에이코사펜타엔산
"오늘의AI위키"의 AI를 통해 더욱 풍부하고 폭넓은 지식 경험을 누리세요.
1. 개요
에이코사펜타엔산(EPA)은 등푸른 생선, 생선기름, 조류 등에서 얻을 수 있는 오메가-3 지방산의 일종이다. 인체는 α-리놀렌산을 EPA로 전환할 수 있지만 효율이 낮으며, EPA는 트리글리세라이드 수치를 낮추는 데 효과적이나, DHA와 달리 LDL 콜레스테롤 수치를 높이지 않는다. EPA는 자폐 스펙트럼과 우울증 치료에 대한 연구가 진행 중이며, 의약품 및 건강기능식품 형태로 섭취할 수 있다. EPA는 혈액 응고 개선, LDL 콜레스테롤 및 중성 지방 감소 등 다양한 효능이 연구되고 있으며, 관상 동맥 질환 예방에도 기여하는 것으로 보고되었다.
에이코사펜타엔산(EPA)의 주요 공급원은 식품이다. "에파데일 S"(모치다 제약) 및 그 제네릭 의약품은 의약품으로 분류되며 식품은 아니다.
2. 공급원
2. 1. 식품
에이코사펜타엔산(EPA)은 등푸른생선이나 생선기름(대구 간, 청어, 고등어, 연어, 정어리 및 다양한 종류의 식용 조류)과 모유를 통해 섭취할 수 있다.
어류는 영양소에서 발견되는 지방산 전구체로부터 에이코사펜타엔산을 합성하거나[57] 먹이로 섭취하는 조류로부터 에이코사펜타엔산을 얻는다.[58] 사람은 모노두스 수브테라네우스(''Monodus subterraneus''), 클로렐라 미누티시마(''Chlorella minutissima''), 파에오닥틸룸 트리코르누툼(''Phaeodactylum tricornutum'')[59]과 같은 미세조류를 통해서도 얻을 수 있다.[60] 쇠비름에 미량으로 존재한다고 보고되었으며,[61] 2013년에 유전자 변형된 카멜리나가 상당한 양의 에이코사펜타엔산을 생산하는 것으로 보고되었다.[62][63]
인체는 흡수된 α-리놀렌산의 일부를 에이코사펜타엔산으로 전환한다. α-리놀렌산 자체는 필수 지방산이며, 적절한 공급이 보장되어야 한다. 그러나 α-리놀렌산을 에이코사펜타엔산으로 전환하는 효율은 에이코사펜타엔산을 포함하는 식품으로부터 에이코사펜타엔산을 흡수하는 효율보다 훨씬 낮다. 에이코사펜타엔산은 도코사헥사엔산(DHA)의 전구체이기 때문에 에이코사펜타엔산과 도코사헥사엔산을 포함하지 않는 식단에서 충분한 수준의 에이코사펜타엔산을 확보하는 것은 어렵다. 당뇨병이나 특정 알레르기와 같은 의학적 상태는 α-리놀렌산으로부터 에이코사펜타엔산으로 대사하는 인체의 능력을 크게 제한할 수도 있다.
EPA(에이코사펜타엔산)는 어유 식품, 간유, 청어, 고등어, 연어, 정어리, 남극 크릴 및 모유에서 얻을 수 있다. EPA는 마이크로 알게(microalgae, 미세 조류)에 존재하며 상업적으로 개발되고 있다[49]. EPA는 보통 고등 식물에서는 발견되지 않지만, 쇠비름에서 미량 확인되었다[50].
상업적으로는 "이마크"(일본 수산)와 "에파데일 T"(다이쇼 제약)가 건강 식품·스위치 OTC로 출시되어 있다.
들깨 기름, 아마씨 기름 등에는 EPA가 아닌 α-리놀렌산이 함유되어 있다. α-리놀렌산은 섭취 후 체내에서 EPA로 변환된다. 어유가 EPA 제제에 사용되고 있지만, 어류는 EPA를 체내에서 합성할 수 없으며, 어유의 EPA도 원래 식물 플랑크톤 유래이다.
2. 2. 기타 공급원
등푸른생선이나 생선기름(예: 대구 간, 청어, 고등어, 연어, 정어리 및 다양한 종류의 식용 조류)을 섭취하여 에이코사펜타엔산(EPA)을 얻을 수 있다.[57] 에이코사펜타엔산은 사람의 모유에서도 발견된다.
어류는 먹이로 섭취하는 조류로부터 에이코사펜타엔산을 얻는다.[58] 사람은 모노두스 수브테라네우스(''Monodus subterraneus''), 클로렐라 미누티시마(''Chlorella minutissima''), 파에오닥틸룸 트리코르누툼(''Phaeodactylum tricornutum'')[59]과 같은 미세조류를 포함한 몇몇 비동물성 공급원으로부터 에이코사펜타엔산을 얻기도 한다.[60] 에이코사펜타엔산은 일반적으로 고등 식물에서는 발견되지 않지만, 쇠비름에는 미량으로 존재한다고 보고되었다.[61] 2013년에는 유전자 변형된 카멜리나가 상당한 양의 에이코사펜타엔산을 생산하는 것으로 보고되었다.[62][63]
들깨 기름, 아마씨 기름 등에는 α-리놀렌산이 함유되어 있다. α-리놀렌산은 섭취 후 체내에서 EPA로 변환된다. 어류는 EPA를 체내에서 합성할 수 없으며, 어유의 EPA도 원래 식물 플랑크톤 유래이다.
