에스트라디올
"오늘의AI위키"의 AI를 통해 더욱 풍부하고 폭넓은 지식 경험을 누리세요.
1. 개요
에스트라디올은 에스트로겐 중 가장 강력한 생리 활성을 가지는 호르몬으로, 여성의 제2차 성징 발달을 주도하며 유방 발달, 골반 확장, 여성형 지방 분포, 질과 외음부 성숙에 영향을 미친다. 여성 생식 기관의 성장 호르몬 역할을 하며, 남성 생식에도 영향을 미친다. 뼈 건강, 피부 건강, 신경계, 심혈관계에도 영향을 미치며, 간 기능과 혈액 응고에도 관여한다. 콜레스테롤에서 유래하여 생합성되며, 폐경 증상 치료를 위한 호르몬 요법 및 트랜스젠더 여성의 여성화 호르몬 요법에 사용되는 의약품이다.
더 읽어볼만한 페이지
- 호르몬에 관한 - 코르티솔
코르티솔은 부신피질에서 생성되는 스테로이드 호르몬으로, 혈당, 면역, 대사 조절과 스트레스 반응에 관여하며, 과다 분비 시 질환을 유발하고 장기간 노출 시 해마 손상을 초래할 수 있으며, 분비량은 HPA 축에 의해 조절되고 일주기 리듬에 따라 변화한다. - 호르몬에 관한 - 콜레스테롤
콜레스테롤은 세포막 구성 성분이자 스테로이드 호르몬 및 담즙산의 전구체인 지질로, 체내에서 합성되어 리포단백질을 통해 운반되며, 혈중 수치는 심혈관 질환과 관련되어 "나쁜 콜레스테롤"과 "좋은 콜레스테롤"의 균형이 중요하다. - 시상하부-뇌하수체-프로락틴 축 호르몬 - 도파민
도파민은 1910년 합성된 모노아민 신경전달물질로, 보상, 행동, 인지, 운동, 수면 등 다양한 기능에 관여하며, 뇌의 여러 경로에서 작용하고 파킨슨병, 조현병, 저혈압 등 다양한 질병 치료에 사용되기도 한다. - 시상하부-뇌하수체-프로락틴 축 호르몬 - 프로게스토겐
프로게스토겐은 프로게스테론과 유사한 작용을 하는 스테로이드 호르몬의 총칭으로, 여성의 생식 기능 조절 및 남성의 생식 기능에도 관여하며 의학적으로 다양한 치료에 사용된다. - 에스트란 - 에스트론
에스트론은 1929년에 발견된 최초의 스테로이드 호르몬으로, 여성 생식 기능과 관련된 생리 활성을 가지며 에스트로겐 수용체의 작용제로서 호르몬 대체 요법에 사용되지만, 부작용의 위험도 존재한다. - 에스트란 - 레보노르게스트렐
레보노르게스트렐은 합성 프로게스토겐으로 경구 피임약, 자궁 내 장치, 피임 임플란트, 응급 피임약 등 다양한 형태로 사용되며 배란 억제와 자궁 경부 점액 농축을 통해 피임 효과를 나타내는 여성 피임 목적의 약물이다.
2. 생물학적 기능
에스트로겐 중 가장 강한 생리 활성을 가지며, 그 활성은 에스트론의 2배, 에스트리올의 10배이다. 에스트라디올은 여성과 남성 모두에게 다음과 같은 다양한 생물학적 기능을 수행한다.
- 성 발달: 여성의 제2차 성징 발달을 주도하며, 사춘기에 시작되어 폐경기 이후 감소한다. 유방 발달, 체형 변화, 골반 확장, 여성형 지방 분포, 질과 외음부 성숙, 사춘기 성장 급증 및 골단판 폐쇄를 유도한다.
- 생식: 여성의 생식 기관 조직 성장 촉진, 난자 유지, 월경 주기 조절, 착상 준비, 임신 유지 등 생식 과정 전반에 관여한다. 남성의 경우 정자 세포의 세포자멸사를 막는 기능을 한다.
- 골격계: 뼈에 큰 영향을 미쳐 골밀도를 유지하고 골절 위험을 감소시킨다. 에스트라디올 부족은 골감소증 및 골다공증을 유발할 수 있다.
- 피부 건강: 피부 콜라겐 함량, 두께, 탄력, 수분 유지에 기여하여 피부 노화를 늦추는 역할을 한다.
- 신경계: 신경 보호 기능을 가지며, 옥시토신 분비 및 수용체 발현을 증가시킨다. 여성의 정신 건강에 영향을 미치며, 기분 저하와 관련될 수 있다.
- 심혈관계: 관상동맥 혈류 개선, 심장 보호, 혈액 응고 증가, 정맥혈전색전증 위험 증가 등 심혈관계에 다양한 영향을 미친다.
- 기타: 유방암, 난소암, 자궁내막암 등 암 발생 및 진행과 관련이 있다.
임신 중에는 에스트라디올과 같은 높은 수준의 에스트로겐이 혈액 응고를 증가시키고 정맥혈전색전증(VTE)의 위험을 증가시킨다.[29] 다음은 임신 및 산후 기간 동안 VTE의 절대 및 상대 발생률을 나타내는 표이다.
2. 1. 성 발달
여성의 제2차 성징 발달은 에스트로겐, 특히 에스트라디올에 의해 주도된다. 이러한 변화는 사춘기에 시작되며, 대부분 생식기 동안 강화되고, 폐경기 이후 에스트라디올의 감소에 따라 덜 두드러진다. 따라서 에스트라디올은 유방 발달을 유발하며, 뼈, 관절 및 지방 축적에 영향을 미치는 체형 변화를 담당한다. 여성의 경우 에스트라디올은 유방 발달, 골반 확장, 여성형 지방 분포(특히 유방, 엉덩이, 허벅지 및 둔부에 지방이 축적됨) 및 질과 외음부의 성숙을 유도하는 반면, 사춘기 성장 급증(증가된 성장 호르몬 분비를 통해 간접적으로) 및 골단판 폐쇄(따라서 최종 키를 제한함)를 남녀 모두에서 매개한다.2. 2. 생식
여성의 경우, 에스트라디올은 질, 자궁 경관샘, 자궁내막, 난관의 내벽을 지지하는 생식 기관 조직의 성장 호르몬 역할을 하며, 자궁근층의 성장을 촉진한다. 또한 난소에서 난자를 유지하는 데 필요한 것으로 보인다. 월경 주기 동안, 자라는 난포에서 생성된 에스트라디올은 양성 피드백 시스템을 통해 시상하부-뇌하수체 사건을 촉발하여 황체형성호르몬 급증을 유발하고 배란을 유도한다. 황체기에는 에스트라디올이 프로게스테론과 함께 착상을 위해 자궁내막을 준비한다. 임신 중에는 태반 생산으로 인해 에스트라디올이 증가한다. 임신 중 에스트라디올, 에스트론, 에스트리올의 효과는 명확하지 않지만, 자궁 혈류 촉진, 자궁근층 성장 촉진, 유방 성장 자극, 임신 말기 자궁 경관 연화 및 자궁근층 옥시토신 수용체 발현 촉진 등의 역할을 할 수 있다. 비비 원숭이에서 에스트로겐 생성을 차단하면 임신 손실로 이어져 에스트라디올이 임신 유지에 역할을 한다는 것을 시사한다. 분만 개시 과정에서 에스트로겐의 역할에 대한 연구가 진행되고 있으며, 황체기 프로게스테론 노출 전에 에스트라디올의 작용이 필요하다.2. 2. 1. 여성 생식계
여성의 제2차 성징 발달은 에스트로겐, 특히 에스트라디올에 의해 주도된다. 이러한 변화는 사춘기에 시작되며, 대부분 생식기 동안 강화되고, 폐경기 이후 에스트라디올의 감소에 따라 덜 두드러진다. 따라서 에스트라디올은 유방 발달을 유발하며, 뼈, 관절 및 지방 축적에 영향을 미치는 체형 변화를 담당한다. 여성의 경우 에스트라디올은 유방 발달, 골반 확장, 여성형 지방 분포(특히 유방, 엉덩이, 허벅지 및 둔부에 지방이 축적됨) 및 질과 외음부의 성숙을 유도하는 반면, 사춘기 성장 급증(증가된 성장 호르몬 분비를 통해 간접적으로) 및 골단판 폐쇄(따라서 최종 키를 제한함)를 남녀 모두에서 매개한다.에스트라디올은 질의 내벽, 자궁 경관샘, 자궁내막, 그리고 난관의 내벽을 지지하는 생식 기관 조직의 성장 호르몬 역할을 한다. 또한 자궁근층의 성장을 촉진한다. 에스트라디올은 난소에서 난자를 유지하는 데 필요한 것으로 보인다. 월경 주기 동안, 자라는 난포에서 생성된 에스트라디올은 양성 피드백 시스템을 통해 시상하부-뇌하수체 사건을 촉발하여 황체형성호르몬 급증을 유발하고 배란을 유도한다. 황체기에는 에스트라디올이 프로게스테론과 함께 착상을 위해 자궁내막을 준비한다. 임신 중에는 태반 생산으로 인해 에스트라디올이 증가한다. 임신 중 에스트라디올, 에스트론, 에스트리올의 효과는 명확하지 않다. 이들은 자궁 혈류를 촉진하고, 자궁근층 성장을 촉진하며, 유방 성장을 자극하고, 임신 말기에는 자궁 경관 연화 및 자궁근층 옥시토신 수용체 발현을 촉진할 수 있다. 비비 원숭이에서 에스트로겐 생성을 차단하면 임신 손실로 이어져 에스트라디올이 임신 유지에 역할을 한다는 것을 시사한다. 분만 개시 과정에서 에스트로겐의 역할에 대한 연구가 진행되고 있다. 황체기 프로게스테론 노출 전에 에스트라디올의 작용이 필요하다.
