피롤
"오늘의AI위키"의 AI를 통해 더욱 풍부하고 폭넓은 지식 경험을 누리세요.
1. 개요
피롤은 1834년 콜타르에서 처음 발견된 5원자 고리 방향족 헤테로고리 화합물이다. 피롤은 견과류 냄새가 나는 무색의 휘발성 액체이며, 다양한 보조 인자와 천연물에서 발견되는 많은 유도체를 갖는다. 피롤은 질소 원자의 고립 전자쌍이 고리에 비편재화되어 방향족성을 띠며, 자연적으로는 존재하지 않지만 비타민 B12, 헴, 엽록소 등의 분자 구조를 이루는 피롤 고리 형태로 존재한다. 피롤은 퓨란을 암모니아로 처리하거나, 피롤리딘의 촉매적 탈수소화 반응을 통해 합성할 수 있으며, 한츠 피롤 합성, 노르 피롤 합성, 팔-노르 피롤 합성 등 다양한 합성법이 존재한다. 피롤은 친전자체와의 반응, 탈양성자화된 피롤의 반응, 환원 반응, 고리화 반응 등 다양한 반응성을 보이며, 상업적으로 폴리피롤, 의약품, 염료 등에 활용된다. 피롤린, 피롤리딘, 인돌 등 구조적 유사체 및 유도체도 존재한다.
더 읽어볼만한 페이지
- 피롤 - 아토바스타틴
아토바스타틴은 이상지질혈증 치료 및 심혈관 질환 예방에 사용되는 스타틴 계열 약물로, 콜레스테롤 합성을 억제하여 혈중 콜레스테롤 수치를 낮추며, 근육통, 당뇨병 발생 위험 등의 부작용이 있을 수 있다. - 피롤 - 포르포빌리노젠
포르포빌리노젠은 포르피린 생합성 경로의 중간 생성물이며, 델타-아미노레불린산으로부터 생성되어 4분자가 하이드록시메틸빌레인으로 전환되고, 급성 간헐성 포르피린증은 소변 내 포르포빌리노젠 증가를 유발한다. - 방향족 화합물 - 아드레날린
아드레날린(에피네프린)은 부신 수질에서 분비되는 호르몬이자 신경전달물질로, 스트레스 반응인 '투쟁-도피 반응'에 중요한 역할을 하며, 심박수 증가, 혈압 상승, 기관지 확장, 혈당 증가 등의 효과를 통해 신체가 위협에 대응하도록 돕고 아나필락시스나 심정지 치료에 사용된다. - 방향족 화합물 - 방향족성
방향족성은 고리 내 π 전자들의 비편재화로 인해 특정 고리형 분자가 비정상적으로 높은 안정성을 가지는 화학적 성질이며, 휴켈 규칙을 만족하는 평면 고리 구조에서 나타나 친전자성 방향족 치환 반응을 보이는 벤젠이 대표적인 예시이다. - 질소 헤테로고리 화합물 - 헥사메틸렌테트라민
헥사메틸렌테트라민은 포름알데히드와 암모니아 반응으로 생성되는 유기 화합물로, 페놀 수지 경화제, 요로 방부제, 폭약 제조 원료, 고체 연료, 유기 합성 시약 등 다양한 용도로 사용되지만, 식품 첨가물 사용은 국가별로 다르며 환경 및 건강에 대한 우려도 있다. - 질소 헤테로고리 화합물 - 피라진
피라진은 다양한 유기 합성법을 통해 만들어지는 질소를 포함하는 방향족 헤테로 고리 화합물이며, 슈타이델-루그하이머 합성, 구트크네히트 합성, 가스탈디 합성 등 다양한 합성법이 존재한다.
2. 역사
피롤은 1834년 프리들리프 페르디난트 룽게가 콜타르 성분에서 처음 발견했다.[8] 1857년 뼈의 열분해물에서 분리되었다. 피롤이라는 이름은 그리스어 ''pyrrhos''(πυρρόςgrc, "붉은색, 불 같은")에서 유래되었는데, 이는 염산으로 적신 나무에 피롤이 붉은색을 띠게 하는 반응을 통해 피롤을 검출했기 때문이다.[9]
피리딘과 같은 다른 아민이나 방향족 화합물에 비해 매우 약한 염기성을 지닌다. 양성자가 첨가되면 방향족성이 깨지기 때문이다.[6] 피롤은 무색의 휘발성 액체로 공기에 노출되면 쉽게 어두워지며, 견과류 냄새가 난다. 푸란과 티오펜과 같은 5원자 고리 방향족 헤테로고리 화합물이다. 푸란과 티오펜과 달리, 이 화합물은 이원자 분자 쪽에 양(+) 전하를 띠는 쌍극자를 가지며, 쌍극자 모멘트는 1.58 D이다. 피롤은 아민으로서는 매우 약한 염기로, 짝산 p''K''a는 -3.8이다. 또한 N–H 위치에서 약한 산성이며, p''K''a는 16.5이다.
