셀룰레이스
"오늘의AI위키"의 AI를 통해 더욱 풍부하고 폭넓은 지식 경험을 누리세요.
1. 개요
셀룰레이스는 셀룰로오스를 분해하는 효소의 총칭으로, 다양한 종류가 존재하며 각기 다른 방식으로 작용한다. 엔도셀룰레이스는 셀룰로오스 사슬 내부의 결합을 무작위로 절단하고, 엑소셀룰레이스는 사슬 말단에서 이당류를 생성하며, 셀로비아제는 엑소셀룰레이스 생성물을 단당류로 분해한다. 셀룰레이스는 시너지 효과를 보이며, 동물 중에서는 반추 동물을 제외하고는 자체적으로 생산하지 못한다. 셀룰레이스는 곰팡이, 세균 등 다양한 생물에서 생산되며, 세포체라는 복합 효소 구조를 이루기도 한다. 셀룰레이스는 식품 가공, 섬유 산업, 제지 산업, 의약 분야, 농업, 바이오 연료 생산 등 다양한 분야에 응용된다. 셀룰레이스 활성 측정 방법으로는 DNSA 방법, 점도 측정법, HPLC, 이온 크로마토그래피 등이 있다.
더 읽어볼만한 페이지
- 셀룰로스 - 펄프
펄프는 종이, 판지 등의 원료로 사용되는 목재 또는 비목재 식물 섬유 덩어리로, 목재펄프, 비목재펄프, 고지펄프로 나뉘며, 환경적 영향으로 인해 재생 펄프 사용과 친환경 펄핑 기술 개발이 중요해지고, 세계 최대 생산국은 미국이다. - 셀룰로스 - 셀로판
셀로판은 스위스 화학자가 발명한 투명한 셀룰로스 필름으로, 식품 포장재 등으로 널리 사용되었으며, 생분해성을 가지지만 제조 과정과 방습 기능에 따라 단점이 존재하기도 한다. - 효소 - 활성 부위
활성 부위는 효소 분자 내에서 기질과 결합하여 촉매 작용을 하는 특정 부위이며, 다양한 모델로 설명되고, 결합 부위, 촉매 부위, 보조인자를 포함하며, 저해제와 알로스테릭 부위와 관련되어 신약 개발에 활용된다. - 효소 - 제한 효소
제한 효소는 DNA의 특정 염기서열을 인식하여 절단하는 효소로, 유전체학과 생명공학 발전에 기여하여 노벨상을 수상했으며, 인식 서열 특이성 등에 따라 다양한 유형으로 분류되어 여러 연구 및 응용 분야에 활용된다.
| 셀룰레이스 |
|---|
2. 종류 및 작용

셀룰레이스는 촉매 반응 유형에 따라 일반적으로 다음과 같은 다섯 가지 주요 유형으로 분류할 수 있다. 각 유형에 대한 자세한 설명은 하위 섹션을 참조한다.
- 엔도셀룰레이스 (Endocellulase, EC 3.2.1.4)
- 엑소셀룰레이스 또는 셀로비오히드롤라제 (Exocellulase or Cellobiohydrolase, EC 3.2.1.91)
- 셀로비아제 (Cellobiase, EC 3.2.1.21) 또는 β-글루코시다제 (β-glucosidase)
- 산화적 셀룰레이스 (Oxidative cellulase)
- 셀룰로오스 포스포릴라아제 (Cellulose phosphorylase)
이러한 유형 외에도 작용 방식에 따라, 하나의 다당류 가닥에 계속 작용하는 순차적(processive) 유형과 한 번 작용한 후 분리되어 다른 가닥과 결합하는 비순차적(non-processive) 유형으로 나눌 수도 있다.
셀룰레이스의 작용은 여러 종류를 함께 사용했을 때 각 종류를 개별적으로 사용했을 때보다 훨씬 더 많은 당을 생성하는 시너지 효과를 나타낸다. 반추 동물을 제외한 대부분의 동물(사람 포함)은 체내에서 셀룰레이스를 직접 생산하지 못하며, 소화 과정 중 발효를 통해 셀룰로오스를 부분적으로만 분해할 수 있다. 이 때문에 섬유질 식물 재료로부터 에너지를 얻는 능력이 제한적이다.