2. 2. 2. 남성 생식계
에스트라디올(그리고 일반적으로 에스트로겐)이 수컷 생식에 미치는 영향은 복잡하다. 에스트라디올은 주로 포유류의 라이디히 세포에서 아로마타제의 작용에 의해 생성되지만, 일부 생식세포와 미성숙 포유류의 세르톨리 세포에서도 생성된다.[2] 이는 ''시험관 내'' 수컷 정자 세포의 세포자멸사를 막는 기능을 한다.[3]1990년대 초의 일부 연구에서는 전 세계적으로 감소하는 정자 수와 환경 내 에스트로겐 노출 사이의 연관성을 주장했지만,[4] 후속 연구에서는 그러한 연관성이나 정자 수의 전반적인 감소에 대한 증거를 발견하지 못했다.[5][6]
일부 불임 남성의 하위 집단에서 에스트라디올 생성을 억제하면 정액 분석이 개선될 수 있다.[7]
클라인펠터 증후군과 같은 특정 성염색체 유전 질환을 가진 남성은 에스트라디올 수치가 더 높다.[8]
2. 3. 골격계
여성의 제2차 성징 발달은 에스트로겐, 특히 에스트라디올에 의해 주도된다. 이러한 변화는 사춘기에 시작되며, 대부분은 생식기 동안 강화되고, 폐경기 이후 에스트라디올의 감소에 따라 덜 두드러진다. 에스트라디올은 유방 발달을 유발하며, 뼈, 관절 및 지방 축적에 영향을 미치는 체형 변화를 담당한다. 에스트라디올은 골반 확장을 유도하는 한편, 사춘기 성장 급증(증가된 성장 호르몬 분비를 통해 간접적으로) 및 골단판 폐쇄(따라서 최종 키를 제한함)를 남녀 모두에서 매개한다.에스트라디올은 뼈에 큰 영향을 미친다. 에스트라디올(또는 다른 에스트로겐)이 없는 사람은 골단 폐쇄가 지연되거나 일어나지 않아 키가 크고 거세된 남성(eunuchoid)의 특징을 보인다.[9] 뼈밀도 또한 영향을 받아 조기에 골감소증과 골다공증이 발생한다.[10] 에스트라디올 수치가 낮으면 골절 위험이 높아질 수 있으며, 폐경 후 여성에게서 골절 발생률이 가장 높다.[11] 폐경 후 여성은 상대적인 에스트로겐 결핍으로 인해 골량 손실이 가속화된다.[12]
2. 4. 피부 건강
에스트로겐 수용체와 프로게스테론 수용체는 피부, 특히 각질형성세포와 섬유아세포에서 발견되었다.[13][14] 폐경 이후 여성 성호르몬 수치 감소는 피부 위축, 얇아짐, 주름 증가, 그리고 피부 탄력, 견고함, 강도 감소를 초래한다.[13][14] 이러한 피부 변화는 피부 노화를 가속화시키며, 감소된 콜라겐 함량, 형태가 불규칙적인 표피 피부 세포, 기질 감소, 그리고 감소된 모세혈관과 혈류가 원인이다.[13][14] 폐경기 동안 피부는 건조해지는데, 이는 감소된 피부 수분과 표면 지질(피지 생성) 때문이다.[13] 시간적 노화와 광노화와 함께, 폐경기 에스트로겐 결핍은 피부 노화에 주로 영향을 미치는 세 가지 주요 요인 중 하나이다.[13]호르몬 대체 요법은 에스트로겐 단독 또는 프로게스토겐과 병용한 전신적 치료로 이루어지는데, 폐경 후 여성의 피부에 잘 알려진 상당한 이로운 효과를 가지고 있다.[13][14] 이러한 이점으로는 피부 콜라겐 함량, 피부 두께 및 탄력, 그리고 피부 수분과 표면 지질의 증가가 포함된다.[13][14] 국소 에스트로겐은 피부에 유사한 이로운 효과를 가지는 것으로 밝혀졌다.[13] 또한, 한 연구에 따르면 국소 2% 프로게스테론 크림은 폐경 전후 여성의 피부 탄력과 견고함을 상당히 증가시키고 주름을 눈에 띄게 감소시키는 것으로 나타났다.[14] 반면에 피부 수분과 표면 지질은 국소 프로게스테론으로 인해 유의미하게 변하지 않았다.[14] 이러한 결과는 프로게스테론이 에스트로겐과 마찬가지로 피부에도 이로운 효과를 가지며, 피부 노화에 대해 독립적으로 보호 효과를 가질 수 있음을 시사한다.[14]
2. 5. 신경계
뇌에서 스테로이드 전구체로부터 에스트로겐이 생성될 수 있다. 항산화제로서, 에스트로겐은 신경 보호 기능을 가지는 것으로 밝혀졌다.[15]월경 주기의 양성 및 음성 피드백 루프는 시상하부-뇌하수체계를 조절하는 연결 고리로서 난소 에스트라디올을 포함한다.[16]
에스트로겐은 여성의 정신 건강에 중요한 역할을 하는 것으로 여겨지며, 호르몬 수치, 기분 및 웰빙 간의 연관성이 제시되었다. 에스트로겐의 급격한 감소 또는 변동, 또는 장기간의 지속적인 저수치는 기분 저하와 상관관계가 있을 수 있다. 산후, 폐경 전, 폐경 후 우울증의 임상적 회복은 에스트로겐 수치가 안정화되고/되거나 회복된 후 효과적인 것으로 나타났다.[17][18]
트랜스젠더 여성의 성적으로 이형적인 뇌 구조의 부피는 수개월에 걸쳐 에스트로겐에 노출되고 동시에 안드로겐이 결핍되면 변화하여 일반적인 여성의 뇌 구조와 유사해지는 것으로 나타났다.[19] 이는 에스트로겐 및/또는 안드로겐이 태아기와 이후 삶 모두에서 뇌의 성 분화에 중요한 역할을 한다는 것을 시사한다.