퓨란과 암모니아를 SiO2, Al2O3 같은 고체산 촉매 존재 하에 반응시키면 피롤을 산업적으로 제조할 수 있다.[9]
3. 성질, 구조 및 결합
피롤은 질소 원자의 고립 전자쌍이 고리로 부분적으로 비편재화되어 4''n'' + 2 방향족 시스템을 생성하므로 방향족성을 갖는다. 방향족성 측면에서, 피롤은 벤젠에 비해 적지만 티오펜 및 푸란과 유사하다. 공명 에너지는 벤젠, 피롤, 티오펜, 푸란의 경우 각각 152, 88, 121, 67 kJ/mol (36, 21, 29, 16 kcal/mol)이다.[7] 분자는 평면형이다.
피롤은 질소 원자를 포함하지만, 그 염기성은 아민이나 피리딘에 비해 훨씬 낮다. 이는 질소 원자의 고립 전자쌍이 환 전체에 비편재화되어 있기 때문이다.
4. 자연에서의 존재
피롤 자체는 자연적으로 존재하지 않지만, 많은 유도체들은 다양한 보조 인자와 천연물에서 발견된다. 피롤을 포함하는 일반적인 자연 생성 분자로는 비타민 B12, 빌리루빈과 빌리베르딘과 같은 담즙 색소, 헴, 엽록소, 클로린, 박테리오클로린, 및 포르피린 등이 있다.[5]
피롤은 담배 연기의 구성 성분이며, 독성 효과에 기여할 수 있다.[10]
5. 합성
피롤리딘의 촉매적 탈수소화 반응으로도 피롤을 만들 수 있다. 피롤 고리는 다양한 방법으로 합성할 수 있다.[11]
5. 1. 주요 합성법
한츠 피롤 합성은 β-케토에스터 ('''1''')와 암모니아(또는 1차 아민) 및 α-할로케톤 ('''2''')을 반응시켜 치환된 피롤 ('''3''')을 생성하는 반응이다.[13][14]
노르 피롤 합성은 α-아미노 케톤 또는 α-아미노-β-케토에스터와 활성화된 메틸렌 화합물의 반응을 포함한다.[15][16][17] 이 방법은 α-아미노케톤(1)과 카보닐 그룹에 α 위치(다음 탄소에 결합)에 있는 메틸렌기를 포함하는 화합물('''2''')의 반응을 포함한다.[18]
팔-노르 피롤 합성에서 1,4-디카보닐 화합물은 암모니아 또는 1차 아민과 반응하여 치환된 피롤을 형성한다.[19][20]
5. 2. 기타 합성법
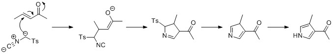
반 레우센 반응을 통해 피롤을 생성하는 방법은 염기 존재 하에서 토실메틸 이소시아나이드 (TosMIC)와 엔온을 마이클 부가 반응으로 반응시키는 것이다. 그 후 5-''엔도'' 고리화 반응을 통해 5원 고리가 형성되고, 토실 그룹이 제거된다. 마지막 단계는 피롤로의 토토머화이다.
바턴-자르드 합성에서는 이소시아노아세테이트가 니트로알켄과 1,4-부가 반응을 하고, 이어서 5-''엔도''-''dig'' 고리화 반응, 니트로기 제거, 그리고 토토머화 반응을 거친다.[21]
게르트루드 모드 로빈슨과 로버트 로빈슨, 그리고 오스카 필로티의 이름을 딴 필로티-로빈슨 피롤 합성에서 사용되는 출발 물질은 두 당량의 알데히드와 히드라진이다.[22][23] 생성물은 3번과 4번 위치에 치환기를 갖는 피롤이다. 알데히드는 다이아민과 반응하여 중간체인 다이-이민 (R−C=N−N=C−R)을 형성한다. 두 번째 단계에서 [3,3]-시그마트로픽 재배열이 일어난다. 염산을 첨가하면 고리가 닫히고 암모니아가 손실되어 피롤이 형성된다. 이 메커니즘은 로빈슨 부부에 의해 개발되었다.