2. 1. 엔도글루카나제 (Endoglucanase, EC 3.2.1.4)
엔도셀룰레이스 (EC 3.2.1.4)는 셀룰로오스의 무정형 부위에서 내부 결합을 무작위로 절단하여 새로운 사슬 말단을 생성한다.2. 2. 엑소셀룰레이스 (Exocellulase) 또는 셀로비오히드롤라제 (Cellobiohydrolase, EC 3.2.1.91)
엑소셀룰레이스(Exocellulase) 또는 셀로비오히드롤라제(Cellobiohydrolase, EC 3.2.1.91)는 엔도셀룰레이스가 셀룰로오스 내부를 절단하여 만들어낸 사슬의 말단 부분에 작용하는 효소이다. 이 효소는 노출된 사슬 말단에서 2개에서 4개 단위의 글루코스를 잘라내어, 테트라사카라이드[7]나 셀로비오스와 같은 이당류를 만들어낸다.엑소셀룰레이스는 작용하는 사슬 말단의 종류에 따라 두 가지 유형으로 더 나눌 수 있다.
- I형: 셀룰로오스 사슬의 환원성 말단(reducing end)에서부터 순차적으로 작용한다.
- II형: 셀룰로오스 사슬의 비환원성 말단(non-reducing end)에서부터 순차적으로 작용한다.
2. 3. 셀로비아제 (Cellobiase, EC 3.2.1.21) 또는 β-글루코시다제 (β-glucosidase)

셀로비아제 (EC 3.2.1.21) 또는 β-글루코시다제는 엑소셀룰레이스가 생성한 셀로비오스와 같은 이당류 생성물을 개별 단당류(포도당)로 가수 분해한다.
2. 4. 산화적 셀룰레이스 (Oxidative cellulase)
산화적 셀룰레이스는 셀로비오스 탈수소 효소(수용체)와 같이 라디칼 반응을 통해 셀룰로오스를 탈중합한다.2. 5. 셀룰로스 포스포릴라제 (Cellulose phosphorylase)
셀룰로오스 포스포릴라아제는 물 대신 인산을 사용하여 셀룰로오스를 탈중합한다.3. 구조
대부분의 곰팡이 셀룰레이스는 두 개의 도메인 구조를 가진다. 하나는 촉매 작용을 담당하는 촉매 도메인이고, 다른 하나는 셀룰로스에 결합하는 셀룰로스 결합 도메인이다. 이 두 도메인은 유연한 링커로 연결되어 있다.[8] 이러한 구조는 물에 잘 녹지 않는 셀룰로스 기질에 작용하기 좋게 적응된 형태로, 효소가 마치 애벌레처럼 셀룰로스 표면을 따라 2차원적으로 이동하며 작용할 수 있게 한다. 하지만 모든 셀룰레이스가 이런 구조를 가지는 것은 아니며, 셀룰로스 결합 도메인이 없는 셀룰레이스도 존재한다. 대부분의 엔도글루카나제가 여기에 해당한다.
셀룰레이스가 기질에 결합하고 촉매 작용을 하는 과정은 효소의 3차원 구조에 크게 의존한다. 이 3차원 구조는 단백질 접힘을 통해 형성된다. 효소의 활성 부위, 즉 기질이 결합하는 위치의 아미노산 서열과 잔기 배열은 리간드(기질)와의 결합력, 활성 부위 내에서 기질을 안정화시키는 능력, 그리고 실제 촉매 반응 속도 등에 영향을 미친다. 기질의 구조는 효소 활성 부위의 정교한 구조와 서로 들어맞는 상보적인 관계를 가진다. 따라서 활성 부위 내 아미노산 잔기의 위치가 조금이라도 바뀌면 이러한 상호작용 중 하나 이상에 문제가 생길 수 있다.[8] 또한, 온도, pH, 금속 이온과 같은 외부 요인들도 효소 구조를 이루는 비공유 결합에 영향을 미쳐 효소의 활성에 변화를 줄 수 있다.[9]
특정 미생물이 만드는 셀룰레이스의 구조는 다양하다. 예를 들어, ''Thermotoga maritima''라는 세균이 만드는 셀룰레이스는 2개의 β-시트(단백질 구조)가 활성 부위인 중심 촉매 영역을 둘러싸는 구조를 가진다.[10] 이 효소는 엔도글루카나제로 분류되며, 셀룰로스 사슬 내부의 β-1,4-글리코사이드 결합을 절단하여 셀룰로스 분자를 더 작은 단위로 분해하는 과정을 돕는다. 같은 ''T. maritima'' 계열의 다른 종들은 또 다른 구조의 셀룰레이스를 만들기도 한다.[10] 또 다른 예로, ''Coprinopsis cinerea''라는 곰팡이가 만드는 셀룰레이스는 7개의 단백질 가닥이 모여 β/α 배럴이라고 불리는 닫힌 터널 모양의 구조를 형성한다.[11] 이 효소는 카복시메틸 셀룰로스라는 기질을 가수분해하는데, 기질이 활성 부위에 결합하면 효소의 입체 구조가 변하면서 기질 분해가 일어난다.
