부분 순서 집합
"오늘의AI위키"의 AI를 통해 더욱 풍부하고 폭넓은 지식 경험을 누리세요.
1. 개요
부분 순서 집합은 반사적이고 추이적이며 반대칭적인 이항 관계를 가진 집합이다. 부분 순서 집합은 완전 관계를 추가로 만족하면 전순서 집합이 된다. 부분 순서 집합은 순서 보존 함수, 극대/극소 원소, 상계/하계 등의 개념을 가지며, 연산으로는 반대 순서 집합, 선형합, 직접곱, 사전식 순서 등이 있다. 부분 순서의 수는 집합의 크기에 따라 결정되며, 컴퓨터 과학에서 위상 정렬과 같은 알고리즘에 활용된다.
더 읽어볼만한 페이지
- 관계 (수학) - 이항 관계
이항 관계는 순서쌍을 원소로 가지는 집합으로, 두 원소 간의 관계를 정의하며, 집합 X와 Y의 데카르트 곱의 부분집합으로 표현되고, 다양한 연산과 성질을 가지며 여러 분야에서 활용된다. - 관계 (수학) - 동치 관계
동치 관계는 집합의 원소들 사이에서 반사성, 대칭성, 추이성을 만족하는 이항 관계로서, 집합을 겹치지 않는 부분집합인 동치류로 분할하여 몫집합 개념으로 이어지며 수학의 다양한 분야에서 활용된다. - 순서론 - 스콧 위상
스콧 위상은 부분 순서 집합 위에 정의되는 위상으로, 하향 집합과 directed set의 상한에 대해 닫혀있는 집합을 닫힌 집합으로 정의하며, 컴퓨터 과학, 특히 프로그램 의미론에서 연속 함수의 개념을 일반화하고 프로그램의 계산 과정을 모델링하는 데 사용된다. - 순서론 - 사전식 순서
사전식 순서는 정렬된 집합의 순서를 일반화하여 곱집합의 순서를 정의하는 데 사용되며, 단어 순서 정렬 방식과 유사하게 다양한 분야에 응용되는 수학적 개념이다.
| 부분 순서 집합 |
|---|
2. 정의
'부분 순서'라는 용어는 보통 반사적 부분 순서 관계를 가리킨다.[9] 그러나 일부 저자들은 비반사적 부분 순서 관계를 부분 순서라고 부르기도 한다.[1] 엄격 부분 순서와 비엄격 부분 순서는 일대일 대응되므로, 각 엄격 부분 순서에 대응하는 고유한 비엄격 부분 순서가 존재하며 그 반대도 성립한다.
비엄격 부분 순서(반사적 부분 순서)는 집합 에서 정의된 동차 관계 ≤이며, 다음 성질을 만족한다.[1]
- 반사성: 모든 에 대해, 이다.
- 반대칭성: 이고 이면, 이다.
- 추이성: 이고 이면, 이다.
엄격 부분 순서(비반사적 부분 순서)는 집합 에 대한 동차 관계 이며, 다음 조건을 만족한다.[9]
- 추이성: 이고 이면 이다.
- 비반사성: 모든 에 대해, 가 아니다.
- 비대칭성: 이면, 가 아니다.
추이 관계는 비대칭적인 경우에만 비반사적이므로,[2] 정의에서 비반사성이나 비대칭성 중 하나를 생략해도 동일하다.
집합 와 부분 순서 관계 가 주어지면, , , , 네 가지 부분 순서 관계를 정의할 수 있다.[3] 여기서 는 의 비반사적 핵이고, 는 의 이중 관계이며, 는 의 이중 관계이다.