한 가지 변형에서는, 프로피온알데히드를 먼저 히드라진과 반응시키고, 이어서 고온에서 벤조일 클로라이드와 반응시키며 마이크로파 조사를 통해 반응을 돕는다.[24]
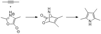
다중 치환기를 갖는 피롤은 뮌히논과 알킨의 반응으로부터 얻을 수 있다. 반응 메커니즘은 1,3-쌍극자 고리 부가 반응을 포함하며, 이어서 역-딜스-알더 반응에 의해 이산화 탄소가 손실된다. 유사한 반응은 아잘락톤을 사용하여 수행할 수 있다.
피롤은 또한 R2가 전자 흡인 그룹이고 R1이 알칸, 아릴 그룹 또는 에스터인 경우, 은 촉매 반응으로 알킨과 아이소나이트릴을 고리화하여 제조할 수 있다. 이치환 알킨의 예에서도 상당한 수율로 원하는 피롤이 형성되는 것을 확인할 수 있었다. 이 반응은 은 아세틸라이드 중간체를 통해 진행되는 것으로 추정된다. 이 방법은 아졸을 형성하는 데 사용되는 아자이드-알킨 클릭 화학과 유사하다.
피롤의 한 가지 합성 경로는 뮤신산의 암모늄 염인 암모늄 뮤케이트의 탈카복실화를 포함한다. 이 염은 일반적으로 글리세롤을 용매로 하여 증류 장치에서 가열된다.[25]
6. 생합성
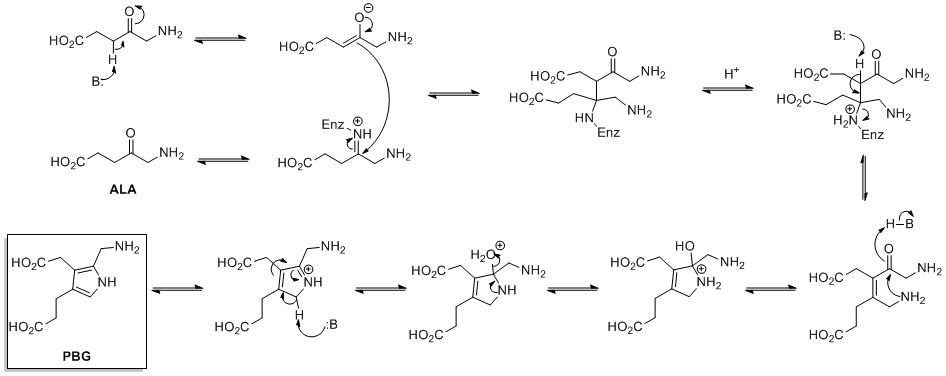
피롤 고리의 생합성은 아미노레불린산(ALA)에서 시작되며, 이는 글리신과 석시닐-CoA로부터 합성된다. ALA 탈수소효소는 두 개의 ALA 분자를 Knorr형 고리 합성을 통해 축합하여 포르포빌리노젠(PBG)을 형성한다. 이는 나중에 헴, 엽록소와 같은 매크로사이클을 형성하는데 사용된다.[26]
6. 1. 프롤린으로부터의 생합성
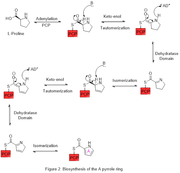
프롤린은 프로디기오신과 같은 이차 천연물에서 방향족 피롤의 전구체로 사용될 수 있다. 프로디기오신[28][29]의 생합성은 L영어-프롤린, L영어-세린, L영어-메티오닌, 피루브산 및 2-옥테날로부터 세 개의 피롤형 고리 (그림 1에서 A, B 및 C로 표시됨)의 수렴적 결합을 포함한다.
고리 A는 비리보솜 펩타이드 합성효소 (NRPS) 경로를 통해 L영어-프롤린으로부터 합성되며 (그림 2), 여기서 프롤린의 피롤리딘 고리는 FAD+를 통해 두 번 산화되어 피롤 고리 A를 생성한다.