많은 척추동물에서 성체 수컷의 성적 행동 프로그램은 주로 태아기와 유아기에 생성된 에스트라디올에 크게 의존한다는 증거도 있다.[20] 이 과정이 인간의 성적 행동에 중요한 역할을 하는지는 아직 알려지지 않았지만, 다른 포유류의 증거는 연관성을 시사하는 경향이 있다.[21]
에스트로겐은 옥시토신 분비를 증가시키고 뇌에서 그 수용체인 옥시토신 수용체의 발현을 증가시키는 것으로 밝혀졌다.[22] 여성의 경우, 단일 용량의 에스트라디올이 순환하는 옥시토신 농도를 증가시키기에 충분한 것으로 나타났다.[23]
에스트라디올의 처방약 설명서에는 우울증을 유발할 수 있다고 명시되어 있다.
무작위 이중맹검 위약 대조 연구에서 에스트라디올은 공정성 민감도에 대한 성별 특이적 효과를 보이는 것으로 나타났다. 수정된 최후통첩 게임에서 일정 금액의 분배를 공정하거나 불공정하게 묘사했을 때, 에스트라디올은 남성의 경우 공정하게 제시된 제안에 대한 수락률을 높였고 여성의 경우 낮추었다. 그러나 위약 그룹에서는 "에스트라디올 치료를 받는다는 단순한 믿음이 남녀 모두 불공정하게 제시된 제안의 수락률을 상당히 높였다"는 점이 밝혀졌는데, 이는 소위 "환경적" 요인이 최후통첩 게임 제시에 대한 반응을 조직하는 데 역할을 했다는 것을 시사한다.[78]
산화 스트레스에 의한 세포사멸을 막고, 신경보호 작용을 가지는 것이 생체 내(in vivo)에서 밝혀졌다.[92]
G 단백질 연결 수용체 30(G protein-coupled receptor 30, GPR30)을 매개로 N-메틸-D-아스파르트산(N-methyl-D-aspartate, NMDA) 노출에 의한 흥분독성으로부터 배양 피질 신경세포를 보호했다.[93]
글루탐산(Glutamate) 20µM의 독성에 대해, 17β-에스트라디올(17β-estradiol)의 ED50는 1.978µM이었다.[94]
2. 6. 심혈관계
에스트로겐은 특정 혈관에 영향을 미치는데, 관상동맥의 동맥 혈류 개선이 입증되었다.[27] 17-베타-에스트라디올(E2)은 인간에게서 발견되는 가장 강력한 에스트로겐으로 간주된다. E2는 심장 허혈 및 재관류 중 혈관 기능, 세포자멸사 및 손상에 영향을 미치며, 허혈과 관련된 손상으로부터 심장과 개별 심장 근세포를 보호할 수 있다. 심장마비 또는 장기간의 고혈압 후 E2는 심장의 병리적 재형성의 부작용을 억제한다.[28]임신 중에는 에스트라디올과 같은 높은 수준의 에스트로겐이 혈액 응고를 증가시키고 정맥혈전색전증의 위험을 증가시킨다.
2. 7. 기타 기능
여성의 제2차 성징 발달은 에스트로겐, 특히 에스트라디올에 의해 주도된다. 이러한 변화는 사춘기에 시작되며, 대부분 생식기 동안 강화되고, 폐경기 이후 에스트라디올 감소에 따라 덜 두드러진다. 에스트라디올은 유방 발달을 유발하며, 뼈, 관절 및 지방 축적에 영향을 미치는 체형 변화를 담당한다. 여성의 경우 에스트라디올은 유방 발달, 골반 확장, 여성형 지방 분포(특히 유방, 엉덩이, 허벅지 및 둔부에 지방이 축적됨), 질과 외음부의 성숙을 유도하는 반면, 사춘기 성장 급증(증가된 성장 호르몬 분비를 통해 간접적으로) 및 골단판 폐쇄(따라서 최종 키를 제한함)를 남녀 모두에서 매개한다.에스트라디올은 뼈에 큰 영향을 미친다. 에스트라디올(또는 다른 에스트로겐)이 없는 사람은 골단 폐쇄가 지연되거나 일어나지 않아 키가 크고 거세된 남성(eunuchoid)의 특징을 보인다.[9] 뼈밀도 또한 영향을 받아 조기에 골감소증(osteopenia)과 골다공증(osteoporosis)이 발생한다.[10] 에스트라디올 수치가 낮으면 골절 위험이 높아질 수 있으며, 폐경 후 여성에게서 골절 발생률이 가장 높다.[11] 폐경 후 여성은 상대적인 에스트로겐 결핍으로 인해 골량 손실이 가속화된다.[12]
뇌에서 스테로이드 전구체로부터 에스트로겐이 생성될 수 있다. 항산화제로서, 에스트로겐은 신경 보호 기능을 가지는 것으로 밝혀졌다.[15]
월경 주기의 양성 및 음성 피드백 루프는 시상하부-뇌하수체계를 조절하는 연결 고리로서 난소 에스트라디올을 포함한다.[16]
에스트로겐은 여성의 정신 건강에 중요한 역할을 하는 것으로 여겨지며, 호르몬 수치, 기분 및 웰빙 간의 연관성이 제시되었다. 에스트로겐의 급격한 감소 또는 변동, 또는 장기간의 지속적인 저수치는 기분 저하와 상관관계가 있을 수 있다. 산후, 폐경 전, 폐경 후 우울증의 임상적 회복은 에스트로겐 수치가 안정화되고/되거나 회복된 후 효과적인 것으로 나타났다.[17][18]
에스트로겐은 옥시토신 분비를 증가시키고 뇌에서 그 수용체인 옥시토신 수용체의 발현을 증가시키는 것으로 밝혀졌다.[22] 여성의 경우, 단일 용량의 에스트라디올이 순환하는 옥시토신 농도를 증가시키기에 충분한 것으로 나타났다.[23]
에스트라디올은 유방암, 난소암, 자궁내막암과 같은 암의 발생과 진행과 관련이 있다. 에스트라디올은 주로 핵 수용체인 에스트로겐 수용체 α(ERα)와 에스트로겐 수용체 β(ERβ)와 상호 작용하여 표적 조직에 영향을 미친다.[24][25] 이러한 에스트로겐 수용체의 기능 중 하나는 유전자 발현의 조절이다. 에스트라디올이 ER에 결합하면, 수용체 복합체는 특정 DNA 서열에 결합하여 DNA 손상을 일으키고 세포 분열과 DNA 복제를 증가시킬 수 있다. 진핵 세포는 손상된 DNA에 대해 G1, S 또는 G2 세포주기 단계를 자극하거나 손상시켜 DNA 복구를 시작함으로써 반응한다. 그 결과, 세포 변형과 암세포 증식이 발생한다.[26]
에스트로겐은 특정 혈관에 영향을 미친다. 관상동맥의 동맥 혈류 개선이 입증되었다.[27] 17-베타-에스트라디올(E2)은 인간에게서 발견되는 가장 강력한 에스트로겐으로 간주된다. E2는 심장 허혈 및 재관류 중 혈관 기능, 세포자멸사 및 손상에 영향을 미친다. E2는 허혈과 관련된 손상으로부터 심장과 개별 심장 근세포를 보호할 수 있다. 심장마비 또는 장기간의 고혈압 후 E2는 심장의 병리적 재형성의 부작용을 억제한다.[28]
임신 중에는 에스트라디올과 같은 높은 수준의 에스트로겐이 혈액 응고를 증가시키고 정맥혈전색전증의 위험을 증가시킨다.