'순서 집합'이라는 용어는 문맥상 다른 종류의 순서가 아니라는 것이 명확한 경우 '부분 순서 집합'의 줄임말로 사용된다.[3]
2. 1. 순서론적 정의
집합 위의 '''(반사/비절대/비순) 부분 순서'''는 다음 세 조건을 만족시키는 이항 관계 이다.[1]- (반사 관계) 임의의 에 대하여,
- (추이적 관계) 임의의 에 대하여, 라면
- (반대칭 관계) 임의의 에 대하여, 라면
'''부분 순서 집합''' 은 부분 순서를 갖춘 집합이다. 부분 순서 집합이 다음 조건을 추가로 만족시키면, '''전순서 집합'''이라고 한다.[1]
- (완전 관계) 임의의 에 대하여, 이거나
집합 위의 '''비반사/절대/순 부분 순서'''는 다음 두 조건을 만족시키는 이항 관계 이다.[1]
- (비반사 관계) 임의의 에 대하여,
- (추이적 관계) 임의의 에 대하여,
두 조건으로부터 추가로 다음과 같은 성질을 유도할 수 있다.[16]
- (비대칭 관계) 임의의
x,y\in X 에 대하여,x 라면 y\not
'''부분 순서 집합'''
- (삼분성) 임의의
x,y,z\in X 에 대하여,x 이거나, x=y 이거나,y
반사 관계를 통한 정의와 비반사 관계를 통한 정의는 서로 동치이다. 구체적으로, 반사 부분 순서
:
는 비반사 부분 순서를 이룬다. 반대로, 비반사 부분 순서
:
는 반사 부분 순서이다. 또한, 두 방향의 대응 관계는 서로의 역이며, 따라서 주어진 집합 위 반사 부분 순서와 비반사 부분 순서 사이의 일대일 대응을 이룬다.[1]
부분 순서 집합
2. 2. 범주론적 정의
범주론에서, 원순서 집합은 작은 얇은 범주와 동치이다. 부분 순서 집합은 뼈대 범주인 작은 얇은 범주이다. 즉, 서로 다른 두 대상은 동형이 아니다.구체적으로, 임의의 원순서 집합
(X,\le) 의 대상은X 의 원소이다.(X,\le) 의 사상은 다음과 같다. 만약x\le y 라면, 유일한 사상x\to y 이 존재한다. 만약x\nleq y 라면, 사상x\to y 은 존재하지 않는다.
모든 포셋(그리고 모든 전순서 집합)은 대상
포셋들은 그들이 동형일 경우에만 서로 동치이다. 포셋에서, 만약 존재한다면 가장 작은 원소는 초기 대상이고, 가장 큰 원소는 종료 대상이다. 또한, 모든 전순서 집합은 포셋과 동치이다. 마지막으로, 포셋의 모든 부분 범주는 동형에 닫혀있다.
2. 3. 위상수학적 정의
위상수학에서, 원순서 집합의 개념은 알렉산드로프 공간의 개념과 동치이다. 이 경우, 원순서 집합(X,\le) 는 부분 순서 집합이다.(X,\le) 에 대응하는 알렉산드로프 공간은 콜모고로프 공간이다.
따라서, 부분 순서 집합의 개념은 콜모고로프 공간인 알렉산드로프 공간의 개념과 동치이다. 사실, 서로 수반 함자를 이루는 두 함자
:
를 얻는다. 또한,
부분 순서 집합에 위상 공간의 구조가 주어진 경우,
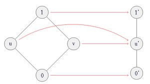
3. 순서 보존 함수
두 부분 순서 집합
- 임의의
x,y\in X 에 대하여,x\le y 라면f(x)\le f(y)
또한,
- 임의의
x,y\in X 에 대하여,f(x)\le f(y) 라면x\le y
또한, 순서 보존 순서 반사 함수를 '''순서 매입'''(order-embedding영어)라고 하며, 전사 순서 매입을 '''순서 동형'''(order isomorphism영어)라고 한다.[3]

예를 들어, 자연수 집합(약수 관계에 의한 부분 순서)에서 그 멱집합(포함 관계에 의한 부분 순서)으로 가는 함수
4. 극값
부분 순서 집합에는 최대·최소, 극대·극소, 상계·하계의 개념이 존재한다.[1]
- '''최대 원소와 최소 원소''': 모든 원소보다 크거나 같은 원소를 최대 원소, 모든 원소보다 작거나 같은 원소를 최소 원소라고 한다. 부분 순서 집합은 최대 원소와 최소 원소를 각각 많아야 하나씩 가질 수 있다.
- '''극대 원소와 극소 원소''': 어떤 원소보다도 큰 원소가 없을 때, 그 원소를 극대 원소라고 한다. 어떤 원소보다도 작은 원소가 없을 때, 그 원소를 극소 원소라고 한다. 최대 원소가 존재하면 유일한 극대 원소가 되지만, 그렇지 않은 경우 극대 원소는 여러 개 있을 수 있다. 극소 원소와 최소 원소의 관계도 마찬가지이다.