3. 생합성

에이코사펜타엔산(EPA)은 프로스타글란딘, 트롬복산-3, 류코트리엔-5 (모두 에이코사노이드)의 전구체인 ω-3 지방산의 다중 불포화 지방산 중 하나이다. ω3 계열은 ω6 계열과 마찬가지로 류코트리엔과 같은 생리 활성 물질로 전환되지만, ω6 계열을 재료로 한 것에 비해 생리 활성이 낮거나 없다는 특징이 있다. 생리 활성이 낮다는 이유로 과거에는 식용 유지에서 불필요한 것으로 제거되기도 했다. 그러나 생리 활성이 강한 ω6 계열과 경쟁함으로써 면역, 응고 반응, 염증 등에서 과도한 반응을 억제한다는 것이 밝혀졌다. ω6 계열의 브레이크 역할이라고 할 수 있다. EPA는 혈소판 응집 억제 작용이 있는 것으로 알려져 있지만, 과다 섭취는 출혈 경향을 나타낼 수 있다.[32]
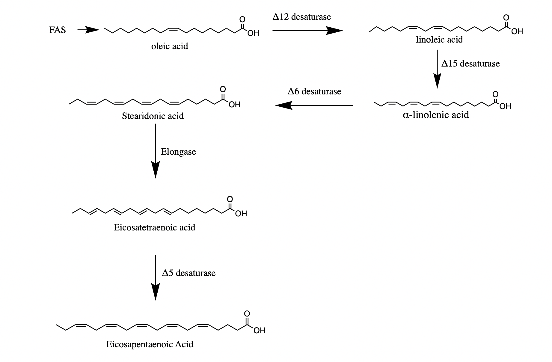
인간을 포함한 후생동물은 ω6 및 ω3 불포화 지방산을 합성할 수 없어, Δ12-지방산 데사츄라제 경로가 결실된 것으로 추측된다. 따라서 식물·세균에 의해 합성된 α-리놀렌산을 섭취하여 Δ6-지방산 데사츄라제에 의해 α-리놀렌산(ALA)의 Δ6 위치에 불포화 결합을 생성하고, 엘론게이즈에 의해 탄소 2개를 신장시켜 20:4(n-3)의 에이코사테트라엔산을 생성한 다음 Δ5-지방산 데사츄라제에 의해 불포화 결합을 늘려 체내에서 EPA를 합성하거나 EPA를 섭취해야 한다. 따라서 넓은 의미에서 후생동물에게 EPA는 ω-3 지방산의 필수 지방산이 된다.
많은 동물은 체내에서 α-리놀렌산을 원료로 EPA나 도코사헥사엔산(DHA)을 생산할 수 있지만, α-리놀렌산에서 EPA나 DHA로 전환되는 비율은 10%–15% 정도이다.[33]
EPA는 호기성 진핵생물 경로와 폴리케타이드 생성효소(PKS) 경로를 통해 생합성된다.
3. 1. 호기성 진핵생물 경로
호기성 진핵생물, 특히 미세조류, 이끼, 균류 및 대부분의 동물(인간 포함)은 일반적으로 일련의 탈포화 및 신장 반응을 통해 EPA를 생합성하며, 이는 탈포화 효소와 신장 효소 효소의 순차적인 작용에 의해 촉매된다. 이 경로는 원래 ''Thraustochytrium''에서 확인되었으며, 다음 순서로 진행된다.[18]
