비노렐빈
"오늘의AI위키"의 AI를 통해 더욱 풍부하고 폭넓은 지식 경험을 누리세요.
1. 개요
비노렐빈은 폐암, 유방암, 자궁암, 난소암, 호지킨 림프종, 카포시 육종 등의 치료에 사용되는 항암제이다. 비소세포 폐암 치료에 승인되었으며, 전이성 유방암, 공격성 섬유종증(데스모이드 종양) 등 다른 암에 대해서는 허가 외 사용(off-label)되기도 한다. 비노렐빈은 튜불린과의 상호작용을 통해 세포 분열을 억제하여 항암 효과를 나타낸다. 1980년대 프랑스에서 개발되었으며, 1989년 프랑스에서 처음 승인되었다. 흔한 부작용으로는 말초신경병증, 면역 억제, 빈혈, 변비 등이 있으며, 심각한 부작용으로는 골수 기능 억제, 간질성 폐렴 등이 나타날 수 있다.
더 읽어볼만한 페이지
- 유사 분열 억제제 - 빈크리스틴
빈크리스틴은 정맥 주사 항암제로, 림프종, 백혈병, 콩팥모세포종 등의 치료에 사용되며 튜불린 결합을 통한 미세소관 형성 억제로 세포 분열을 막지만, 신경병증, 저나트륨혈증, 변비, 탈모 등의 부작용이 있고 과거 로이코크리스틴으로 불렸으며 마다가스카르일일초에서 추출되나 현재는 합성된다. - 유사 분열 억제제 - 빈블라스틴
빈블라스틴은 튜불린 중합 억제를 통해 암 치료에 사용되는 빈카 알칼로이드의 일종으로, 호지킨 림프종 치료의 ABVD 요법 구성 요소로 활용되며 공격성 섬유종증, 조직구증 등 다양한 질환 치료에도 사용되고, 일일초에서 분리되거나 합성되며 P-당단백질과 결합하여 뇌 흡수가 제한적이다. - 스피로 화합물 - 스피로놀락톤
스피로놀락톤은 심부전, 부종, 고혈압 등을 치료하고, 항안드로겐 활성을 통해 피부과 질환 치료와 트랜스젠더 여성의 호르몬 요법에 사용되는 약물이며, 부작용으로 빈뇨, 고칼륨혈증 등이 나타날 수 있다. - 스피로 화합물 - 올리고마이신
올리고마이신은 ATP 생성효소를 저해하여 산화적 인산화를 방해하고 세포 호흡을 감소시키는 데 사용되는 물질이며, 다양한 종류가 존재한다. - 암 치료 - 이마티닙
이마티닙은 Bcr-Abl 티로신 키나아제를 포함한 여러 티로신 키나아제의 활성을 선택적으로 억제하는 표적 항암제로, 만성 골수성 백혈병과 위장관기질종양 치료에 주로 사용되며, FDA 승인 후 CML 환자의 생존율을 크게 향상시켰고, 사회경제적 논란에도 불구하고 암 치료에 획기적인 발전을 가져온 약물로 평가받는다. - 암 치료 - 면역요법
면역요법은 면역 체계를 조절하여 암, 자가면역 질환, 알레르기 등 다양한 질환을 치료하는 방법으로, 면역 조절제, 면역 활성화 요법, 면역 억제 요법 등을 포함한다.