3. 1. 세포체 (Cellulosome)
많은 세균에서 생체 내 셀룰레이스는 초분자 복합체인 세포체로 구성된 복합 효소 구조를 이룬다. 세포체는 내생 셀룰레이스, 외생 셀룰레이스, 셀로비아제, 산화 셀룰레이스, 셀룰로오스 인산화효소 등 5가지 유형의 효소 하위 단위를 포함할 수 있지만 이에 국한되지는 않는다. 이 중 외생 셀룰레이스와 셀로비아제만이 β(1→4) 결합의 실제 가수분해에 참여한다. 세포체를 구성하는 하위 단위의 수는 효소 활성 속도를 결정할 수도 있다.[12]다양한 분류군에서 다중 도메인 셀룰레이스가 널리 퍼져 있지만, 세포체에서 발견되는 혐기성 세균의 셀룰레이스는 다양한 유형의 모듈로 구성된 가장 복잡한 구조를 가진다. 예를 들어, ''Clostridium cellulolyticum''은 촉매 도메인(CD), 탄수화물 결합 모듈(CBM), 도커린, 링커 및 Ig 유사 도메인의 수와 배열이 다른 13개의 GH9 모듈형 셀룰레이스를 생성한다.[13]
예를 들어, ''Trichoderma reesei''의 셀룰레이스 복합체는 결정성 셀룰로오스 사슬을 분리하는 C1 성분(약 57,000 달톤), 엔도글루카나제(약 52,000 달톤), 엑소글루카나제(약 61,000 달톤) 및 β-글루코시다제(약 76,000 달톤)로 구성된다.[14]
도커린과 코헤신으로 알려진 수많은 특징적인 서열이 세포체를 생성하는 세균의 게놈에서 확인되었다. 아미노산 서열 및 3차 구조에 따라 셀룰레이스는 클랜(clan)과 패밀리(family)로 나뉜다.[15]
다중 모듈 셀룰레이스는 효소와 셀룰로오스 기질 사이의 근접성으로 인한 공생 작용 때문에 자유 효소(촉매 도메인(CD)만 포함)보다 더 효율적이다. 탄수화물 결합 모듈(CBM)은 셀룰로오스 결합에 관여하는 반면, 당화 링커는 CD에 유연성을 제공하여 더 높은 활성과 프로테아제 보호뿐만 아니라 셀룰로오스 표면에 대한 결합 증가를 가능하게 한다.[6]
4. 가수분해 기제
5. 셀룰레이스 생산 생물
균류나 원생생물과 같은 다양한 생물이 셀룰레이스 생산 능력을 가지고 있다. 일부 동물은 직접 효소를 생산하지 못하는 대신, 체내에 셀룰레이스 생산 능력을 가진 미생물과 공생 관계를 맺어 식물 셀룰로스를 분해하기도 한다.
5. 1. 균류
자낭균류와 담자균류 중에는 셀룰로스 분해 능력을 가진 종류가 많다. 특히 목재의 분해는 담자균류가 주도하며, 이들을 목재 부후균이라고 부른다. 자낭균류에 속하는 트리코데르마의 일종인 ''Trichoderma reesei''는 셀룰라아제를 많이 생산하는 균으로 잘 알려져 있다. 이 균은 50g/L ~ 60g/L 정도의 단백질을 분비하는데, 그 대부분이 셀룰라아제와 헤미셀룰라아제이다. 최소 5종의 엔도글루카네이스와 2종류의 셀로비오히드로라아제를 포함한 여러 종류의 셀룰라아제를 생산하는 것으로 밝혀져, 셀룰로스 분해 분야에서 기대를 모으고 있다.한편, 높은 온도에서 산소 없이 자라는 세균인 ''Clostridium thermocellum''은 여러 개의 작은 단위들이 모여 구성된 셀룰라아제 복합체인 "셀룰로솜(Cellulosome)"을 형성하는 것으로 알려져 있다. 이 셀룰로솜 구조가 매우 효율적인 셀룰로스 분해 능력의 비결로 여겨진다.