# 알파-리놀렌산의 6번 탄소에서 Δ6 탈포화 효소에 의한 탈포화를 통해 스테아리돈산 (SDA, 18:4 ω-3) 생성.
# 스테아리돈산을 Δ6 신장 효소에 의해 신장시켜 에이코사테트라엔산 (ETA, 20:4 ω-3) 생성.
# 에이코사테트라엔산의 5번 탄소에서 Δ5 탈포화 효소에 의한 탈포화를 통해 에이코사펜타엔산 (EPA, 20:5 ω-3) 생성.
3. 2. 폴리케타이드 생성효소(PKS) 경로
해양 세균과 미세 조류인 ''Schizochytrium''은 혐기성 폴리케타이드 생성효소(PKS) 경로를 사용하여 DHA를 합성한다.[18] PKS 경로는 3-케토아실 신타제(KS), 2-케토아실-ACP-환원효소(KR), 탈수소효소(DH), 에노일 환원효소(ER), 탈수소효소/2-트랜스 3-시스 이성질화효소(DH/2,3I), 탈수소효소/2-트랜스 및 2-시스 이성질화효소(DH/2,2I)의 6가지 효소를 포함한다. EPA의 생합성은 해양 종에 따라 다르지만, 대부분의 해양 종이 C18 PUFA를 LC-PUFA로 전환하는 능력은 지방 아실 불포화 효소와 신장 효소에 달려있다. 효소의 분자적 기초는 생성된 분자에서 이중 결합이 형성되는 위치를 결정한다.[19]
''Shewanella''(해양 세균)에서 제안된 EPA의 폴리케타이드 합성 경로는 아세틸-CoA와 말로닐-CoA를 구성 단위로 사용하는 환원, 탈수소화 및 축합의 반복적인 반응이다. α-리놀렌산에서 EPA로의 메커니즘은 KS에 의해 말로닐-CoA가 기존의 α-리놀렌산에 축합되는 것을 포함한다. 생성된 구조는 NADPH 의존적 환원효소인 KR에 의해 변환되어 DH 효소에 의해 탈수화되는 중간체를 형성한다. 마지막 단계는 ER 효소 활성을 통해 trans-2-에노일-ACP에서 이중 결합의 NADPH 의존적 환원이다. 이 과정이 반복되어 EPA를 형성한다.[20]
4. 임상적 중요성
에이코사펜타엔산(EPA)은 염증 완화와 관련하여 여러 의학적 상태의 치료제로 연구되거나 사용된다.[64] 고용량(2.0~4.0g/일) 오메가-3 지방산 섭취는 트라이글리세라이드 수치를 낮추는 데 효과적이다. EPA와 도코사헥사엔산(DHA)는 트라이글리세라이드 수치를 낮추지만, DHA는 저밀도 지질단백질(LDL, "나쁜 콜레스테롤") 수치를 높이는 반면 EPA는 그렇지 않다.
EPA는 자폐 스펙트럼 및 우울증 치료에도 연구되었으나, 잘 통제된 연구에서는 뚜렷한 효과를 입증하지 못했다.[66][67] EPA 및 DHA 에틸 에스터는 공복이나 저지방 식사와 함께 섭취하면 흡수가 잘 되지 않는다.[65]
EPA는 관상 동맥 질환 예방에 효과가 있다는 대규모 임상 시험 결과가 보고되었다.[37] HDL 산화 억제 및 기능 부전 HDL을 기능성 HDL로 변환하는 기능도 있다.[38][39]
1970년대 덴마크 연구에서는 이누이트족의 심근 경색 사망률이 낮은 이유가 EPA가 풍부한 식생활과 관련 있다고 보고했다.[40]
의약품으로는 폐쇄성 동맥경화증, 고지혈증 치료제로 사용되며, '''에파데일''', '''이코사펜타엔산 에틸''' 등의 상품명으로 판매된다. EPA와 DHA 합제인 '''로트리가'''도 있다. 건강 식품에도 영양 보충제로 사용된다.
4. 1. 건강 효능
미국 국립보건원의 메드라인 플러스(MedlinePlus)는 에이코사펜타엔산(단독 또는 다른 오메가-3 지방산 공급원들과 함께)이 효과적인 치료제로 알려져 있거나 생각되는 의학적 상태들을 나열하고 있다.[64] 이들 중 거의 대부분은 염증을 완화시키는 에이코사펜타엔산의 능력과 관련이 있다.처방약 또는 식이 보충제로 고용량(2.0~4.0 g/일)의 긴사슬 오메가-3 지방산 섭취는 일반적으로 트라이글리세라이드를 유의미하게(>15%) 낮추기 위해 요구되며, 그 용량에서 효과는 상당할 수 있다(20%~30%까지, 심지어 500 mg/dL 이상의 수치를 가진 사람에서도 최대 45%까지).
에이코사펜타엔산과 도코사헥사엔산은 트라이글리세라이드 수치를 낮추는 것으로 보이지만, 도코사헥사엔산은 저밀도 지질단백질(죽상경화증을 유발하는 변이체, 때로는 모호하게 "나쁜 콜레스테롤"로 불림)과 LDL-C 값(기술 및 비용상의 이유로 사람의 혈액 샘플에서 실험적으로 측정하지 않고, 계산된 추정치를 사용)을 높이는 반면, 에이코사펜타엔산은 그렇지 않다.