2. 의학적 사용
비노렐빈은 폐암, 유방암, 자궁암, 난소암, 호지킨 림프종, 카포시육종 등 다양한 암 치료에 사용되는 항암제이다.[25] 비소세포 폐암 치료에 승인되었다.[1] 전이성 유방암 및 공격성 섬유종증 (데스모이드 종양)과 같은 다른 암에 대해 허가 외 사용(off-label)된다.[5][6]
2. 1. 폐암
미국에서는 비소세포 폐암 치료에만 허가되어 있지만,[20][26] 다른 국가에서는 다양한 종류의 폐암 치료에 사용된다. 대한민국에서는 비소세포폐암 치료에 승인되어 사용되고 있다.[1]2. 2. 유방암
전이성 유방암 치료에 오프라벨로 사용되기도 한다.[25] 대한민국에서는 진행성 유방암 치료에 승인되어 사용되고 있다. 일본에서는 수술 불가능 또는 재발 유방암에 효과가 있으나,[5] 수술 전후 보조 화학 요법, 안트라사이클린 계열 항암제 및 탁산 계열 항암제 치료 후 재발, 초회 화학 요법에서의 병용 요법에 대해서는 유효성과 안전성이 확립되지 않았다.2. 3. 기타 암
자궁암, 난소암, 호지킨 림프종, 카포시육종 등의 치료에도 사용된다.[25] 횡문근육종에도 치료 효과를 보인다.[27] 공격성 섬유종증 (데스모이드 종양)에 대해 허가 외 사용(off-label)된다.[5][6]3. 부작용
비노렐빈은 여러 부작용을 유발할 수 있으며, 이로 인해 사용이 제한될 수 있다. 흔한 부작용으로는 화학요법 유발 말초신경병증(손발 저림, 통증, 온도 민감성 증가), 면역 억제, 출혈, 빈혈, 변비, 구토, 설사, 구역질, 피로감(무력증), 주사 부위 염증(정맥염), 저나트륨혈증 등이 있다.[28] 혈관 외 유출 시 정맥염을 유발할 수 있다.[25]
덜 흔한 부작용으로는 탈모, 알레르기 반응이 있고, 드물게 심한 저나트륨혈증이 관찰되기도 한다. 일본에서는 골수 기능 억제, 간질성 폐렴, 폐부종, 기관지 경련, 마비성 장폐색, 심부전, 심근경색, 협심증, 쇼크, 아나필락시스 유사 증상, 폐색전증, 항이뇨 호르몬 부적절 분비 증후군(SIADH), 급성 신부전, 급성 췌장염과 같은 중대한 부작용이 보고된 바 있다.
3. 1. 흔한 부작용
화학요법 유발 말초신경병증(손발 저림, 통증, 온도 민감성 증가)[28], 면역 억제, 출혈, 빈혈, 변비, 구토, 설사, 구역질, 피로감(무력증), 주사 부위 염증(정맥염), 저나트륨혈증 등이 흔한 부작용이다. 혈관 외 유출 시 정맥염을 유발할 수 있다.[25] 덜 심한 부작용으로는 탈모 증상과 알레르기 반응이 있다.3. 2. 덜 흔한 부작용
덜 흔한 부작용으로는 탈모와 알레르기 반응이 있다.[28]3. 3. 중대한 부작용 (일본)
골수 기능 억제, 간질성 폐렴, 폐부종(0.1% 미만), 기관지 경련(0.1% 미만), 마비성 장폐색, 심부전, 심근경색(0.1% 미만), 협심증(0.1% 미만), 쇼크(0.1% 미만), 아나필락시스 유사 증상(0.1% 미만), 폐색전증, 항이뇨 호르몬 부적절 분비 증후군(SIADH), 급성 신부전, 급성 췌장염(0.1% 미만)이 나타날 수 있다.4. 약리학
비노렐빈은 튜불린과 상호작용하여 유사분열을 억제함으로써 항암 효과를 나타낸다.[29][9]
4. 1. 작용 기전
비노렐빈은 유사분열 미세 소관의 구성 단백질인 튜불린에 선택적으로 작용하여 중합을 억제함으로써 항종양 효과를 나타낸다.[29][9] 이는 세포 분열을 억제하는 작용 기전이다.5. 역사
비노렐빈은 1980년대 프랑스 국립과학연구센터(CNRS)의 피에르 포티에가 개발하였다.[30] 대부분의 유럽 국가에서 비소세포 폐암과 유방암 치료제로 승인되었다. 미국에서는 비소세포 폐암에 대해서만 승인되었다.