에스트라디올은 핵 수용체인 에스트로겐 수용체(ER)의 작용제로 작용한다. 에스트로겐 수용체에는 ERα와 ERβ의 두 가지 아형이 있으며, 에스트라디올은 이 두 수용체 모두에 강력하게 결합하여 활성화시킨다. 에스트로겐 수용체가 활성화되면 ER을 발현하는 세포에서 유전자 전사와 발현이 조절된다. 이것이 에스트라디올이 신체에서 생물학적 효과를 매개하는 주된 기전이다. 에스트라디올은 또한 최근에 발견된 에스트라디올의 비핵 수용체인 GPER(GPR30)과 같은 막 에스트로겐 수용체(mER)의 작용제로도 작용하여 다양한 빠르고 비게놈 효과를 낼 수 있다.[30] ER과 달리 GPER은 에스트라디올에 대해 선택적인 것으로 보이며, 에스트론 및 에스트리올과 같은 다른 내인성 에스트로겐에 대해서는 매우 낮은 친화도를 보인다.[31] GPER 외에도 추가적인 mER에는 ER-X, ERx 및 Gq-mER가 포함된다.[32][33]
3. 생화학
ERα/ERβ는 열충격 단백질 90(HSP90), p23 단백질 및 면역필린을 중심으로 구성된 다분자 샤페론 복합체에 갇힌 비활성 상태이며, 대부분 세포질에, 일부는 핵에 위치한다. 에스트라디올은 세포질로 들어가 ER과 상호 작용한다. 에스트라디올이 결합하면 ER은 분자 샤페론 복합체에서 해리되어 이량체화하고 핵으로 이동하며 특정 DNA 서열(에스트로겐 반응 요소, ERE)에 결합하여 유전자 전사를 가능하게 하며, 이는 수 시간에서 수일에 걸쳐 일어날 수 있다.
피하 주사로 투여하면 에스트라디올은 에스트론보다 약 10배, 에스트리올보다 약 100배 강력하다.[34][35][36] 따라서 에스트라디올은 신체의 주요 에스트로겐이지만, 에스트론과 에스트리올의 에스트로겐으로서의 역할도 무시할 수 없다.[36]
다음은 랫드의 선택된 내인성 에스트로겐의 생물학적 특성을 나타낸 표이다.
에스트라디올은 에스트론과의 가역 반응 또는 테스토스테론으로부터 비가역적으로 생성된다.
과립세포, 피막세포, 태반, 부신피질, 정세포 등이 에스트라디올을 생성한다.
3. 1. 생합성
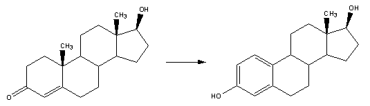
에스트라디올은 다른 스테로이드 호르몬과 마찬가지로 콜레스테롤에서 유래한다. 측쇄 절단과 Δ⁵ 또는 Δ⁴ 경로를 이용한 후, 안드로스테네디온이 주요 중간체가 된다. 안드로스테네디온의 일부는 테스토스테론으로 전환되고, 이는 다시 아로마타제에 의해 에스트라디올로 전환된다. 또 다른 경로에서는 안드로스테네디온이 방향족화되어 에스트론이 되고, 이는 그 후 17β-하이드록시스테로이드 탈수소효소(17β-HSD)를 통해 에스트라디올로 전환된다.[47]
에스트론과의 가역 반응 또는 테스토스테론으로부터 비가역적으로 에스트라디올이 생성된다. 위에 제시된 것은 테스토스테론에서 에스트라디올로의 전환 그림이다.
생식 가능 연령의 여성에서 대부분의 에스트라디올은 난소의 과립막 세포에서 안드로스테네디온(난포막 세포에서 생성됨)의 아로마타제에 의한 에스트론으로의 방향족화를 통해 생성되고, 이어서 17β-HSD에 의해 에스트론이 에스트라디올로 전환된다. 소량의 에스트라디올은 부신피질에서도 생성되고, 남성의 경우에는 고환에서도 생성된다.
에스트라디올은 생식샘에서만 생성되는 것이 아니다. 특히, 지방 세포는 에스트라디올의 활성 전구체를 생성하며, 폐경 후에도 계속 생성한다.[48] 에스트라디올은 뇌와 동맥벽에서도 생성된다.
남성의 경우, 순환하는 에스트라디올의 약 15~25%는 고환에서 생성된다.[49][50] 나머지는 테스토스테론의 말초 방향족화를 통해 에스트라디올로, 안드로스테네디온의 말초 방향족화를 통해 에스트론(그 후 말초 17β-HSD를 통해 에스트라디올로 전환됨)으로 합성된다.[49][50] 이러한 말초 방향족화는 주로 지방 조직에서 일어나지만, 조직(예: 뼈, 간, 뇌)에서도 일어난다.[49] 남성은 하루에 약 40μg~50μg의 에스트라디올을 생성한다.[49]
에스트라디올(그리고 일반적으로 에스트로겐)이 수컷 생식에 미치는 영향은 복잡하다. 에스트라디올은 주로 포유류의 라이디히 세포에서 아로마타제의 작용에 의해 생성되지만, 일부 생식세포와 미성숙 포유류의 세르톨리 세포에서도 생성된다.[2] 이는 (''시험관 내'') 수컷 정자 세포의 세포자멸사를 막는 기능을 한다.[3]
1990년대 초의 일부 연구에서는 전 세계적으로 감소하는 정자 수와 환경 내 에스트로겐 노출 사이의 연관성을 주장했지만,[4] 후속 연구에서는 그러한 연관성이나 정자 수의 전반적인 감소에 대한 증거를 발견하지 못했다.[5][6]
일부 불임 남성의 하위 집단에서 에스트라디올 생성을 억제하면 정액 분석이 개선될 수 있다.[7]
클라인펠터 증후군과 같은 특정 성염색체 유전 질환을 가진 남성은 에스트라디올 수치가 더 높다.[8]
과립세포, 피막세포, 태반, 부신피질, 정세포 등이 에스트라디올을 생성한다.
3. 2. 분포
에스트라디올(그리고 일반적으로 에스트로겐)은 수컷 생식에 복잡한 영향을 미친다. 에스트라디올은 주로 포유류의 라이디히 세포에서 아로마타제의 작용에 의해 생성되지만, 일부 생식세포와 미성숙 포유류의 세르톨리 세포에서도 생성된다.[2] 이는 ''시험관 내''에서 수컷 정자 세포의 세포자멸사를 막는 기능을 한다.[3]
클라인펠터 증후군과 같은 특정 성염색체 유전 질환을 가진 남성은 에스트라디올 수치가 더 높다.[8]
에스트라디올은 생식샘에서만 생성되는 것이 아니다. 특히, 지방 세포는 에스트라디올의 활성 전구체를 생성하며, 폐경 후에도 계속 생성한다.[48] 에스트라디올은 뇌와 동맥벽에서도 생성된다.
남성의 경우, 순환하는 에스트라디올의 약 15~25%는 고환에서 생성된다.[49][50] 나머지는 테스토스테론의 말초 방향족화를 통해 에스트라디올로, 안드로스테네디온의 말초 방향족화를 통해 에스트론(그 후 말초 17β-HSD를 통해 에스트라디올로 전환됨)으로 합성된다.[49][50] 이러한 말초 방향족화는 주로 지방 조직에서 일어나지만, 조직(예: 뼈, 간, 뇌)에서도 일어난다.[49] 남성은 하루에 약 40μg~50μg의 에스트라디올을 생성한다.[49]
혈장 내 에스트라디올은 대부분 성호르몬 결합구로불린(SHBG)과 알부민(human serum albumin)에 결합되어 있다. 에스트라디올의 약 2.21%(± 0.04%)만이 유리 상태로 존재하며 생물학적으로 활성을 띤다. 이 비율은 월경 주기 전반에 걸쳐 일정하게 유지된다.[51]
과립세포, 피막세포, 태반, 부신피질, 정세포 등이 에스트라디올을 생성한다.