- '''상계와 하계''': 부분 집합의 모든 원소보다 크거나 같은 원소를 상계, 모든 원소보다 작거나 같은 원소를 하계라고 한다. 상계와 하계는 그 부분 집합에 속하지 않을 수 있다.
예를 들어 양의 정수 집합에서 약수 관계를 생각하면, 1은 최소 원소이다. 최대 원소는 존재하지 않는다. 여기에 0을 추가하면 0이 최대 원소가 된다. 1보다 큰 정수만 생각하면 최소 원소가 없어지고, 모든 소수가 극소 원소가 된다. 집합
4. 1. 최대 원소와 최소 원소
모든예를 들어 양의 정수 집합과 약수 관계로 이루어진 부분 순서 집합
4. 2. 극대 원소와 극소 원소
- 극대 원소:
a > M 인a\in P 가 존재하지 않는M\in P 를P 의 극대 원소라고 한다. - 극소 원소:
a < m 인a\in P 가 존재하지 않는m\in P 를P 의 극소 원소라고 한다.
최대 원소가 존재하면 그 원소가 유일한 극대 원소가 된다. 그렇지 않은 경우 극대 원소는 여러 개 있을 수 있다. 극소 원소와 최소 원소 사이에도 비슷한 관계가 성립한다.
예를 들어 양의 정수 집합에서 약수 관계를 생각했을 때, 1은 최소 원소이다. 최대 원소와 극대 원소는 존재하지 않는다. 여기에 0을 추가하면, 0은 최대 원소가 된다. 1보다 큰 정수만 생각하면, 최소 원소가 없어지며, 모든 소수가 극소 원소가 된다.
4. 3. 상계와 하계
부분 순서 집합예를 들어, 양의 정수 집합과 약수 관계로 이루어진 부분 순서 집합
양의 정수를 약수 관계에 따라 정렬하면, 1은 다른 모든 원소를 나누는 가장 작은 원소이다. 이 부분 순서 집합은 가장 큰 원소를 가지지 않는다. 극대 원소도 없는데, 임의의 ''g''는 2''g''를 나누고, 이는 ''g''와 다르므로 ''g''는 극대가 아니다. 숫자 1을 제외하고 1보다 큰 원소에서 약수 관계를 유지하면, 결과는 가장 작은 원소가 없지만, 임의의 소수는 극소 원소이다. 이 부분 순서 집합에서 60은 부분 집합
5. 연산
부분 순서 집합에는 다음과 같은 연산들을 정의할 수 있다.
- 반대 순서 집합: 부분 순서 집합
(X, \le) 이 주어졌을 때,X 위에x \ge y \iff y \le x \qquad (x, y \in X) 와 같이 정의된 새로운 부분 순서\ge 를(X, \le) 의 반대 순서 집합이라고 한다. - 선형합: 전순서 집합
(\{(X_i,\le_i)\}_{i\in I},\le) 이 주어졌을 때, 분리 합집합\textstyle\sqcup_{i\in I}X_i 위에x\le y\iff i 와 같이 정의된 부분 순서 \le 를 선형합이라고 한다. - 직접곱: 부분 순서 집합의 족
\{(X_i,\le_i)\}_{i\in I} 이 주어졌을 때, 곱집합\textstyle\prod_{i\in I}X_i 위에(x_i)_{i\in I}\le(y_i)_{i\in I}\iff\forall i\in I\colon x_i\le y_i\qquad(x_i,y_i\in X_i) 와 같이 정의된 부분 순서\le 를\{(X_i,\le_i)\}_{i\in I} 의 직접곱이라고 한다. - 절대 부분 순서의 직접곱의 반사 폐포: 절대 부분 순서의 직접곱에 대응하는 부분 순서는
(x_i)_{i\in I}\le(y_i)_{i\in I}\iff(x_i)_{i\in I}=(y_i)_{i\in I}\lor\forall i\in I\colon x_i 와 같다. - 사전식 순서: 부분 순서 집합의 정렬 집합
(\{(X_i,\le_i)\}_{i\in I},\le) 이 주어졌을 때, 곱집합\textstyle\prod_{i\in I}X_i 위에(x_i)_{i\in I}\le(y_i)_{i\in I}\iff(x_i)_{i\in I}=(y_i)_{i\in I}\lor x_{\min\{i\colon x_i\ne y_i\}} 와 같이 정의된 이항 관계 \le 를 사전식 순서라고 한다.
