인산(GTP)에서 시작된다.[22] GTP 사이클로하이드롤레이스는 원핵생물과 진핵생물 모두에서 발견된다.
몰리브도프테린 생합성은 다음 네 단계로 진행된다.
# 구아노신 삼인산(GTP)의 (8S)‑3',8-사이클로‑7,8‑다이하이드로구아노신 5'‑삼인산(3 ́,8‑cH2GTP)으로의 라디칼 매개 고리화
# 3',8‑cH2GTP로부터 고리형 피라노프테린 일인산(cPMP) 형성
# cPMP의 몰리브도프테린(MPT)으로 전환
# 몰리브덴산염을 몰리브도프테린(MPT)에 삽입하여 몰리브데넘 보조 인자 생성
사람의 효소는 아래 대사 경로 그림에서 괄호 안에 표시되어 있다.[23]
프테린 고리는 기존 고리에서 회수되거나 살아있는 유기체에서 ''de novo''로 생성된다. 이 고리는 박테리아[6]와 사람[7]에서 구아노신의 재배열로 생성된다.
3. 1. 생합성 전구체
치환된 프테리딘은 많은 미생물에서 다이하이드로폴산 생합성의 대사 중간생성물이다.[19] 다이하이드로프테로산 생성효소는 글루탐산의 존재 하에 프테리딘과 4-아미노벤조산을 다이하이드로폴산으로 전환시키는 반응을 촉매한다. 다이하이드로프테로산 생성효소는 설폰아마이드 항생제에 의해 저해된다.몰리브도프테린은 거의 모든 몰리브데넘 및 텅스텐 함유 단백질에서 발견되는 보조 인자이다.[20]
프테린의 생합성은 GTP 사이클로하이드롤레이스 I의 기질인 구아노신 삼인산(GTP)에서부터 시작된다.[22] GTP 사이클로하이드롤레이스는 원핵생물과 진핵생물 모두에서 발견된다.
몰리브도프테린의 생합성은 다음과 같이 네 단계로 진행된다.
# 뉴크레오타이드인 구아노신 5'-삼인산(GTP)의 (8S)‑3',8-사이클로‑7,8‑다이하이드로구아노신 5'‑삼인산(3 ́,8‑cH2GTP)으로의 라디칼 매개 고리화
# 3',8‑cH2GTP로부터 고리형 피라노프테린 일인산(cPMP)의 형성
# cPMP의 몰리브도프테린(MPT)로의 전환
# 몰리브덴산염을 몰리브도프테린(MPT)에 삽입하여 몰리브데넘 보조 인자를 생성한다.
사람의 효소는 아래의 대사 경로 그림에서 괄호 안에 표시되어 있다.[23]
프테린 고리는 기존의 고리에서 회수되거나 살아있는 유기체에서 ''de novo''로 생성된다. 이 고리는 박테리아[6]와 사람[7]에서 구아노신의 재배열로 생성된다.
프테린 생합성은 구아노신 삼인산(GTP)에서 시작된다. GTP를 프테린으로 바꾸는 GTP 사이클로히드로라제 I은 원핵생물과 진핵생물 모두에서 발견된다.
4. 프테린 관련 보조 인자
프테린 유도체는 모든 생명체 영역에서 흔한 조효소이다.