5. 2. 동물
균류나 원생생물처럼 셀룰레이스 생산 능력을 가진 생물이 있다. 일부 동물은 체내에 이러한 생산 능력을 가진 원생생물 등을 공생시키기도 한다.'''연체동물'''
셀룰레이스에 대한 효소학적 연구는 오래전 달팽이(''Helix pomatia'') 유래의 셀룰레이스를 대상으로 처음 이루어졌다. 복족류나 이매패류 같은 다른 연체동물도 셀룰레이스나 헤미셀룰레이스를 생산할 수 있다.
'''절지동물'''
흰개미나 바퀴벌레 같은 절지동물은 셀룰레이스를 생산하는 단세포 원생생물을 장내에 공생시킨다. 과거에는 이들 동물이 스스로 셀룰레이스를 생산하지 못하고 공생 미생물에 의존한다고 여겨졌으나, 흰개미 연구에서는 흰개미 자체의 게놈에 셀룰레이스를 암호화하는 유전자가 존재하며, 이 유전자가 공생하는 세균이나 원생생물로부터 수평적 유전자 이동을 통해 최근에 획득된 것이 아닐 가능성이 제기되었다[30]. 솔잎혹파리에서도 셀룰레이스 유전자의 발현이 확인되었다는 보고[31]가 있으며, 심해에 서식하는 카이코우오오소코에비가 셀룰레이스를 생산한다는 보고[32]도 있다.
'''포유류'''
소, 양과 같은 반추동물이나 말과 같은 초식 포유류는 소화관 내에 셀룰레이스를 생산하는 미생물(세균, 사상균, 원생생물)을 공생시킨다. 이들 공생 미생물이 셀룰로오스를 분해하여 식물 섬유의 소화를 돕는다.
6. 응용
셀룰레이스는 커피의 상업적 가공, 섬유 산업, 세탁 세제, 펄프 및 제지 산업, 제약 분야 등 다양한 산업에서 활용된다. 식물 세포벽만을 분해하여 원형질체를 만들거나, 청바지의 질감을 개선하는 등 특정 목적을 위해 사용되기도 한다. 또한, 비록 실험적인 단계에 있지만 바이오매스를 바이오 연료, 특히 셀룰로오스 에탄올로 전환하는 데에도 응용되고 있다.
6. 1. 식품 가공
셀룰레이스는 커피의 상업적 식품 가공에 사용된다. 커피콩을 건조하는 동안 셀룰로스의 가수분해를 수행한다.6. 2. 섬유 산업
셀룰레이스는 섬유 산업과 세탁 세제에 널리 사용된다. 섬유 산업에서는 특히 다음과 같은 다양한 용도로 활용된다.- 청바지의 바이오스톤 워싱
- 섬유 섬유의 광택 처리
- 의류 연화
- 과잉 염료 제거 또는 색상 밝기 복원
6. 3. 제지 산업
셀룰레이스는 펄프 및 제지 산업에서 광범위하게 적용된다. 종이 생산 및 재활용 과정에서 셀룰레이스는 제피, 펄프화, 표백, 배수 개선 또는 탈묵 개선 등에 사용될 수 있다.[17]셀룰레이스를 사용하면 종이의 품질을 향상시킬 수도 있다. 셀룰레이스는 섬유의 형태에 영향을 주어 섬유 간의 결합을 개선하고 섬유의 응집력을 높일 수 있다.[18] 또한, 종이의 인장 강도를 높이고, 부피와 공극률(기공률)을 증가시키며, 질감을 더 부드럽게 만드는 효과도 있다.