에이코사펜타엔산 및 도코사헥사엔산 에틸 에스터(모든 형태)는 흡수가 잘 되지 않아서 공복이나 저지방 식사를 할 때 효과가 떨어진다.[65]
오메가-3 지방산, 특히 에이코사펜타엔산은 자폐 스펙트럼에 미치는 영향에 대해 연구되어 왔다. 어떤 사람들은 오메가-3 지방산의 수치가 자폐증을 앓는 어린이들에게서 낮을 수 있기 때문에 오메가-3 지방산의 보충이 증상의 개선으로 이어질 수 있다고 주장한다. 일부 제한되지 않은 연구에서는 개선되었다고 보고된 반면, 잘 제한된 연구에서는 고용량의 오메가-3 지방산 보충 결과로 통계적으로 유의미한 증상 개선을 보여주지 못했다.[66][67]
또한, 연구에 따르면 오메가-3 지방산은 우울증 치료에 유용할 수 있다.[66]
EPA와 DHA를 함유한 건강 보조 식품은 용량 의존적으로 트리글리세리드를 낮추지만, DHA는 저밀도 지단백질(죽상 경화증을 유발하는 변종, 때로는 부정확하게 "나쁜 콜레스테롤"이라고 함)과 LDL-C 수치(LDL 입자 내 콜레스테롤 질량을 측정/추정)를 증가시키는 것으로 보이며, EPA는 그렇지 않다. 이러한 효과는 EPA와 DHA가 고용량 오메가-3 보충제의 일부였던 수백 건의 개별 임상 시험을 결합한 여러 메타 분석에서 확인되었지만, EPA와 DHA를 개별적으로 투여했을 때 차이가 명확하게 나타난다.[22][23] 예를 들어, 터프츠 의과대학의 Schaefer와 동료들의 연구에서 환자들은 DHA 단독 600mg/일, EPA 단독 600mg 또는 1800mg/일 또는 위약을 6주 동안 투여받았다. DHA 그룹은 트리글리세리드가 20% 감소하고 LDL-C가 18% 증가했지만, EPA 그룹에서는 트리글리세리드의 완만한 감소가 통계적으로 유의미하지 않은 것으로 간주되었고, 두 용량 모두에서 LDL-C 수치의 변화가 발견되지 않았다.[24]
일반 소비자는 흔히 지방이 많은 생선, 어유 건강 보조 식품, 그리고 덜 흔하게 조류 오일 보충제를 통해 EPA와 DHA를 얻는데, 이러한 보충제는 임상 실험보다 오메가-3 용량이 낮다. 9253명의 건강한 남녀를 10년 동안 추적한 Cooper Center Longitudinal Study는 어유 보충제를 복용한 사람들이 LDL-C 수치가 증가하지 않았다는 것을 보여주었다.[25] 실제로 LDL-C가 매우 약간 감소했는데, 이는 통계적으로 유의미했지만 임상적으로 유의미할 정도로 크지는 않았다. 이 개인들은 자신이 선택한 어유 보충제를 복용했으며, EPA와 DHA의 양과 비율은 어유의 출처에 따라 다르다는 점을 인지해야 한다.
오메가-3 지방산, 특히 EPA는 자폐 스펙트럼 장애(ASD)에 미치는 영향에 대해 연구되었다. 일부에서는 자폐증이 있는 어린이의 오메가-3 지방산 수치가 낮을 수 있으므로 보충이 증상 개선으로 이어질 수 있다고 이론화했다. 일부 통제되지 않은 연구에서 개선이 보고되었지만, 잘 통제된 연구에서는 고용량 오메가-3 보충 결과로 증상의 통계적으로 유의미한 개선이 나타나지 않았다.[26][27]
기초 연구에서 지질 대사, 혈액 응고 이상 개선이 확인되었다.[34] 1일 4g 이하의 EPA, DHA 섭취로 LDL 콜레스테롤 수치가 5%–10%, 중성 지방 수치가 25%–30% 감소했다. 고베 대학 연구에서는 1일 2700mg의 EPA를 8주간 투여하여 본태성 고혈압 환자의 수축기 혈압이 감소했다.
또한 치매 환자에게 투여하여 인지 기능 개선, 수술 전 아르기닌 등과의 병용 투여로 감염증 예방, 창상의 치유 촉진 보고가 있었지만,[35] 확실한 재현성은 인정되지 않았다.[36]
대규모 임상 시험 "JELIS"에서 EPA는 관상 동맥 질환을 유의하게 예방했다고 보고되었다.[37]
EPA는 HDL의 산화를 억제한다.[38]
또한 EPA는 기능 부전 HDL을 기능적인 HDL로 변환한다.[39]
1970년대 덴마크 본토 백인과 그린란드 섬 원주민 이누이트를 비교한 다이아베르그 등의 역학 연구에서 이누이트의 심근 경색 사망률이 현저히 낮다는 보고가 주목받았다. 극단적인 육식(바다표범 식)인 이누이트의 혈중 지질 수치가 낮은 결과와 EPA가 풍부한 식생활과의 관련성이 제시되었다. 그 후 이누이트, 이누이트(본토로 이주), 백인의 혈중 지방산 조성을 상세하게 분석한 결과, 혈액 속 EPA에 특이한 차이가 있어 심근 경색 예방에 관여한다는 결론이 내려졌다. 그 이후에도 EPA의 다양한 기능이 밝혀져 현재는 치료에도 응용되고 있다.[40][41][42]
4. 2. 의약품 및 건강기능식품
미국 국립보건원의 메드라인 플러스(MedlinePlus)는 에이코사펜타엔산(단독 또는 다른 오메가-3 지방산 공급원들과 함께)이 효과적인 치료제로 알려져 있거나 생각되는 의학적 상태들을 나열하고 있다.[64] 이들 중 거의 대부분은 염증을 완화시키는 에이코사펜타엔산의 능력과 관련이 있다.처방약 또는 식이 보충제로 고용량(2.0~4.0 g/일)의 긴사슬 오메가-3 지방산의 섭취는 일반적으로 트라이글리세라이드를 유의미하게(>15%) 낮추기 위해 요구되며, 그 용량에서 효과는 상당할 수 있다(20%~30%까지, 심지어 500 mg/dL 이상의 수치를 가진 사람에서도 최대 45%까지).