자연계에는 기능에 따라 다른 구조의 프테린 유도체가 존재한다. 척추동물의 비공액 프테린인 테트라하이드로바이오프테린(BH4)은 방향족 고리의 수산화나 일산화 질소 합성 반응의 보조 인자이다. 몰리브도프테린은 몰리브데넘과 결합하여 산화 환원 효소의 반응 부위가 되며, 수산화나 질산 이온의 환원에 관여한다. 테트라하이드로메타노프테린은 메테인 생성 생물에서 사용된다.[24] 사이아노프테린은 남세균에서 기능이 알려지지 않은 프테리딘의 글리코실화 버전이다.[24]
4. 1. 폴산 (엽산)
폴산은 프테린 유도체의 중요한 계열 중 하나이다. 폴산은 한 개 이상의 L-글루탐산과 결합된 프테리딘 고리(프테로산으로 알려짐)의 6번 위치에 메틸기와 결합된 4-아미노벤조산을 포함하고 있는 프테린이다. 폴산은 수많은 생물학적 작용기들의 전이 반응에 참여한다. 폴산 의존성 생합성 반응으로는 5-메틸테트라하이드로폴산으로부터 호모시스테인으로 메틸기를 전달하여 L-메티오닌을 생성하는 반응과 10-폼일테트라하이드로폴산으로부터 L-메티오닌으로 폼일기를 전달하여 개시 tRNA에서 ''N''-폼일메티오닌을 생성하는 반응이 있다. 폴산은 또한 퓨린과 피리미딘의 생합성 과정에 필수적이다.[9]치환된 프테리딘은 많은 미생물에서 디히드로엽산의 생합성 중간체이다. 효소 디히드로프테로산 합성효소는 글루탐산의 존재 하에 프테리딘과 4-아미노벤조산을 디히드로엽산으로 전환시킨다. 효소 디히드로프테로산 합성효소는 설폰아미드 항생제에 의해 억제된다.[9]
4. 2. 테트라하이드로바이오프테린 (BH4)
척추동물의 주요 비공액 프테린인 테트라하이드로바이오프테린은 하이드록실화에 영향을 미치는 세 가지 효소 계열에 관여한다. 방향족 아미노산 하이드록실화효소에는 페닐알라닌 하이드록실화효소, 티로신 하이드록실화효소, 트리토판 하이드록실화효소 등이 있다. 이들은 신경전달물질인 카테콜아민과 세로토닌의 합성에 관여한다. 테트라하이드로바이오프테린은 또한 알킬글리세롤 일산소화효소의 기능에도 필요하며, 이 효소는 모노알킬글리세롤을 글리세롤과 알데하이드로 분해하는 반응을 촉매한다. 산화 질소의 합성에서 프테린 의존성 산화질소 생성효소는 아르지닌을 N-하이드록시 유도체로 전환시키며, 이 과정에서 NO를 방출한다.[21]4. 3. 몰리브도프테린
몰리브도프테린은 거의 모든 몰리브데넘 및 텅스텐 함유 단백질에서 발견되는 보조 인자이다.[20] 이는 몰리브덴과 결합하여 생물학적 수산화, 질산염의 환원, 호흡 산화에 관여하는 산화 환원 보조 인자를 생성한다.[10]몰리브도프테린 생합성은 기존의 GTPCH-1 경로를 사용하지 않고, 다음과 같은 네 단계로 발생한다.[11]
# 구아노신 5'-삼인산(GTP)의 (8S)‑3',8-사이클로‑7,8‑다이하이드로구아노신 5'‑삼인산(3 ́,8‑cH2GTP)으로의 라디칼 매개 고리화
# 3',8‑cH2GTP로부터 고리형 피라노프테린 일인산(cPMP)의 형성
# cPMP의 몰리브도프테린(MPT)으로 전환
# 몰리브덴산염을 몰리브도프테린(MPT)에 삽입하여 몰리브데넘 보조 인자를 생성.
사람의 효소는 아래의 대사 경로 그림에서 괄호 안에 표시되어 있다.[23]
몰리브도프테린은 몰리브덴과 결합하여 산화 환원 효소의 반응 부위가 되며, 수산화나 질산 이온의 환원에 관여한다.
4. 4. 테트라하이드로메타노프테린
테트라하이드로메타노프테린은 많은 유기체가 채택하는 메테인 생성의 보조 인자이며, 이는 일종의 혐기성 호흡이다.[13] 이는 메테인의 형성 또는 생성 과정에서 C1 기질을 운반하며, 구조적으로 엽산과 유사하다.