고리 A는 폴리케타이드 합성효소 경로를 통해 확장되어 L영어-세린을 고리 B에 통합한다 (그림 3). 고리 A 단편은 펩티딜 운반체 단백질 (PCP)에서 아실 운반체 단백질 (ACP)로 KS 도메인에 의해 전달된 다음 탈카르복실화 클레이젠 축합을 통해 말로닐-ACP로 전달된다. 이 단편은 PLP 매개 L영어-세린 탈카르복실화로부터 형성된 마스크된 카르바니온과 반응하여 탈수 반응에서 고리화되어 두 번째 피롤 고리를 생성할 수 있다. 그런 다음 이 중간체는 메틸화 (이는 L영어-메티오닌으로부터의 메틸기를 6번 위치의 알코올에 통합) 및 1차 알코올을 알데히드로 산화하여 핵심 A–B 고리 구조를 생성함으로써 수정된다.

7. 반응성
방향족성 때문에 피롤은 수소화 반응을 겪기 어렵고, 디엔으로 작용하여 디엘스-알더 반응을 쉽게 하지 않으며, 일반적인 올레핀 반응도 겪지 않는다. 피롤의 반응성은 벤젠과 아닐린과 유사하여, 알킬화와 아실화가 쉽다. 산성 조건에서 피롤은 쉽게 산화되어 폴리피롤이 되므로,[30] 벤젠 화학에서 사용되는 많은 친전자체 시약은 피롤에 적용할 수 없다.
7. 1. 친전자체와의 반응
피롤은 양성자화된 중간체의 가장 높은 안정성으로 인해 주로 α 위치(C2 또는 C5)에서 친전자체와 반응한다.
피롤은 질산화 (예: HNO3/Ac2O), 술폰화 (Py·SO3), 할로겐화 (예: NCS, NBS, Br2, SO2Cl2, KI/H2O2) 시약과 쉽게 반응한다.[31] 할로겐화는 일반적으로 폴리할로겐화 피롤을 생성하지만, 모노할로겐화도 수행할 수 있다. 피롤에 대한 친전자성 부가 반응의 전형적인 경우와 같이, 할로겐화는 일반적으로 2-위치에서 발생하지만 질소의 실릴화에 의해 3-위치에서도 발생할 수 있다.
일반적으로 아실화는 다양한 방법을 사용하여 2-위치에서 일어난다. 산 무수물 및 산 염화물을 사용한 아실화는 촉매의 유무에 관계없이 발생할 수 있다.[32] 2-아실피롤은 Houben–Hoesch 반응에 의해 니트릴과의 반응으로부터 얻어진다. 피롤 알데히드는 Vilsmeier–Haack 반응에 의해 형성될 수 있다.[33]

7. 2. 탈양성자화된 피롤의 반응
피롤의 NH 양성자는 p''K''a가 17.5로 산성이 중간 정도이다.[34] 피롤은 뷰틸리튬 및 수소화 나트륨과 같은 강염기로 탈양성자화될 수 있다.[35] 생성된 알칼리 피롤리드는 친핵성이다. 이 짝염기를 아이오도메탄과 같은 친전자체로 처리하면 ''N''-메틸피롤이 생성된다.''N''-금속화된 피롤은 배위 금속에 따라 N 또는 C 위치에서 친전자체와 반응할 수 있다. 더 이온성이 강한 질소-금속 결합(리튬, 나트륨, 칼륨 등)과 더 용매화된 용매는 ''N''-알킬화를 유도한다. MgX와 같은 친전자성 금속은 질소 원자와의 높은 배위도로 인해 C(주로 C2)에서 알킬화를 유도한다. ''N''-치환된 피롤의 경우, 탄소의 금속화가 더 용이하다. 알킬기는 친전자체로 도입되거나 교차 결합 반응에 의해 도입될 수 있다.

C3에서의 치환은 NBS로 ''N''-실릴피롤을 브로민화하여 합성할 수 있는 ''N''-치환된 3-브로모피롤을 사용하여 달성할 수 있다.