3. 3. 대사
에스트라디올은 다른 스테로이드 호르몬과 마찬가지로 콜레스테롤에서 유래한다. 측쇄 절단과 Δ⁵ 또는 Δ⁴ 경로를 이용한 후, 안드로스테네디온이 주요 중간체가 된다. 안드로스테네디온의 일부는 테스토스테론으로 전환되고, 이는 다시 아로마타제에 의해 에스트라디올로 전환된다. 또 다른 경로에서는 안드로스테네디온이 방향족화되어 에스트론이 되고, 이는 그 후 17β-하이드록시스테로이드 탈수소효소(17β-HSD)를 통해 에스트라디올로 전환된다.[47]
생식 가능 연령의 여성에서 대부분의 에스트라디올은 난소의 과립막 세포에서 안드로스테네디온(난포막 세포에서 생성됨)의 아로마타제에 의한 에스트론으로의 방향족화를 통해 생성되고, 이어서 17β-HSD에 의해 에스트론이 에스트라디올로 전환된다. 소량의 에스트라디올은 부신피질에서도 생성되고, 남성의 경우에는 고환에서도 생성된다.
에스트라디올은 생식샘에서만 생성되는 것이 아니다. 특히, 지방 세포는 에스트라디올의 활성 전구체를 생성하며, 폐경 후에도 계속 생성한다.[48] 에스트라디올은 뇌와 동맥벽에서도 생성된다.
남성의 경우, 순환하는 에스트라디올의 약 15~25%는 고환에서 생성된다.[49][50] 나머지는 테스토스테론의 말초 방향족화를 통해 에스트라디올로, 안드로스테네디온의 말초 방향족화를 통해 에스트론(그 후 말초 17β-HSD를 통해 에스트라디올로 전환됨)으로 합성된다.[49][50] 이러한 말초 방향족화는 주로 지방 조직에서 일어나지만, 조직(예: 뼈, 간, 뇌)에서도 일어난다.[49] 남성은 하루에 약 40~50 μg의 에스트라디올을 생성한다.[49]
혈장 내 에스트라디올은 대부분 성호르몬 결합 글로불린(SHBG)과 알부민(human serum albumin)에 결합되어 있다. 에스트라디올의 약 2.21% (± 0.04%)만이 유리 상태로 존재하며 생물학적으로 활성을 띤다. 이 비율은 월경 주기 전반에 걸쳐 일정하게 유지된다.[51]
에스트라디올의 불활성화에는 에스트론 및 에스트리올과 같은 활성이 낮은 에스트로겐으로의 전환이 포함된다. 에스트리올은 주요 요로 대사산물이다. 에스트라디올은 간에서 접합되어 에스트라디올 황산염, 에스트라디올 글루쿠로니드와 같은 에스트로겐 접합체를 형성하고, 이러한 형태로 신장을 통해 배설된다. 일부 수용성 접합체는 담관을 통해 배설되고, 장관에서 가수분해 후 부분적으로 재흡수된다. 이러한 장간 순환은 에스트라디올 수치를 유지하는 데 기여한다.
에스트라디올은 또한 수산화를 통해 카테콜 에스트로겐으로 대사된다. 간에서, CYP1A2, CYP3A4, 및 CYP2C9에 의해 비특이적으로 2-수산화를 통해 2-히드록시에스트라디올로 대사되고, CYP2C9, CYP2C19, 및 CYP2C8에 의해 17β-히드록시 탈수소화를 통해 에스트론으로 대사된다.[52] 다양한 다른 시토크롬 P450(CYP) 효소 및 대사 변환도 관여한다.[53]
에스트라디올은 또한 에스터와 접합하여 에스트라디올 팔미테이트 및 에스트라디올 스테아레이트와 같은 지질 에스트라디올 형태를 어느 정도 형성한다. 이러한 에스터는 지방 조직에 저장되며 매우 장기간 지속되는 에스트라디올 저장소 역할을 할 수 있다.[54][55]
3. 4. 배설
에스트라디올의 불활성화에는 에스트론 및 에스트리올과 같은 활성이 낮은 에스트로겐으로의 전환이 포함된다. 에스트리올은 주요 요로 대사산물이다. 에스트라디올은 간에서 접합되어 에스트라디올 황산염, 에스트라디올 글루쿠로니드와 같은 에스트로겐 접합체를 형성하고, 이러한 형태로 신장을 통해 배설된다. 일부 수용성 접합체는 담관을 통해 배설되고, 장관에서 가수분해 후 부분적으로 재흡수된다. 이러한 장간 순환은 에스트라디올 수치를 유지하는 데 기여한다.
에스트라디올은 글루쿠론산 및 황산 에스트로겐 접합체 형태로 소변으로 배출된다. 여성에게 표지된 에스트라디올을 정맥 주사한 후, 약 90%가 4~5일 이내에 소변과 대변으로 배출된다.[56][57] 장간순환은 에스트라디올 배설을 지연시킨다.[56]
3. 5. 수치

폐경 전 여성의 에스트라디올 수치는 월경 주기 전반에 걸쳐 매우 다양하며, 참고 범위는 출처에 따라 크게 달라진다.[58] 대부분의 실험실에 따르면, 에스트라디올 수치는 월경 주기 초반부터 중반의 여포기(또는 월경의 첫째 주, 월경으로도 알려짐) 동안 최소 수준이며 20~80 pg/mL 범위이다.[59][63] 이 기간 동안 그리고 여포기 중반부터 후반(또는 월경 주기의 둘째 주)까지 배란 전 단계까지 에스트라디올 수치는 점차 증가한다.[58][59] 배란 전(약 24~48시간의 기간)에는 에스트라디올 수치가 잠깐 급증하여 월경 주기 중 다른 어떤 시기보다 가장 높은 농도에 도달한다.[58] 이때 순환 수치는 일반적으로 130~200 pg/mL이지만, 일부 여성의 경우 300~400 pg/mL에 달할 수 있으며, 일부 실험실의 참고 범위 상한선은 더 높다(예: 750 pg/mL).[58][59][60][61][62] 배란(또는 주기 중간) 후 월경 주기 후반 또는 황체기 동안 에스트라디올 수치는 안정되고 황체기 초반과 중반에는 약 100~150 pg/mL 사이에서 변동하며, 황체기 후반 또는 월경 며칠 전에는 약 40 pg/mL의 저점에 도달한다.[58][63] 전체 월경 주기 동안 에스트라디올의 평균 통합 수치는 다양한 출처에서 80, 120, 150 pg/mL로 보고되었다.[63][64][65] 상반되는 보고서가 있지만, 한 연구에서는 젊은 여성의 평균 통합 에스트라디올 수치가 150 pg/mL인 반면, 나이 든 여성의 경우 50~120 pg/mL 범위였다.[65]
인간 여성의 생식 연령 동안 에스트라디올 수치는 월경 주기의 초기 여포기를 제외하고 에스트론보다 다소 높다. 따라서 에스트라디올은 절대 혈청 수치와 에스트로겐 활성 측면에서 인간 여성 생식 연령 동안 주요 에스트로겐으로 간주될 수 있다. 임신 중에는 에스트리올이 주요 순환 에스트로겐이 되며, 이는 에스트리올이 체내에서 발생하는 유일한 시기이며, 폐경 중에는 에스트론이 우세하다(혈청 수치 기준). 남성이 테스토스테론으로부터 생성하는 에스트라디올은 폐경 후 여성의 혈청 수치와 거의 비슷하다(각각 14~55 대 <35 pg/mL). 또한 70세 남성의 에스트라디올 농도를 70세 여성의 농도와 비교하면 남성의 수치가 약 2~4배 높다는 보고도 있다.[66]