5. 1. 개발 및 승인
비노렐빈은 1980년대 프랑스 국립과학연구센터(CNRS)의 피에르 포티에가 개발하였으며, 1989년 프랑스에서 나벨빈이라는 상표명으로 비소세포간암 치료 목적으로 사용이 승인되었고, 1991년에는 전이성 유방암 치료에도 승인되었다.[30] 1994년 12월에는 미국 식품의약국(FDA) 승인을 받았다.대한민국에서는 1995년 비소세포폐암과 진행성 유방암 치료 목적으로 승인되었으며,[30] 2019년에는 경구 투여제의 사용이 승인되었다.[31]
5. 2. 제제
경구 제제는 대부분의 유럽 국가에서 시판 및 등록되었다. 정맥 주사 제제와 유사한 효능을 보이지만, 정맥 주사로 인한 독성을 피할 수 있으며 복용이 더 쉽다. 경구 제제는 미국 또는 호주에서는 승인되지 않았다.5. 3. 원천
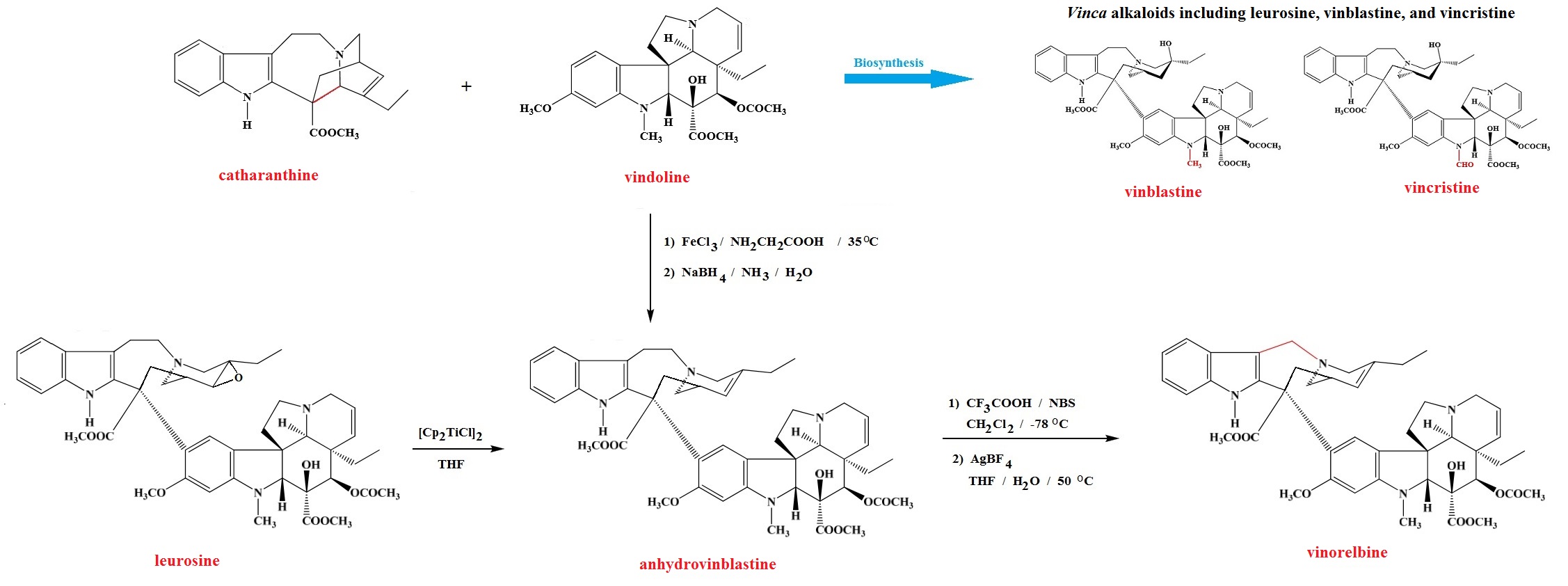
비노렐빈은 마다가스카르에 서식하는 일일초(Catharanthus roseus|카타란투스 로세우스la)에서 추출한 카타란틴과 빈돌린을 이용하여 반합성 방식으로 만들어진다.[20][37] 빈카 알칼로이드 계열 약물인 빈블라스틴과 빈크리스틴도 일일초에서 추출한다.[32][33][34][35][36] 류로신에서도 합성할 수 있다.[20]
참조
[1]
논문
Oral vinorelbine pharmacokinetics and absolute bioavailability study in patients with solid tumors
2001-11
[2]
웹사이트
Vinorelbine Tartrate
https://www.drugs.co[...]
The American Society of Health-System Pharmacists
2016-12-08
[3]
서적
British national formulary : BNF 69
British Medical Association
2015
[4]
서적
The selection and use of essential medicines 2023: web annex A: World Health Organization model list of essential medicines: 23rd list (2023)
World Health Organization
[5]
논문
Off-label drug use in oncology: a systematic review of literature
2017-06
[6]
논문
The management of desmoid tumours: A joint global consensus-based guideline approach for adult and paediatric patients
2020-03
[7]
논문
Vinorelbine in previously treated advanced childhood sarcomas: evidence of activity in rhabdomyosarcoma
2002-06
[8]
논문
Chemotherapy-induced Peripheral Neuropathy
http://www.cancer.go[...]