에이코사펜타엔산과 도코사헥사엔산은 트라이글리세라이드의 수치를 낮추는 것으로 보이지만, 도코사헥사엔산은 저밀도 지질단백질(죽상경화증을 유발하는 변이체, 때로는 모호하게 "나쁜 콜레스테롤"로 불림)과 LDL-C 값(기술 및 비용상의 이유로 사람의 혈액 샘플에서 실험적으로 측정하지 않고, 계산된 추정치를 사용)을 높이는 반면, 에이코사펜타엔산을 그렇지 않다.
에이코사펜타엔산 및 도코사헥사엔산 에틸 에스터(모든 형태)는 흡수가 잘 되지 않아서 공복시나 저지방 식사를 할 때 효과가 떨어진다.[65]
오메가-3 지방산, 특히 에이코사펜타엔산은 자폐 스펙트럼에 미치는 영향에 대해 연구되어 왔다. 어떤 사람들은 오메가-3 지방산의 수치가 자폐증을 앓는 어린이들에서 낮을 수 있기 때문에 오메가-3 지방산의 보충이 증상의 개선으로 이어질 수 있다고 주장한다. 일부 제한되지 않은 연구에서는 개선되었다고 보고된 반면, 잘 제한된 연구에서는 고용량의 오메가-3 지방산 보충의 결과로 통계적으로 유의미한 증상의 개선을 보여주지 못했다.[66][67]
또한, 연구에 따르면 오메가-3 지방산은 우울증 치료에 유용할 수 있다.[66]
미국 국립 보건원(National Institute of Health)의 MedlinePlus는 EPA(단독 또는 다른 ω-3 공급원과 함께)가 효과적인 치료법으로 알려져 있거나 생각되는 의학적 상태를 나열한다.[21] 이들 대부분은 염증을 낮추는 EPA의 능력과 관련이 있다.
처방약 또는 건강 보조 식품으로 장쇄 오메가-3 지방산을 고용량(하루 2.0~4.0g) 섭취하면 일반적으로 트리글리세리드를 유의미하게(> 15%) 낮출 수 있으며, 이러한 용량에서는 효과가 상당할 수 있다(20%에서 35%까지, 그리고 500mg/dL 이상인 개인의 경우 최대 45%까지).
EPA와 DHA를 함유한 건강 보조 식품은 용량 의존적으로 트리글리세리드를 낮추지만, DHA는 저밀도 지단백질(죽상 경화증을 유발하는 변종으로, 때로는 부정확하게 "나쁜 콜레스테롤"이라고 함)과 LDL-C 수치(LDL 입자 내 콜레스테롤 질량을 측정/추정)를 증가시키는 것으로 보이며, EPA는 그렇지 않다. 이러한 효과는 EPA와 DHA가 고용량 오메가-3 보충제의 일부였던 수백 건의 개별 임상 시험을 결합한 여러 메타 분석에서 확인되었지만, EPA와 DHA를 개별적으로 투여했을 때 차이가 명확하게 나타난다.[22][23] 예를 들어, 터프츠 의과대학의 Schaefer와 동료들의 연구에서 환자들은 DHA 단독 600mg/일, EPA 단독 600mg 또는 1800mg/일 또는 위약을 6주 동안 투여받았다. DHA 그룹은 트리글리세리드가 20% 감소하고 LDL-C가 18% 증가했지만, EPA 그룹에서는 트리글리세리드의 완만한 감소가 통계적으로 유의미하지 않은 것으로 간주되었고, 두 용량 모두에서 LDL-C 수치의 변화가 발견되지 않았다.[24]
일반 소비자는 흔히 지방이 많은 생선, 어유 건강 보조 식품, 그리고 덜 흔하게 조류 오일 보충제를 통해 EPA와 DHA를 얻는데, 이러한 보충제는 임상 실험보다 오메가-3 용량이 낮다. 9253명의 건강한 남녀를 10년 동안 추적한 Cooper Center Longitudinal Study는 어유 보충제를 복용한 사람들이 LDL-C 수치가 증가하지 않았다는 것을 보여주었다.[25]
오메가-3 지방산, 특히 EPA는 자폐 스펙트럼 장애(ASD)에 미치는 영향에 대해 연구되었다. 일부에서는 자폐증이 있는 어린이의 오메가-3 지방산 수치가 낮을 수 있으므로 보충이 증상 개선으로 이어질 수 있다고 이론화했다. 일부 통제되지 않은 연구에서 개선이 보고되었지만, 잘 통제된 연구에서는 고용량 오메가-3 보충의 결과로 증상의 통계적으로 유의미한 개선이 나타나지 않았다.[26][27]
또한 연구에 따르면 오메가-3 지방산은 우울증 치료에 유용할 수 있다.[28][29]
EPA 및 DHA 에틸 에스터(모든 형태)는 공복 또는 저지방 식사와 함께 섭취하면 흡수가 덜 되어 효과가 떨어진다.[30]
의약품으로는 폐쇄성 동맥경화증, 고지혈증 치료제로 사용된다. 상품명으로는 '''에파데일'''(모치다 제약 제조 판매)·'''이코사펜타엔산 에틸''' 과립 캡슐 등으로 판매되고 있다. '''로트리가'''(타케다 제약 제조 판매)는 EPA와 DHA의 합제이다. 또한 건강 식품에도 DHA와 함께 영양 보충제로 사용되고 있다.