6. 4. 의약 분야
셀룰레이스는 의학에서 사람의 위에서 발견되는 셀룰로오스 형태의 식물성 위석인 위석 치료에 사용된다. 또한, 세포외 고분자 물질(EPS)의 구조적 매트릭스인 엑소폴리사카라이드 내의 β(1-4) 글리코사이드 결합을 가수분해하여 다균성 세균 바이오필름을 분해하는 데 효과를 보인다.[19][20]6. 5. 농업 분야
셀룰레이스는 식물 병원균 및 질병 관리를 위해 농업 분야에서 사용될 수 있다. 또한 종자 발아를 촉진하고 뿌리 시스템을 개선하는 데 적용되며, 토양 품질을 향상시키고 광물질 비료 의존도를 줄일 수 있다.[2]6. 6. 바이오 연료 생산
셀룰레이스는 현재 비교적 실험적인 과정이지만, 바이오매스를 바이오 연료로 발효하는 데 사용된다.또한 셀룰레이스는 셀룰로스를 상온에서 포도당으로 변환할 수 있으므로, 비식용 바이오매스를 원료로 하는 셀룰로오스 에탄올 생산에 활용된다.
7. 측정
셀룰레이스의 기질인 셀룰로스는 물에 녹지 않는 고분자이기 때문에, 이 기질을 사용하는 전통적인 환원당 분석법으로는 셀룰레이스 활성을 측정하기 어렵다. 이러한 한계를 극복하기 위해 분석 과학자들은 여러 가지 대체 방법을 개발했다.
7. 1. DNSA 방법
셀룰레이스의 기질인 셀룰로스는 물에 녹지 않는 고분자이기 때문에, 이를 직접 사용하는 전통적인 환원당 분석법으로는 셀룰레이스 활성을 측정하기 어렵다. DNSA(Dinitrosalicylic acid) 방법은 이러한 문제를 해결하기 위해 개발된 분석법 중 하나이다.DNSA 방법에서는 셀룰레이스 활성을 측정하기 위해 다음과 같은 과정을 거친다. 먼저, 0.5ml의 상등액(효소액)과 0.5ml의 1% 카르복시메틸셀룰로스(CMC) 용액(0.05M 시트르산 완충액, pH 4.8)을 혼합한다. 이 혼합물을 50°C에서 30분 동안 배양한다. 배양이 끝나면 반응을 종결시키기 위해 3ml의 디니트로살리실산 시약을 첨가한다. 마지막으로, 540nm 파장에서 흡광도를 측정하여 셀룰레이스 활성을 평가한다.[21]
7. 2. 점도 측정법
점도계를 사용하여 셀룰레이스 샘플과 배양 시 카르복시메틸 셀룰로스와 같은 수용성 셀룰로스 유도체를 포함하는 용액의 점도 감소를 측정하는 방법이다.[22] 점도 감소는 셀룰레이스 활성에 정비례한다. 이러한 분석법은 매우 민감하고 endo-셀룰레이스에 특이적이다. 그러나 exo-작용 셀룰레이스 효소는 점도 변화를 거의 또는 전혀 생성하지 않으며, 기존의 효소 단위(분당 가수분해된 기질 또는 생성된 생성물의 마이크로몰)로 활성을 정의하기 어렵다는 제한점이 있다.7. 3. 기타 방법
셀룰레이스의 기질인 셀룰로스는 물에 녹지 않는 고분자이기 때문에, 이 기질을 사용하는 전통적인 환원당 분석법으로는 셀룰레이스 활성을 측정하기 어렵다. 이를 해결하기 위해 여러 대체 방법이 개발되었다.- '''DNSA 방법''': 0.5 ml의 상등액과 0.5 ml의 1% 카르복시메틸 셀룰로스(CMC)를 0.05M 시트르산 완충액(pH 4.8)에서 50°C에서 30분 동안 반응시킨다. 이후 3 ml의 디니트로살리실산(DNSA) 시약을 첨가하여 반응을 멈추고, 540 nm 파장에서 흡광도를 측정하여 셀룰레이스 활성을 계산한다.[21]
- '''점도 측정법''': 점도계를 사용하여 카르복시메틸 셀룰로스(CMC)와 같은 수용성 셀룰로스 유도체가 포함된 용액의 점도 변화를 측정한다. 셀룰레이스가 작용하면 용액의 점도가 감소하며, 이 감소 정도는 셀룰레이스 활성에 비례한다.[22] 이 방법은 매우 민감하고 특히 ''엔도''-셀룰레이스 활성 측정에 유용하다. ''엑소''-셀룰레이스는 점도 변화를 거의 일으키지 않기 때문이다. 그러나 이 방법은 효소 활성을 전통적인 단위(분당 생성물의 마이크로몰 등)로 정의하기 어렵다는 단점이 있다.