4. 5. 기타 프테린
척추동물의 비공액 프테린인 테트라하이드로바이오프테린(BH4)은 방향족 화합물의 하이드록실화와 산화 질소 합성 과정에서의 보조 인자이다. 몰리브도프테린은 몰리브데넘과 결합한 치환된 프테린으로 생물학적 하이드록실화, 질산염의 환원, 호흡 산화에 관여하는 산화환원반응의 보조 인자이다. 테트라하이드로메타노프테린은 메테인 생성 생물에서 사용된다.[24] 사이아노프테린은 남세균에서 기능이 알려지지 않은 프테리딘의 글리코실화 버전이다.[15]테트라히드로메타노프테린은 많은 유기체가 채택하는 메탄 생성의 보조 인자이며, 이는 일종의 혐기성 호흡이다.[13] 이는 메탄의 형성 또는 생성 과정에서 C1 기질을 운반하며, 구조적으로 엽산과 유사하다.
참조
[1]
논문
Colors and pterin pigmentation of pierid butterfly wings
https://pure.rug.nl/[...]
2007-12
[2]
문서
πτερόν
[3]
논문
Correct protonation states and relevant waters = better computational simulations?
2013
[4]
논문
Theoretical study on the relative energies of cationic pterin tautomers
2015-03-01
[5]
논문
Pterin chemistry and its relationship to the molybdenum cofactor
2011-05
[6]
논문
Pterin function in bacteria
http://iu.tind.io/re[...]
2017-05-01
[7]
논문
Tetrahydrobiopterin: biochemistry and pathophysiology
2011-09
[8]
논문
Analysis of Catecholamines and Pterins in Inborn Errors of Monoamine Neurotransmitter Metabolism-From Past to Future
2019-08
[9]
서적
Biochemistry
John Wiley & Sons
2004
[10]
논문
Molybdenum cofactors, enzymes and pathways
2009-08
[11]
논문
Molybdenum cofactor biosynthesis and molybdenum enzymes
[12]
논문
Three classes of tetrahydrobiopterin-dependent enzymes
2013-01-01
[13]
논문
Biochemistry of methanogenesis: a tribute to Marjory Stephenson. 1998 Marjory Stephenson Prize Lecture
1998-09
[14]
논문
Colors and pterin pigmentation of pierid butterfly wings
https://pure.rug.nl/[...]
2007-12
[15]
논문
Characterization of a novel unconjugated pteridine glycoside, cyanopterin, in Synechocystis sp. PCC 6803
1999-01
[16]
논문
Characterization of a novel unconjugated pteridine glycoside, cyanopterin, in Synechocystis sp. PCC 6803
[17]
저널 인용
Colors and pterin pigmentation of pierid butterfly wings
https://pure.rug.nl/[...]
[18]
문서
πτερόν
[19]
서적
Biochemistry
John Wiley & Sons
2004
[20]
저널 인용
Pterin function in bacteria
2017-01-01
[21]
저널 인용
Three classes of tetrahydrobiopterin-dependent enzymes
2013-01-01
[22]
저널 인용
Biosynthesis of Pteridines. Reaction Mechanism of GTP Cyclohydrolase I
[23]
저널 인용
Molybdenum cofactor biosynthesis and molybdenum enzymes
[24]
저널 인용
Molybdenum cofactors, enzymes and pathways
[25]
저널 인용
Colors and pterin pigmentation of pierid butterfly wings
https://pure.rug.nl/[...]
본 사이트는 AI가 위키백과와 뉴스 기사,정부 간행물,학술 논문등을 바탕으로 정보를 가공하여 제공하는 백과사전형 서비스입니다.
모든 문서는 AI에 의해 자동 생성되며, CC BY-SA 4.0 라이선스에 따라 이용할 수 있습니다.
하지만, 위키백과나 뉴스 기사 자체에 오류, 부정확한 정보, 또는 가짜 뉴스가 포함될 수 있으며, AI는 이러한 내용을 완벽하게 걸러내지 못할 수 있습니다.
따라서 제공되는 정보에 일부 오류나 편향이 있을 수 있으므로, 중요한 정보는 반드시 다른 출처를 통해 교차 검증하시기 바랍니다.
문의하기 : help@durumis.com