5. 형태
상업적으로 판매되는 식이 보충제는 대부분 어유(생선 기름)에서 추출되며, 일반적으로 EPA의 트리글리세리드, 에틸 에스터 또는 인지질 형태로 제공된다. 보충제 제조업체 사이에서는 다양한 형태의 상대적인 장단점에 대한 논쟁이 있다. 조류에서 자연적으로 발견되는 한 형태인 극성 지질 형태는 에틸 에스터 또는 트리글리세리드 형태보다 향상된 생체 이용률을 보이는 것으로 나타났다.[16] 마찬가지로, 2020년 연구에서는 리소포스파티딜콜린(LPC) 형태의 DHA 또는 EPA가 트리글리세리드 및 포스파티딜콜린(PC)보다 더 효율적인 것으로 나타났다.[17]
| 기저 | EPA |
|---|---|
| 에틸 에스터 | EPA 에틸 에스터 |
| 리소포스파티딜콜린 (LPC, 또는 lysoPC) | LPC-EPA, 또는 lysoPC-EPA |
| 포스파티딜콜린 (PC) | EPA-PC |
| 인지질 (PL) | EPA-PL |
| 트리글리세리드 (TG) 또는 트리아실글리세롤 (TAG) | EPA-TG, 또는 EPA-TAG |
| 재에스테르화된 트리글리세리드 (rTG), 또는 재에스테르화된 트리아실글리세롤 (rTAG) | EPA rTG, 또는 r-TAG |
6. 연구 동향
기초 연구에서 지질 대사, 혈액 응고 이상 개선이 확인되었다.[34] EPA, DHA를 하루 4g 이하로 섭취하면 LDL 콜레스테롤 수치가 5%–10%, 중성 지방 수치가 25%–30% 감소했다. 고베 대학 연구에서는 EPA를 하루 2700mg씩 8주간 투여했을 때 본태성 고혈압 환자의 수축기 혈압이 감소했다.
치매 환자에게 EPA를 투여하여 인지 기능이 개선되고, 수술 전 아르기닌 등과 함께 투여하여 감염증을 예방하고 창상 치유를 촉진했다는 보고가 있었지만,[35] 재현성은 확실하게 인정되지 않았다.[36]
대규모 임상 시험 "JELIS"에서는 EPA가 관상 동맥 질환을 유의하게 예방했다고 보고되었다.[37]
EPA는 HDL의 산화를 억제하고,[38] 기능 부전 HDL을 기능적인 HDL로 변환한다.[39]
1970년대 다이아베르그 등이 덴마크 본토 백인과 그린란드 섬 원주민 이누이트를 비교한 역학 연구에서, 이누이트의 심근 경색 사망률이 현저히 낮다는 것이 주목받았다. 극단적인 육식(바다표범 식)을 하는 이누이트의 혈중 지질 수치가 낮은 결과와 EPA가 풍부한 식생활의 관련성이 제시되었다. 그 후 이누이트, 이누이트(본토로 이주), 백인의 혈중 지방산 조성을 상세하게 분석한 결과, 혈액 속 EPA에 특이한 차이가 있어 심근 경색 예방에 관여한다는 결론이 내려졌다. 그 이후에도 EPA의 다양한 기능이 밝혀져 현재는 치료에도 응용되고 있다.[40][41][42]
참조
[1]
논문
N-acylethanolamine signalling mediates the effect of diet on lifespan in Caenorhabditis elegans
2011-05-01
[2]
뉴스
Inuit Study Adds Twist to Omega-3 Fatty Acids' Health Story
https://www.nytimes.[...]
2015-09-17
[3]
뉴스
Fish Oil Claims Not Supported by Research
http://well.blogs.ny[...]
2015-03-30
[4]
논문
Clinical trial evidence and use of fish oil supplements
http://archinte.jama[...]