- '''셀로-올리고당 사용법''': 분자량이 작은 셀로-올리고당(DP2-6)은 물에 잘 녹아 셀룰레이스의 기질로 사용될 수 있다.[23] 하지만 이 올리고당 자체가 환원당이기 때문에, 전통적인 환원당 분석법을 사용하면 초기 '블랭크' 값이 높아져 정확한 측정이 어렵다. 대신, HPLC나 IC 방법을 사용하여 셀룰레이스에 의한 가수분해 과정을 관찰함으로써 특정 셀룰레이스의 기질 요구 사항에 대한 정보를 얻을 수 있다.
- '''환원된 셀로-올리고당 사용법''': 셀로-올리고당을 붕소 수소화 나트륨으로 화학적으로 환원시키면 해당 당 알코올이 생성된다. 이 당 알코올은 환원당 분석에서 반응하지 않지만, 셀룰레이스에 의해 가수분해되면 생성되는 물질은 반응한다. 따라서 환원된 셀로-올리고당은 넬슨-소모기 방법과 같은 전통적인 환원당 분석법으로 셀룰레이스 활성을 측정하는 데 유용한 기질이 된다.[24][25][26]
- '''발색 기질 사용법''': 색깔을 띠는 기질을 이용하여 셀룰레이스 활성을 측정하는 방법이다.
- * '''불용성 발색 기질''': AZCL-HE-셀룰로스와 같은 불용성 기질은 물을 흡수하여 젤 형태의 입자를 만든다. 셀룰레이스가 작용하면 이 기질이 분해되어 용해된다. 알칼리 용액으로 반응을 멈춘 뒤, 여과하거나 원심분리하여 얻은 용액의 색깔을 측정하여 효소 활성을 알아낸다.
- * '''가용성 발색 기질''': 아조-CM-셀룰로스와 같은 수용성 기질을 셀룰레이스와 반응시킨다. 반응 후 에탄올 등의 유기 용매를 첨가하여 분해되지 않은 큰 기질 조각들을 침전시킨다. 원심분리 후, 용해된 작은 색깔 조각들이 남아 있는 상층액의 색깔을 측정한다. 표준 곡선을 이용하여 효소 활성을 결정할 수 있다.
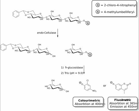
- '''효소 연계 시약법''': ''엔도''-셀룰레이스 활성을 특이적으로 측정하기 위해 개발된 새로운 방법이다.[27][28] 이 방법은 특별히 고안된 올리고당 기질과 보조 효소(β-글루코시다제)를 함께 사용한다. 셀룰레이스가 올리고당 기질(예: 삼당류 조각)을 특정 부위에서 절단하면, 보조 효소인 β-글루코시다제가 이 절단된 조각 중 발색단이나 형광단을 포함한 부분을 가수분해하여 색깔이나 형광을 내는 물질을 유리시킨다. 염기성 용액을 첨가하여 반응을 멈추고 유리된 물질(페놀레이트)의 양을 분광 광도계로 측정한다. 측정된 값은 시료의 셀룰레이스 활성에 비례한다. 기질 분자의 특정 위치에 아세탈 작용기를 도입하여, 원래 기질이 보조 효소에 의해 직접 분해되는 것을 방지한다.
참조
[1]
논문
The ''Streptomyces lividans'' family 12 endoglucanase: construction of the catalytic core, expression, and X-ray structure at 1.75 Å resolution
1997-12
[2]
웹사이트
Cellulose
http://www.accesssci[...]