7. 3. 환원 반응
피롤은 피롤리딘과 피롤린으로 환원될 수 있다.[36] 예를 들어, 피롤 에스테르와 아마이드의 버치 환원은 피롤린을 생성하며, 반응의 위치 선택성은 전자 끌개의 위치에 따라 달라진다.7. 4. 고리화 반응
''N''-치환된 피롤은 고리화 부가 반응을 겪을 수 있으며, 여기에는 [4+2]-, [2+2]-, [2+1]-고리화 반응이 포함된다. 특히 질소에 전자 끌개 그룹이 존재할 때 피롤이 다이엔 역할을 하는 디엘스-알더 반응이 일어날 수 있다. 비닐피롤 또한 다이엔으로 작용할 수 있다.
피롤은 카벤과 반응하여 [2+1]-고리화 반응을 할 수 있다. 예를 들어 디클로로카벤과 반응하면 디클로로사이클로프로판 중간체가 형성되며, 이는 분해되어 3-클로로피리딘 (치아미치안-덴슈테트 재배열)을 형성한다.[37][38][39]

8. 피롤 고리
분자 내에 피롤을 부분 구조로 포함하는 화합물은 매우 많으며, 이 구조를 피롤 고리라고 부른다.
피롤 고리 4개가 탄소 원자 1개씩을 사이에 두고 결합한 고리(테트라피롤 고리)에는 헴(헤모글로빈이나 시토크롬에 포함)의 포르피린 고리, 클로로필의 클로린 고리, 비타민 B12의 코린 고리 등이 있다. 이들은 대부분 내부의 금속을 킬레이트하고 있다. 또한 빌리루빈이나 피코빌린(광합성 색소인 피코시아닌, 피코에리트린 등의 발색단)은 피롤 고리가 4개 직렬된 구조(개환 테트라피롤)를 가지고 있다. 이러한 테트라피롤 화합물은 생체 내 물질에 많으며, 이중 결합이 다수 공액하고 있기 때문에 가시광선을 흡수하여 특유의 색을 나타내는 것이 많다.
다수의 피롤 고리를 결합한 합성 화합물 폴리피롤은 전도성을 나타내며 합성 유기 금속이나 유기 반도체의 재료가 된다.
8. 1. 폴리피롤 합성
폴리피롤은 직쇄 알킬벤젠술폰산나트륨의 일종인 도데실벤젠술폰산나트륨을 첨가한 피롤 수용액을 스테인리스 강 전극에서 전기 중합하여 음극에서 얻는다. 이때 도데실벤젠술폰산나트륨은 전해액으로서의 역할과 폴리피롤에 전도성을 부여하는 도핑제로서의 두 가지 역할을 한다(이때 도핑되는 것은 음이온인 도데실벤젠술폰산 이온이다). 폴리피롤은 철염 등의 산화제를 이용한 피롤의 화학적 산화로도 얻을 수 있지만, 자립한 폴리머 필름 형태로 얻기 위해서는 전기화학적 산화에 의한 불활성 전극 하에서의 전기 중합 방법밖에 없다.9. 상업적 이용
폴리피롤은 상업적 가치가 있다. ''N''-메틸피롤은 제약 화학의 구성 요소인 ''N''-메틸피롤카르복실산의 전구체이다.[9] 피롤은 아토르바스타틴, 케토롤락, 수니티닙을 포함한 여러 약물에서 발견된다. 피롤은 내광성 적색, 스칼렛, 코치닐 안료로 사용된다.[40][41]
10. 유사체 및 유도체
피롤의 구조적 유사체는 다음과 같다.
- 피롤린은 이중 결합이 하나 있는 부분 포화 유사체이다.
- 피롤리딘은 포화 수소화 유사체이다.
피롤의 유도체로는 융합된 벤젠 고리를 가진 인돌이 있다.
참조
[1]
서적
Nomenclature of Organic Chemistry: IUPAC Recommendations and Preferred Names 2013
The Royal Society of Chemistry
2014
[2]
서적
CRC Handbook of Chemistry and Physics
CRC Press
[3]
서적
Organic Chemistry
Oxford University Press
[4]
서적
Lehninger Principles of Biochemistry
https://archive.org/[...]
Worth Publishers
[5]
논문
The aromatic pathways of porphins, chlorins and bacteriochlorins
https://zenodo.org/r[...]
[6]
서적
Purification of Laboratory Chemicals
Elsevier
[7]
간행물
[8]
논문
Ueber einige Produkte der Steinkohlendestillation
http://babel.hathitr[...]