4. 의학적 사용
에스트로겐 수용체와 프로게스테론 수용체는 피부, 특히 각질형성세포와 섬유아세포에서 발견된다.[13][14] 폐경 이후 여성 성호르몬 수치 감소는 피부 위축, 얇아짐, 주름 증가, 그리고 피부 탄력, 견고함, 강도 감소를 초래한다.[13][14] 이러한 피부 변화는 피부 노화를 가속화시키며, 감소된 콜라겐 함량, 형태가 불규칙적인 표피 피부 세포, 기질 감소, 그리고 감소된 모세혈관과 혈류가 원인이다.[13][14] 폐경기 동안 피부는 건조해지는데, 이는 감소된 피부 수분과 표면 지질(피지 생성) 때문이다.[13]
에스트로겐 단독 또는 프로게스토겐과 병용한 전신적 치료로 이루어진 호르몬 대체 요법은 폐경 후 여성의 피부에 상당한 이로운 효과를 가진다.[13][14] 이러한 이점으로는 피부 콜라겐 함량, 피부 두께 및 탄력, 그리고 피부 수분과 표면 지질의 증가가 포함된다.[13][14] 국소 에스트로겐은 피부에 유사한 이로운 효과를 가지는 것으로 밝혀졌다.[13] 한 연구에 따르면 국소 2% 프로게스테론 크림은 폐경 전후 여성의 피부 탄력과 견고함을 상당히 증가시키고 주름을 눈에 띄게 감소시킨다.[14] 반면 피부 수분과 표면 지질은 국소 프로게스테론으로 인해 유의미하게 변하지 않았다.[14]
에스트로겐은 여성의 정신 건강에 중요한 역할을 하며, 호르몬 수치, 기분 및 웰빙 간의 연관성이 제시되었다. 에스트로겐의 급격한 감소, 변동, 또는 장기간의 지속적인 저수치는 기분 저하와 상관관계가 있을 수 있다. 산후, 폐경 전, 폐경 후 우울증의 임상적 회복은 에스트로겐 수치가 안정화되거나 회복된 후 효과적인 것으로 나타났다.[17][18]
트랜스젠더 여성의 성적으로 이형적인 뇌 구조 부피는 수개월에 걸쳐 에스트로겐에 노출되고 동시에 안드로겐이 결핍되면 변화하여 일반적인 여성의 뇌 구조와 유사해진다.[19]
에스트로겐은 특정 혈관에 영향을 미치며, 관상동맥의 동맥 혈류 개선이 입증되었다.[27]
임신 중에는 에스트라디올과 같은 높은 수준의 에스트로겐이 혈액 응고를 증가시키고 정맥혈전색전증의 위험을 증가시킨다. 다음은 임신 및 산후 기간 동안의 정맥혈전색전증 발생률 표이다.
에스트라디올은 주로 호르몬 요법에서 폐경 증상 치료 및 트랜스젠더 개인의 여성화 호르몬 요법에 사용되는 의약품이다.[45]
5. 화학
에스트라디올은 주로 핵 스테로이드 호르몬 수용체인 에스트로겐 수용체(ER)의 작용제로 작용한다. 에스트로겐 수용체에는 ERα와 ERβ의 두 가지 아형이 있으며, 에스트라디올은 이 두 수용체 모두에 강력하게 결합하여 활성화시킨다. 에스트로겐 수용체가 활성화되면 에스트로겐 수용체를 발현하는 세포에서 유전자 전사와 발현이 조절된다. 이것이 에스트라디올이 신체에서 생물학적 효과를 나타내는 주된 기전이다. 에스트라디올은 최근에 발견된 에스트라디올의 비핵 수용체인 GPER(GPR30)과 같은 막 에스트로겐 수용체(mER)의 작용제로도 작용하여 다양한 빠르고 비게놈 효과를 나타낼 수 있다.[30] 에스트로겐 수용체의 경우와 달리 GPER은 에스트라디올에 대해 선택적인 것으로 보이며, 에스트론 및 에스트리올과 같은 다른 내인성 에스트로겐에 대해서는 매우 낮은 친화도를 보인다.[31] GPER 외에도 추가적인 막 에스트로겐 수용체에는 ER-X, ERx 및 Gq-mER가 포함된다.[32][33]
ERα/ERβ는 열충격 단백질 90(HSP90), p23 단백질 및 면역필린을 중심으로 구성된 다분자 샤페론 복합체에 갇힌 비활성 상태이며, 대부분 세포질에, 일부는 핵에 위치한다. 에스트라디올 고전 경로에서 에스트라디올은 세포질로 들어가 에스트로겐 수용체와 상호 작용한다. 에스트라디올이 결합되면 에스트로겐 수용체는 분자 샤페론 복합체에서 해리되어 이량체화하고 핵으로 이동하며 특정 DNA 서열(에스트로겐 반응 요소, ERE)에 결합하여 유전자 전사를 가능하게 하며, 이는 수 시간에서 수일에 걸쳐 일어날 수 있다.
피하 주사로 마우스에 투여하면 에스트라디올은 에스트론보다 약 10배, 에스트리올보다 약 100배 강력하다.[34][35][36] 따라서 에스트라디올은 신체의 주요 에스트로겐이지만, 에스트론과 에스트리올의 에스트로겐으로서의 역할도 무시할 수 없다고 한다.[36]
에스트라디올은 에스트란 스테로이드이다.[77] 17β-에스트라디올(17α-에스트라디올과 구분하기 위해) 또는 에스트라-1,3,5(10)-트리엔-3,17β-다이올로도 알려져 있다. A 고리에 세 개의 이중 결합과 C3 위치와 17β 위치에 각각 하나씩 두 개의 하이드록시기를 가지고 있다. 두 개의 하이드록시기 때문에 에스트라디올은 종종 E2로 약칭된다. 구조적으로 관련된 에스트로겐인 에스트론(E1), 에스트리올(E3) 및 에스트레트롤(E4)은 각각 하나, 세 개, 네 개의 하이드록시기를 가지고 있다.
6. 역사
에스트로겐의 발견은 일반적으로 미국의 과학자 에드가 앨런과 에드워드 A. 도이시에게 공로가 돌아간다.[79][80] 1923년, 그들은 돼지의 난포에서 추출한 액체를 주사했을 때 성적으로 미성숙한, 난소절제술을 받은 쥐에게 사춘기 및 발정 유사 변화(질, 자궁, 유선 변화와 성적 수용성 포함)가 나타나는 것을 관찰했다.[79][80][81] 이러한 발견은 난소에서 생성되며 성숙과 생식에 관여하는 호르몬의 존재를 보여주었다.[79][80][81]
발견 당시 앨런과 도이시는 이 호르몬에 이름을 짓지 않고 단순히 "난소 호르몬" 또는 "난포 호르몬"이라고 불렀다.[80] 다른 연구자들은 ''여성호르몬'', ''난포린'', ''메노포르몬'', ''테리키닌'', ''에메닌'' 등으로 다양하게 불렀다.[82][83] 1926년, 파크스와 벨러비는 동물에게 발정을 유도한다는 점을 근거로 ''에스트린''이라는 용어를 만들었다.[84][82] 에스트론은 앨런과 도이시, 그리고 독일의 과학자 아돌프 부테난트에 의해 1929년에 독립적으로 분리 및 정제되었고, 에스트리올은 1930년에 마리안에 의해 분리 및 정제되었다.[80][85][86] 이들은 최초로 확인된 에스트로겐들이었다.