AccessScience, McGraw-Hill
[3]
서적
Biology of termites: a modern synthesis
Springer
[4]
논문
A cellulase gene of termite origin
1998-07
[5]
논문
Animal cellulases
2001-08
[6]
논문
Novel Insights from Comparative In Silico Analysis of Green Microalgal Cellulases
2018-06-15
[7]
논문
A major new component in the cellulosome of ''Clostridium thermocellum'' is a processive endo-β-1,4-glucanase producing cellotetraose
2005-08
[8]
논문
Multiple functions of aromatic-carbohydrate interactions in a processive cellulase examined with molecular simulation
2011-11
[9]
논문
Purification and characterization of cellulase produced by ''Bacillus amyoliquefaciens'' DL-3 utilizing rice hull
2008-01
[10]
논문
Crystal structure and substrate-binding mode of cellulase 12A from ''Thermotoga maritima'''
2011-04
[11]
논문
Crystal structure of a glycoside hydrolase family 6 enzyme, CcCel6C, a cellulase constitutively produced by ''Coprinopsis cinerea''
2010-03
[12]
논문
Functional display of complex cellulosomes on the yeast surface via adaptive assembly
2013-01
[13]
논문
Characterization of all family-9 glycoside hydrolases synthesized by the cellulosome-producing bacterium ''Clostridium cellulolyticum''
2014-03
[14]
웹사이트
Cellulase
http://www.worthingt[...]
Worthington Biochemical Corporation
2014-07-03
[15]
논문
Cellulose, cellulases and cellulosomes
1998-10
[16]
서적
Biomass Sugars for Non-Fuel Applications
Royal Society of Chemistry
2015-01-01
[17]
서적
New and Future Developments in Microbial Biotechnology and Bioengineering: Microbial Cellulase System Properties and Applications
2016-08-02
[18]
논문
Microbial Cellulases and Their Industrial Applications
2011
[19]
논문
Approaches to Dispersing Medical Biofilms
2017-04
[20]
논문
Glycoside Hydrolases Degrade Polymicrobial Bacterial Biofilms in Wounds
https://zenodo.org/r[...]
2017-02
[21]
논문
Isolation, optimization and production of cellulase by ''Aspergillus niger'' from agricultural waste.
https://www.research[...]
2016-06
[22]
논문
The cellulolytic enzymes of ''Botryodiplodia theobromae'' Pat. Separation and characterization of cellulases and β-glucosidases
1979-01
[23]
논문
Engineering of family-5 glycoside hydrolase (Cel5A) from an uncultured bacterium for efficient hydrolysis of cellulosic substrates
[24]
논문
A photometric adaptation of the Somogyi method for the determination of glucose
[25]
논문
Notes on sugar determination
1952-03
[26]
논문
New chromogenic substrates for the assay of alpha-amylase and (1 leads to 4)-β-D-glucanase
1980-11
[27]
논문
Novel substrates for the measurement of endo-1,4-β-glucanase (endo-cellulase)
2014-02
[28]
논문
Quantitative fluorometric assay for the measurement of endo-1,4-β-glucanase
2014-08
[29]
논문
Traffic Jams Reduce Hydrolytic Efficiency of Cellulase on Cellulose Surface
https://science.scie[...]
2011-09-02
[30]
논문
A cellulase gene of termite origin
https://www.nature.c[...]
1998-07
[31]
논문
A family of glycosyl hydrolase family 45 cellulases from the pine wood nematode Bursaphelenchus xylophilus
https://www.scienced[...]
2004-08-13
[32]
논문
The Hadal Amphipod Hirondellea gigas Possessing a Unique Cellulase for Digesting Wooden Debris Buried in the Deepest Seafloor
https://journals.plo[...]
2012-08-15
[33]
서적
Biomass Sugars for Non-Fuel Applications
Royal Society of Chemistry
2015-01-01
본 사이트는 AI가 위키백과와 뉴스 기사,정부 간행물,학술 논문등을 바탕으로 정보를 가공하여 제공하는 백과사전형 서비스입니다.
모든 문서는 AI에 의해 자동 생성되며, CC BY-SA 4.0 라이선스에 따라 이용할 수 있습니다.
하지만, 위키백과나 뉴스 기사 자체에 오류, 부정확한 정보, 또는 가짜 뉴스가 포함될 수 있으며, AI는 이러한 내용을 완벽하게 걸러내지 못할 수 있습니다.
따라서 제공되는 정보에 일부 오류나 편향이 있을 수 있으므로, 중요한 정보는 반드시 다른 출처를 통해 교차 검증하시기 바랍니다.
문의하기 : help@durumis.com