2010-02-23
[9]
논문
Microtubules as a target for anticancer drugs
2004-04
[10]
서적
Biotechnology in Agriculture and Forestry 26
https://archive.org/[...]
Springer-Verlag
[11]
서적
Metal Catalyzed Reductive C—C Bond Formation: A Departure from Preformed Organometallic Reagents
Springer Science & Business Media
[12]
서적
Botanical Miracles: Chemistry of Plants That Changed the World
CRC Press
[13]
논문
Modifications on the basic skeletons of vinblastine and vincristine
2012-05
[14]
서적
The evolution of drug discovery: From traditional medicines to modern drugs
John Wiley & Sons
[15]
논문
Safety and efficacy of vinorelbine in the treatment of non-small cell lung cancer
[16]
논문
Synthesis and biological evaluation of vinca alkaloids and phomopsin hybrids
2009-01
[17]
논문
Recent applications of Cp2TiCl in natural product synthesis
[18]
논문
Concise synthesis of anhydrovinblastine from leurosine
2002-04
[19]
논문
Oral vinorelbine pharmacokinetics and absolute bioavailability study in patients with solid tumors
[20]
논문
Oral vinorelbine pharmacokinetics and absolute bioavailability study in patients with solid tumors
2001-11
[21]
웹인용
Vinorelbine Tartrate
https://www.drugs.co[...]
The American Society of Health-System Pharmacists
2016-12-08
[22]
서적
British national formulary : BNF 69
https://archive.org/[...]
British Medical Association
2015
[23]
서적
World Health Organization model list of essential medicines: 21st list 2019
World Health Organization
[24]
서적
World Health Organization model list of essential medicines: 22nd list (2021)
World Health Organization
[25]
백과사전
비노렐빈
https://terms.naver.[...]
[26]
논문
Safety and efficacy of vinorelbine in the treatment of non-small cell lung cancer
[27]
논문
Vinorelbine in previously treated advanced childhood sarcomas: evidence of activity in rhabdomyosarcoma
2002-06
[28]
논문
Chemotherapy-induced Peripheral Neuropathy
http://www.cancer.go[...]
2010-02-23
[29]
논문
Microtubules as a target for anticancer drugs
2004-04
[30]
웹인용
나벨빈주(비노렐빈타르타르산염)
https://nedrug.mfds.[...]
2023-09-03
[31]
웹인용
나벨빈연질캡슐30밀리그램(비노렐빈타르타르산염)
https://nedrug.mfds.[...]
2023-09-03
[32]
논문
Modifications on the basic skeletons of vinblastine and vincristine
2012-05
[33]
서적
Biotechnology in Agriculture and Forestry 26
https://archive.org/[...]
Springer-Verlag
[34]
서적
Metal Catalyzed Reductive C—C Bond Formation: A Departure from Preformed Organometallic Reagents
Springer Science & Business Media
[35]
서적
Botanical Miracles: Chemistry of Plants That Changed the World
CRC Press
[36]
서적
The evolution of drug discovery: From traditional medicines to modern drugs
John Wiley & Sons
[37]
저널
Synthesis and biological evaluation of vinca alkaloids and phomopsin hybrids
2009-01
[38]
저널
Concise synthesis of anhydrovinblastine from leurosine
2002-04
[39]
저널
Recent applications of Cp2TiCl in natural product synthesis
본 사이트는 AI가 위키백과와 뉴스 기사,정부 간행물,학술 논문등을 바탕으로 정보를 가공하여 제공하는 백과사전형 서비스입니다.
모든 문서는 AI에 의해 자동 생성되며, CC BY-SA 4.0 라이선스에 따라 이용할 수 있습니다.
하지만, 위키백과나 뉴스 기사 자체에 오류, 부정확한 정보, 또는 가짜 뉴스가 포함될 수 있으며, AI는 이러한 내용을 완벽하게 걸러내지 못할 수 있습니다.
따라서 제공되는 정보에 일부 오류나 편향이 있을 수 있으므로, 중요한 정보는 반드시 다른 출처를 통해 교차 검증하시기 바랍니다.
문의하기 : help@durumis.com