1834
[9]
간행물
Pyrrole
[10]
웹사이트
The Chemical Constituents in Cigarettes and Cigarette Smoke: Priorities for Harm Reduction
http://www.moh.govt.[...]
New Zealand Ministry of Health
2000-03
[11]
논문
1''H''-Pyrroles (Update 2013)
https://www.thieme.d[...]
2013
[12]
서적
Heterocyclic Chemistry
Longman
1997
[13]
논문
Neue Bildungsweise von Pyrrolderivaten
https://babel.hathit[...]
[14]
논문
Studien in der Furan- und Pyrrol-Gruppe
https://babel.hathit[...]
[15]
논문
Synthese von Pyrrolderivaten
https://babel.hathit[...]
[16]
논문
Synthetische Versuche mit dem Acetessigester
https://babel.hathit[...]
[17]
논문
Ueber die Bildung von Pyrrolderivaten aus Isonitrosoketonen
https://babel.hathit[...]
[18]
서적
Heterocyclic Compounds
Wiley
1950
[19]
논문
Ueber die Derivate des Acetophenonacetessigesters und des Acetonylacetessigesters
https://babel.hathit[...]
[20]
논문
Synthese von Furfuranderivaten aus dem Diacetbernsteinsäureester
https://babel.hathit[...]
[21]
서적
Heterocyclic Chemistry in Drug Discovery
https://books.google[...]
Wiley
[22]
논문
Synthese von Pyrrolderivaten: Pyrrole aus Succinylobernsteinsäureester, Pyrrole aus Azinen
https://babel.hathit[...]
[23]
논문
LIV. A new synthesis of tetraphenylpyrrole
[24]
논문
Microwave-Assisted Piloty–Robinson Synthesis of 3,4-Disubstituted Pyrroles
[25]
서적
Practical Organic Chemistry
http://www.sciencema[...]
1956
[26]
논문
Biological formation of pyrroles: Nature's logic and enzymatic machinery
[27]
서적
Principles of Biochemistry
W. H. Freeman
[28]
논문
Biological formation of pyrroles: Nature's logic and enzymatic machinery
[29]
논문
Structure, Chemical Synthesis, and Biosynthesis of Prodiginine Natural Products
[30]
서적
Tianjin Nankai University
[31]
간행물
Thieme
[32]
논문
Ethyl Pyrrole-2-Carboxylate
1971
[33]
논문
2-Pyrrolealdehyde
1956
[34]
서적
Comprehensive Heterocyclic Chemistry
http://www.sciencedi[...]
Pergamon
[35]
서적
Industrielle Aromatenchemie: Rohstoffe, Verfahren, Produkte
Springer
[36]
서적
https://archive.org/[...]
[37]
논문
Ueber die Einwirkung des Chloroforms auf die Kaliumverbindung Pyrrols
https://babel.hathit[...]
1881
[38]
서적
Heterocyclic Compounds
Wiley
1950
[39]
서적
Heterocyclic Compounds
Wiley
1950
[40]
웹사이트
DPP Pigments,Diketopyrrolopyrrole Pigments,DPP Pigments Wholesaler,Diketopyrrolopyrrole Pigments Suppliers
http://dyes-pigments[...]
[41]
논문
Diketopyrrolopyrrole: brilliant red pigment dye-based fluorescent probes and their applications
[42]
서적
Nomenclature of Organic Chemistry: IUPAC Recommendations and Preferred Names 2013
"[[Royal Society of Chemistry|The Royal Society of Chemistry]]"
2014
[43]
서적
CRC Handbook of Chemistry and Physics
CRC Press
[44]
서적
CRC Handbook of Chemistry and Physics
CRC Press
본 사이트는 AI가 위키백과와 뉴스 기사,정부 간행물,학술 논문등을 바탕으로 정보를 가공하여 제공하는 백과사전형 서비스입니다.
모든 문서는 AI에 의해 자동 생성되며, CC BY-SA 4.0 라이선스에 따라 이용할 수 있습니다.
하지만, 위키백과나 뉴스 기사 자체에 오류, 부정확한 정보, 또는 가짜 뉴스가 포함될 수 있으며, AI는 이러한 내용을 완벽하게 걸러내지 못할 수 있습니다.
따라서 제공되는 정보에 일부 오류나 편향이 있을 수 있으므로, 중요한 정보는 반드시 다른 출처를 통해 교차 검증하시기 바랍니다.
문의하기 : help@durumis.com