세 가지 주요 에스트로겐 중 가장 강력한 에스트라디올은 세 가지 중 마지막으로 확인되었다.[80][84] 1933년 슈벤크와 힐데브란트가 에스트론의 환원을 통한 화학 합성으로 에스트라디올을 발견했다.[80] 이후 1935년 도이시가 암퇘지 난소에서 에스트라디올을 분리 및 정제했고, 동시에 그 화학 구조가 결정되었다.[87] 그리고 이는 ''디하이드로테엘린'', ''디하이드로폴리큘린'', ''디하이드로난포 호르몬'', ''디하이드록시에스트린'' 등으로 다양하게 불렸다.[80][88][89]
1935년 국제연맹 보건기구의 성호르몬 위원회는 ''에스트라디올''이라는 이름과 ''에스트로겐''이라는 용어를 공식적으로 확립했다. 이는 1932년 런던에서 열린 성호르몬 표준화에 관한 국제 회의에서 에스트론(처음에는 테엘린, 프로기논, 폴리큘린, 케토하이드록시에스트린이라고 불림)과 에스트리올(처음에는 테엘롤과 트리하이드록시에스트린이라고 불림)의 명칭이 확립된 후였다.[84][90] 발견 이후, 1940년 인호펜과 홀베그는 콜레스테롤로부터 에스트라디올의 부분 합성을 개발했고, 1948년 애너와 미셔는 전합성을 개발했다.[80]
7. 환경 문제
최근 인간의 소변에 포함된 에스트라디올을 비롯한 천연 및 인공 여성호르몬이 환경에 미치는 영향이 문제가 되고 있다. 도시 지역 하수 중에서 17β-에스트라디올(E2) 등이 관측되고 있다. 특히 영국에서는 1980년대 초부터 하수처리장 방류수가 흘러드는 하천에서 암수한몸이 된 로치(잉어과 어류)가 발견되면서 이 문제가 심각해지고 있다.[1]
참조
[1]
논문
Synaptocrine signaling: steroid synthesis and action at the synapse
2011
[2]
저널
Aromatase expression and role of estrogens in male gonad : a review
2003-04
[3]
저널
Estradiol acts as a germ cell survival factor in the human testis in vitro
2000-05
[4]
저널
Are oestrogens involved in falling sperm counts and disorders of the male reproductive tract?
1993-05
[5]
저널
Estrogens and falling sperm counts
2001
[6]
저널
Environmental estrogens and sperm counts
http://pac.iupac.org[...]
2015-12-29
[7]
저널
Aromatase inhibitors for male infertility
2002-02
[8]
저널
Klinefelter syndrome and other sex chromosomal aneuploidies
2006-10
[9]
저널
Sex steroid actions in male bone
2014-12
[10]
저널
Effect of testosterone and estradiol in a man with aromatase deficiency
1997-07
[11]
저널
Fracture incidence in adults in relation to age and gender: A study of 27,169 fractures in the Swedish Fracture Register in a well-defined catchment area
2020-12-21
[12]
저널
Postmenopausal Osteoporosis: Its Clinical Features
1941-05-31
[13]
저널
Skin aging and menopause : implications for treatment
[14]
저널
Effects and side-effects of 2% progesterone cream on the skin of peri- and postmenopausal women: results from a double-blind, vehicle-controlled, randomized study
2005-09
[15]
저널
17-beta estradiol protects neurons from oxidative stress-induced cell death in vitro
1995-11
[16]
저널
Identification of a regulatory loop for the synthesis of neurosteroids: a steroidogenic acute regulatory protein-dependent mechanism involving hypothalamic-pituitary-gonadal axis receptors
2009-08
[17]
저널
Estrogen-related mood disorders: reproductive life cycle factors
[18]
저널
The effects of estradiol on central serotonergic systems and its relationship to mood in women
2007-10
[19]
저널
Changing your sex changes your brain: influences of testosterone and estrogen on adult human brain structure
2006-07
[20]
저널
Hormonal modulation of singing: hormonal modulation of the songbird brain and singing behavior
http://www.annalsnya[...]
2004-06
[21]
저널
Wired for reproduction: organization and development of sexually dimorphic circuits in the mammalian forebrain
http://www.healthsys[...]
2002-03-27
[22]
서적
Women's Sexual Function and Dysfunction: Study, Diagnosis and Treatment
https://books.google[...]
CRC Press
2005-11-17
[23]
저널
Oxytocin and Estrogen Receptor β in the Brain: An Overview
[24]
저널
Naringenin and 17beta-estradiol coadministration prevents hormone-induced human cancer cell growth
2010-01
[25]
저널
Pomegranate extract demonstrate a selective estrogen receptor modulator profile in human tumor cell lines and in vivo models of estrogen deprivation
2012-07
[26]
저널
Estrogen receptor beta decreases survival of p53-defective cancer cells after DNA damage by impairing G₂/M checkpoint signaling
2011-06
[27]
저널
17 beta-Estradiol attenuates acetylcholine-induced coronary arterial constriction in women but not men with coronary heart disease
1995-07
[28]
저널
Estrogen and the cardiovascular system
2012-07
[29]
저널
Defining venous thromboembolism and measuring its incidence using Swedish health registries: a nationwide pregnancy cohort study
2015-11
[30]
저널
Estrogen biology: new insights into GPER function and clinical opportunities
2014-05
[31]
저널
GPR30: A G protein-coupled receptor for estrogen
[32]
저널
Membrane estrogen receptors - is it an alternative way of estrogen action?
2013-04
[33]
저널
Membrane estrogen receptor regulation of hypothalamic function
[34]
서적
Clinical Endocrinology: Theory and Practice
https://books.google[...]
Springer Science & Business Media
2018-11-11
[35]
서적
Maternal, Fetal, & Neonatal Physiology: A Clinical Perspective
https://books.google[...]
Elsevier Health Sciences
2017-06-07
[36]
서적
Guyton and Hall Textbook of Medical Physiology E-Book
https://books.google[...]
Elsevier Health Sciences
2015-05-31
[37]
학술지
Uterine estrogen receptor binding of catecholestrogens and of estetrol (1,3,5(10)-estratriene-3,15alpha,16alpha,17beta-tetrol)
1976-03-00
[38]
학술지
Direction of estradiol metabolism as a control of its hormonal action--uterotrophic activity of estradiol metabolites
1977-12-00
[39]
학술지
Differential biological activity of estradiol metabolites
https://pediatrics.a[...]
1978-12-00
[40]
학술지
Impact of continuously administered catechol estrogens on uterine growth and luteinizing hormone secretion
1979-12-00
[41]
서적
The Menopause and Postmenopause
[42]
학술지
Biological properties of 16 alpha-hydroxyestrone: implications in estrogen physiology and pathophysiology
1980-09-00
[43]
학술지
The role of 2-methoxyestrone in estrogen action
1983-07-00
[44]
서적
Estrogens in the Environment: Proceedings of the Symposium on Estrogens in the Environment, Raleigh, North Carolina, U.S.A., September 10-12, 1979
https://books.google[...]
Elsevier
[45]
학술지
Pharmacology of estrogens and progestogens: influence of different routes of administration
2005-08-00
[46]
학술지
Diagram of the pathways of human steroidogenesis
[47]
서적
Medical Physiology: A Cellular And Molecular Approach
Elsevier/Saunders
[48]
서적
Arzneimittelwirkungen
Wissenschaftliche Verlagsgesellschaft
[49]
서적
Williams Textbook of Endocrinology
https://books.google[...]
Elsevier Health Sciences
2018-03-21
[50]
서적
Osteoporosis
https://books.google[...]