2014-03-01
[5]
논문
Cardiovascular Risk Reduction with Icosapent Ethyl for Hypertriglyceridemia
2019-01-03
[6]
뉴스
Vascepa® (icosapent ethyl) 26% Reduction in Key Secondary Composite Endpoint of Cardiovascular Death, Heart Attacks and Stroke Demonstrated in REDUCE-IT™
https://investor.ama[...]
2018-11-10
[7]
서적
Nutrient requirements of fish and shrimp
The National Academies Press
2011
[8]
웹사이트
Plant based sources of vegan & vegetarian Docosahexaenoic acid – DHA and Eicosapentaenoic acid EPA & Essential Fats
http://www.vegetaria[...]
[9]
논문
Sustainable source of omega-3 eicosapentaenoic acid from metabolically engineered Yarrowia lipolytica: from fundamental research to commercial production
2015-02-01
[10]
논문
Eicosapentaenoic acid and docosahexaenoic acid production potential of microalgae and their heterotrophic growth
1998-01-01
[11]
논문
Bioprospecting microalgae as potential sources of "Green Energy"—challenges and perspectives
2012-02-01
[12]
웹사이트
Water 4 to introduce algae DHA/EPA as food ingredient
http://www.nutraingr[...]
2007-01-12
[13]
논문
Omega-3 fatty acids in wild plants, nuts and seeds
http://apjcn.nhri.or[...]
[14]
논문
Successful high-level accumulation of fish oil omega-3 long-chain polyunsaturated fatty acids in a transgenic oilseed crop
2014-01-01
[15]
뉴스
Designed plant oozes vital fish oils
https://www.newscien[...]
2014-01-04
[16]
논문
Acute appearance of fatty acids in human plasma--a comparative study between polar-lipid rich oil from the microalgae Nannochloropsis oculata and krill oil in healthy young males
[17]
논문
Enrichment of brain docosahexaenoic acid (DHA) is highly dependent upon the molecular carrier of dietary DHA: lysophosphatidylcholine is more efficient than either phosphatidylcholine or triacylglycerol.
2019-12-01
[18]
논문
Biosynthesis of docosahexaenoic acid (DHA, 22:6-4, 7,10,13,16,19): two distinct pathways
2003-02-01
[19]
논문
Biosynthesis of Polyunsaturated Fatty Acids in Marine Invertebrates: Recent Advances in Molecular Mechanisms
2013-10-21
[20]
논문
Polyunsaturated fatty acids in marine bacteria and strategies to enhance their production
https://www.research[...]
2018-07-01
[21]
웹사이트
MedlinePlus Herbs and Supplements: Omega-3 fatty acids, fish oil, alpha-linolenic acid
https://www.nlm.nih.[...]
[22]
논문
Eicosapentaenoic acid and docosahexaenoic acid containing supplements modulate risk factors for cardiovascular disease: a meta-analysis of randomised placebo-control human clinical trials.
2018-02-01
[23]
논문
Effects of eicosapentaenoic acid and docosahexaenoic acid versus α-linolenic acid supplementation on cardiometabolic risk factors: a meta-analysis of randomized controlled trials.
2020-03-26
[24]
논문
Effects of eicosapentaenoic acid and docosahexaenoic acid on cardiovascular disease risk factors: a randomized clinical trial.
2016-11-01
[25]
논문
Increases in erythrocyte DHA are not associated with increases in LDL-cholesterol: Cooper center longitudinal study.
2021-01-01
[26]
논문
Omega-3 fatty acids for autistic spectrum disorder: a systematic review
2009-08-01
[27]
논문
A randomized, placebo controlled trial of omega-3 fatty acids in the treatment of young children with autism
2015-03-21
[28]
논문
Omega-3 fatty acids: evidence basis for treatment and future research in psychiatry
https://pubmed.ncbi.[...]
2006-12-01
[29]
웹사이트
Therapeutic Lifestyle Change. A new treatment for depression
http://tlc.ku.edu/el[...]
2015-04-28
[30]
논문
National Lipid Association Recommendations for Patient-Centered Management of Dyslipidemia: Part 2
[31]
웹사이트
Drug Bank
https://www.drugbank[...]
[32]
논문
脂肪酸の不飽和化と鎖長延長
https://doi.org/10.5[...]
[33]
논문
Omega-3多価不飽和脂肪酸の摂取とうつを中心とした精神的健康との関連性について探索的検討 : 最近の研究動向のレビューを中心に
http://id.nii.ac.jp/[...]
文教大学
[34]
뉴스
糖代謝異常の主要冠動脈イベントリスクもEPAで2割減
https://medical.nikk[...]
日経メディカル
2008-04-01
[35]
서적
サプリメント事典
平凡社
[36]
웹사이트
DHA・EPA - 疑似科学とされるものの科学性評定サイト
http://www.scienceco[...]