5. 1. 반대 순서 집합
부분 순서 집합:
이 경우,
부분 순서 관계
부분 순서
5. 2. 선형합
부분 순서 집합의 전순서 집합:
이를 '''선형합'''(linear sum영어)이라고 한다.
두 (상호소외적인) 부분 순서 집합을 결합하는 또 다른 방법은 '''순서 합'''[11] (또는 '''선형 합''')이다. 이는 기본 집합 ''X''와 ''Y''의 합집합에서 다음 순서로 정의된다. ''a'' ≤''Z'' ''b''는 다음의 경우에만 성립한다.
- ''a'', ''b'' ∈ ''X''이며 ''a'' ≤''X'' ''b'', 또는
- ''a'', ''b'' ∈ ''Y''이며 ''a'' ≤''Y'' ''b'', 또는
- ''a'' ∈ ''X''이고 ''b'' ∈ ''Y''.
두 부분 순서 집합이 전순서 집합이면, 그들의 순서 합도 전순서 집합이다.[12]
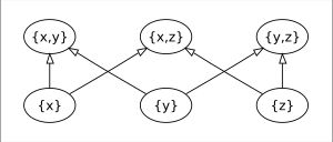
5. 3. 직접곱
부분 순서 집합의 족:
이 경우,
강도가 증가하는 순서, 즉 쌍의 집합이 감소하는 순서로, 두 개의 부분 순서 집합의 데카르트 곱에 대한 가능한 부분 순서 중 3개는 다음과 같다(그림 4 참조).
- 사전식 순서: (''a'', ''b'') ≤ (''c'', ''d'')는 ''a'' < ''c'' 이거나 (''a'' = ''c'' 및 ''b'' ≤ ''d'')인 경우이다.
- 곱 순서: (''a'', ''b'') ≤ (''c'', ''d'')는 ''a'' ≤ ''c''이고 ''b'' ≤ ''d''인 경우이다.
- 해당되는 엄격한 순서의 직접 곱의 반사적 폐포: (''a'', ''b'') ≤ (''c'', ''d'')는 (''a'' < ''c'' 및 ''b'' < ''d'')이거나 (''a'' = ''c'' 및 ''b'' = ''d'')인 경우이다.
세 가지 모두 두 개 이상의 집합의 데카르트 곱에 대해 유사하게 정의할 수 있다.
동일한 체에 대한 순서 벡터 공간에 적용하면 각 경우에도 순서 벡터 공간이 된다.
5. 4. 절대 부분 순서의 직접곱의 반사 폐포
절대 부분 순서의 직접곱에 대응하는 부분 순서는 다음과 같다.:
5. 5. 사전식 순서
부분 순서 집합의 정렬 집합:
이를 '''사전식 순서'''라고 한다.
강도가 증가하는 순서(쌍의 집합이 감소하는 순서)로, 두 개의 부분 순서 집합의 데카르트 곱에 대한 가능한 부분 순서 중 3개는 다음과 같다(그림 4 참조).
- 사전식 순서: (''a'', ''b'') ≤ (''c'', ''d'')는 ''a'' < ''c'' 이거나 (''a'' = ''c'' 이고 ''b'' ≤ ''d'')인 경우이다.
- 곱 순서: (''a'', ''b'') ≤ (''c'', ''d'')는 ''a'' ≤ ''c''이고 ''b'' ≤ ''d''인 경우이다.
- 해당하는 엄격한 순서의 직접 곱의 반사적 폐포: (''a'', ''b'') ≤ (''c'', ''d'')는 (''a'' < ''c'' 이고 ''b'' < ''d'')이거나 (''a'' = ''c'' 이고 ''b'' = ''d'')인 경우이다.
세 가지 모두 두 개 이상의 집합의 데카르트 곱에 대해 유사하게 정의할 수 있다.
동일한 체에 대한 순서 벡터 공간에 적용하면 각 경우에도 순서 벡터 공간이 된다.
전순서 집합의 데카르트 곱에 대한 순서도 참조.
6. 성질
(주어진 원본 소스, 요약, 하위 섹션 내용이 모두 비어 있으므로, 작성할 내용이 없습니다.)