Academic Press
2013-06-13
[51]
학술지
Free and protein-bound plasma estradiol-17 beta during the menstrual cycle
1976-08-00
[52]
학술지
Role of cytochrome P450 in estradiol metabolism in vitro
2001-02-00
[53]
학술지
Characterization of the oxidative metabolites of 17beta-estradiol and estrone formed by 15 selectively expressed human cytochrome p450 isoforms
2003-08-00
[54]
서적
Estrogens and Antiestrogens I: Physiology and Mechanisms of Action of Estrogens and Antiestrogens
https://books.google[...]
Springer Science & Business Media
2012-12-06
[55]
서적
Estrogens and Antiestrogens II: Pharmacology and Clinical Application of Estrogens and Antiestrogen
https://books.google[...]
Springer Science & Business Media
2012-12-06
[56]
서적
Radioactive Isotopes in Physiology Diagnostics and Therapy / Künstliche Radioaktive Isotope in Physiologie Diagnostik und Therapie
[57]
학술지
Studies on phenolic steroids in human subjects. II. The metabolic fate and hepato-biliary-enteric circulation of C14-estrone and C14-estradiol in women
1957-08-00
[58]
서적
Sex Differences in the Brain: From Genes to Behavior
https://books.google[...]
Oxford University Press
2007-12-04
[59]
서적
Yen and Jaffe's Reproductive Endocrinology: Physiology, Pathophysiology, and Clinical Management
https://books.google[...]
Elsevier Health Sciences
2016-12-21
[60]
서적
Endocrinology: Adult and Pediatric
https://books.google[...]
Elsevier Health Sciences
2010-05-18
[61]
서적
Clinical Endocrine Oncology
https://books.google[...]
John Wiley & Sons
2009-01-26
[62]
서적
Endocrine and Metabolic Testing Manual
https://books.google[...]
CRC Press
1994-07-12
[63]
서적
Hormone Replacement Therapy: Standardized or Individually Adapted Doses?
https://books.google[...]
CRC Press
1994-03-15
[64]
서적
The Climacteric in Perspective: Proceedings of the Fourth International Congress on the Menopause, held at Lake Buena Vista, Florida, October 28 – November 2, 1984
https://books.google[...]
Springer Science & Business Media
2016-10-22
[65]
서적
Neuroendocrine Perspectives
https://books.google[...]
Springer Science & Business Media
2016-10-22
[66]
학술지
The use of estrogen therapy in men
2003-12-00
[67]
학술지
17 beta-estradiol for postmenopausal estrogen replacement therapy
[68]
서적
Laboratory Tests and Diagnostic Procedures – E-Book
https://books.google[...]
Elsevier Health Sciences
2023-08-22
[69]
학술지
Pharmacokinetics and pharmacodynamics of transdermal dosage forms of 17 beta-estradiol: comparison with conventional oral estrogens used for hormone replacement
1985-08-00
[70]
서적
Principles and Practice of Endocrinology and Metabolism
https://books.google[...]
Lippincott Williams & Wilkins
[71]
웹사이트
GPNotebook — reference range (oestradiol)
http://www.gpnoteboo[...]
2009-09-27
[72]
저널
Establishment of detailed reference values for luteinizing hormone, follicle stimulating hormone, estradiol, and progesterone during different phases of the menstrual cycle on the Abbott ARCHITECT analyzer
https://web.archive.[...]
[73]
저널
Free and protein-bound plasma estradiol-17 beta during the menstrual cycle
1976-08
[74]
저널
Reference ranges for estradiol, progesterone, luteinizing hormone and follicle-stimulating hormone during the menstrual cycle
[75]
서적
Yen & Jaffe's Reproductive Endocrinology: Physiology, Pathophysiology, and Clinical Management
https://books.google[...]
Elsevier Health Sciences
[76]
서적
Yen & Jaffe's Reproductive Endocrinology: Physiology, Pathophysiology, and Clinical Management
https://books.google[...]
Elsevier Health Sciences
[77]
저널
Pharmacology of estrogens and progestogens: influence of different routes of administration
2005-08
[78]
저널
Sex differences in economic decision-making: Exogenous estradiol has opposing effects on fairness framing in women and men.
2021-09
[79]
서적
A Biographical History of Endocrinology
https://books.google[...]
John Wiley & Sons
2016-03-14
[80]
서적
Current Management of the Menopause
https://books.google[...]
CRC Press
2005-06-22
[81]
저널
An Ovarian Hormone
[82]
서적
Hormonal Regulation of the Menstrual Cycle: The Evolution of Concepts
https://books.google[...]
Springer Science & Business Media
2013-11-11
[83]
저널
The History of the Discovery and Isolation of the Female Sex Hormones
[84]
서적
Clinical Gynecologic Endocrinology and Infertility
https://books.google[...]
Lippincott Williams & Wilkins
2012-03-28
[85]
서적
Estrogens, Estrogen Receptor and Breast Cancer
https://books.google[...]
IOS Press
2016-11-27
[86]
서적
Antineoplastic and Immunosuppressive Agents
https://books.google[...]
Springer Science & Business Media
2013-11-27
[87]
서적
Contraception
https://books.google[...]
Springer Science & Business Media
2012-12-06
[88]
저널
The Crystalline Ovarian Follicular Hormone
[89]
서적
Chemicals Identified in Human Biological Media: A Data Base
https://books.google[...]
Design and Development Branch, Survey and Analysis Division, Office of Program Integration and Information, Office of Pesticides and Toxic Substances, Environmental Protection Agency
[90]
서적
Sexing the Body: Gender Politics and the Construction of Sexuality
https://archive.org/[...]
Basic Books
[91]
웹사이트
Greek Word Study Tool: oistros
https://www.perseus.[...]
Perseus Digital Library
2011-12-28
[92]
저널
17-beta estradiol protects neurons from oxidative stress-induced cell death in vitro
http://linkinghub.el[...]
1995-11-13
[93]
저널
G-protein-coupled receptor 30 mediates rapid neuroprotective effects of estrogen via depression of NR2B-containing NMDA receptors
http://www.jneurosci[...]
2014-04-04
[94]
저널
Estrogen-like compounds for ischemic neuroprotection
http://stroke.ahajou[...]
2004-12
[95]
서적
Roach's Introductory Clinical Pharmacology
https://books.google[...]
Lippincott Williams & Wilkins
2013-10-07
[96]
서적
Mosby's Drug Reference for Health Professions
https://books.google[...]
Elsevier Health Sciences
2015-04-01
[97]
저널
Ethinyl estradiol and 17β-estradiol in combined oral contraceptives: pharmacokinetics, pharmacodynamics and risk assessment
2013-06
[98]
저널
Single-dose pharmacokinetics of sublingual versus oral administration of micronized 17 beta-estradiol
1997-03
[99]
저널
Estradiol gel: review of the pharmacology, pharmacokinetics, efficacy, and safety in menopausal women
[100]
서적
Clinical Reproductive Medicine and Surgery
https://books.google[...]
Elsevier Health Sciences
본 사이트는 AI가 위키백과와 뉴스 기사,정부 간행물,학술 논문등을 바탕으로 정보를 가공하여 제공하는 백과사전형 서비스입니다.
모든 문서는 AI에 의해 자동 생성되며, CC BY-SA 4.0 라이선스에 따라 이용할 수 있습니다.
하지만, 위키백과나 뉴스 기사 자체에 오류, 부정확한 정보, 또는 가짜 뉴스가 포함될 수 있으며, AI는 이러한 내용을 완벽하게 걸러내지 못할 수 있습니다.
따라서 제공되는 정보에 일부 오류나 편향이 있을 수 있으므로, 중요한 정보는 반드시 다른 출처를 통해 교차 검증하시기 바랍니다.
문의하기 : help@durumis.com