明治大学科学コミュニケーション研究所
2017-09-02
[37]
논문
Effects of eicosapentaenoic acid on major coronary events in hypercholesterolaemic patients (JELIS): a randomised open-label, blinded endpoint analysis
[38]
논문
Eicosapentaenoic acid inhibits oxidation of high density lipoprotein particles in a manner distinct from docosahexaenoic acid
[39]
논문
Administration of high dose eicosapentaenoic acid enhances anti-inflammatory properties of high-density lipoprotein in Japanese patients with dyslipidemia
[40]
웹사이트
DHA・EPA
http://www.scienceco[...]
[41]
웹사이트
EPAが注目された理由
http://www.mochida.c[...]
持田製薬「エパデール」
[42]
웹사이트
グリーンランド人の急性心筋梗塞の発症に関する仮説
https://www.tandfonl[...]
[43]
논문
Docosahexaenoic acid supplementation and cognitive decline in Alzheimer disease: a randomized trial
[44]
논문
Metabolic Disposition of Ethyl Eicosapentaenoate and Its Metabolites in Rats and Dogs
https://doi.org/10.1[...]
[45]
논문
ラットにおけるn-3 およびn-6 系多価不飽和脂肪酸の生理作用に関する研究
https://hdl.handle.n[...]
東北大学 農学
[46]
웹사이트
健全な神経発達の為に新生児の血液脳関門がもつ機能性脂質供給ルート解明と投与設計
http://kaken.nii.ac.[...]
[47]
웹사이트
ケトン体合成
http://www.sc.fukuok[...]
福岡大学機能生物化学研究室
2011-10-18
[48]
웹사이트
「体が若くなる技術」Q&A Q4
http://www.nms.ac.jp[...]
[49]
웹사이트
Water 4 to introduce algae DHA/EPA as food ingredient
http://www.nutraingr[...]
2007-01-12
[50]
논문
Omega-3 fatty acids in wild plants, nuts and seeds
[51]
논문
N-acylethanolamine signalling mediates the effect of diet on lifespan in Caenorhabditis elegans
2011-05-00
[52]
뉴스
Inuit Study Adds Twist to Omega-3 Fatty Acids’ Health Story
https://www.nytimes.[...]
The New York Times
2015-09-17
[53]
뉴스
Fish Oil Claims Not Supported by Research
http://well.blogs.ny[...]
The New York Times
2015-03-30
[54]
논문
Clinical trial evidence and use of fish oil supplements
http://archinte.jama[...]
2014-03-00
[55]
논문
Cardiovascular Risk Reduction with Icosapent Ethyl for Hypertriglyceridemia
2019-01-03
[56]
뉴스
VASCEPA® (ICOSAPENT ETHYL) 26% REDUCTION IN KEY SECONDARY COMPOSITE ENDPOINT OF CARDIOVASCULAR DEATH, HEART ATTACKS AND STROKE DEMONSTRATED IN REDUCE-IT
https://investor.ama[...]
2018-11-10
[57]
서적
Nutrient requirements of fish and shrimp
The National Academies Press
2011
[58]
웹사이트
Plant based sources of vegan & vegetarian Docosahexaenoic acid – DHA and Eicosapentaenoic acid EPA & Essential Fats
http://www.vegetaria[...]
[59]
논문
Eicosapentaenoic acid and docosahexaenoic acid production potential of microalgae and their heterotrophic growth
1998
[60]
웹사이트
Water 4 to introduce algae DHA/EPA as food ingredient
http://www.nutraingr[...]
2007-01-12
[61]
논문
Omega-3 fatty acids in wild plants, nuts and seeds
http://apjcn.nhri.or[...]
[62]
논문
Successful high-level accumulation of fish oil omega-3 long-chain polyunsaturated fatty acids in a transgenic oilseed crop
2014-01-00
[63]
논문
Designed plant oozes vital fish oils
https://www.newscien[...]
2014-01-04
[64]
웹사이트
MedlinePlus Herbs and Supplements: Omega-3 fatty acids, fish oil, alpha-linolenic acid
https://www.nlm.nih.[...]
[65]
논문
National Lipid Association Recommendations for Patient-Centered Management of Dyslipidemia: Part 2
[66]
논문
Omega-3 fatty acids for autistic spectrum disorder: a systematic review
2009-08-00
[67]
논문
A randomized, placebo controlled trial of omega-3 fatty acids in the treatment of young children with autism
2015-03-21
본 사이트는 AI가 위키백과와 뉴스 기사,정부 간행물,학술 논문등을 바탕으로 정보를 가공하여 제공하는 백과사전형 서비스입니다.
모든 문서는 AI에 의해 자동 생성되며, CC BY-SA 4.0 라이선스에 따라 이용할 수 있습니다.
하지만, 위키백과나 뉴스 기사 자체에 오류, 부정확한 정보, 또는 가짜 뉴스가 포함될 수 있으며, AI는 이러한 내용을 완벽하게 걸러내지 못할 수 있습니다.
따라서 제공되는 정보에 일부 오류나 편향이 있을 수 있으므로, 중요한 정보는 반드시 다른 출처를 통해 교차 검증하시기 바랍니다.
문의하기 : help@durumis.com