6. 1. 부분 순서의 수
크기| 0 | 1 | 2 | 3 | 4 | 5 | 6 | ... | |
|---|---|---|---|---|---|---|---|---|
| 부분 순서의 수 | 1 | 1 | 3 | 19 | 219 | 4231 | 130023 | ... |
| 0 | 1 | 2 | 3 | 4 | 5 | 6 | 7 | 8 | 9 | 10 | ... | |
|---|---|---|---|---|---|---|---|---|---|---|---|---|
| 동형류의 수 | 1 | 1 | 2 | 5 | 16 | 63 | 318 | 2045 | 16999 | 183231 | 2567284 | ... |
엄격한 부분 순서의 개수는 부분 순서의 개수와 같다.
7. 예
- 모든 전순서는 부분 순서이다. 예를 들어, 자연수, 정수, 유리수, 실수 집합 위의 표준적인 순서는 전순서이므로 부분 순서이다.
- 집합
S 의 멱집합 위의 포함 관계는 부분 순서이며,S 가 두 개 이상의 원소를 갖는다면 이는 전순서가 아니다. - 군의 부분군들의 집합
- 벡터 공간의 부분 벡터 공간들의 집합
- 환의 아이디얼들의 집합
- 그래프의 부합들의 집합
- 부분수열에 의한 관계는 특정한 집합 위에서 부분 순서이다.
- 양의 정수의 집합 위의 약수 관계는 부분 순서이다.
- 비순환 유향그래프의 꼭짓점들의 집합은 도달가능성에 의한 부분 순서를 가진다.
- 부분 순서 집합의 수열 공간에 정의된 성분별 순서는 부분 순서이다.
8. 응용
컴퓨터 과학에서 위상 정렬은 방향 비순환 그래프의 도달성 순서로 표현되는 부분 순서의 선형 확장을 구하는 알고리즘이다.[13]
참조
[1]
서적
Mathematical Tools for Data Mining: Set Theory, Partial Orders, Combinatorics
Springer
[2]
간행물
Transitive Closures of Binary Relations I
http://dml.cz/dmlcz/[...]
School of Mathematics – Physics Charles University
[3]
서적
Logic and Proof
https://leanprover.g[...]
2021-03-29
[4]
웹사이트
Lectures slides
http://www.eecs.umic[...]
2002-03-07
[5]
서적
A Spiral Workbook for Discrete Mathematics
https://math.librete[...]
2018-04-25
[6]
웹사이트
Finite posets
http://match.stanfor[...]
[7]
tech report
On Poset Merging
https://www.math.lsu[...]
[8]
conference
Making proofs in a hierarchy of mathematical structures
https://hal.science/[...]
Aracne
2003-09-11
[9]
서적
A Beginner's Guide to Discrete Mathematics
https://books.google[...]
Springer Science & Business Media
2013-03-14
[10]
서적
Topological Methods in Chemistry
https://archive.org/[...]
John Wiley & Sons
[11]
citation
Basic Posets
World Scientific
[12]
서적
Naive Set Theory
https://archive.org/[...]
Springer
[13]
서적
The Axiom of Choice
"[[Dover Publications]]"
[14]
간행물
Partially Ordered Topological Spaces
[15]
서적
Topological Methods in Chemistry
http://www.wiley.com[...]
John Wiley & Sons
[16]
서적
Transitive Closures of Binary Relations I
http://www.karlin.mf[...]
School of Mathematics - Physics Charles University
2013-08-20
본 사이트는 AI가 위키백과와 뉴스 기사,정부 간행물,학술 논문등을 바탕으로 정보를 가공하여 제공하는 백과사전형 서비스입니다.
모든 문서는 AI에 의해 자동 생성되며, CC BY-SA 4.0 라이선스에 따라 이용할 수 있습니다.
하지만, 위키백과나 뉴스 기사 자체에 오류, 부정확한 정보, 또는 가짜 뉴스가 포함될 수 있으며, AI는 이러한 내용을 완벽하게 걸러내지 못할 수 있습니다.
따라서 제공되는 정보에 일부 오류나 편향이 있을 수 있으므로, 중요한 정보는 반드시 다른 출처를 통해 교차 검증하시기 바랍니다.
문의하기 : help@durumis.com