히알루론산
"오늘의AI위키"의 AI를 통해 더욱 풍부하고 폭넓은 지식 경험을 누리세요.
1. 개요
히알루론산은 생체 내에서 윤활 작용, 조직 복구, 세포 이동 등 다양한 기능을 수행하는 탄수화물 고분자이다. 피부, 관절, 눈 등 척추동물의 여러 조직에 존재하며, 특히 피부의 수분 유지와 관절 연골의 탄성에 기여한다. 히알루론산은 세포 외 기질뿐만 아니라 세포 표면 수용체와의 상호 작용을 통해 다양한 생리적 과정에 관여하며, 상처 치유, 세포 이동, 피부 건강 유지에 중요한 역할을 한다. 의학적으로는 관절염, 안구건조증 치료, 미용 시술 등에 사용되며, 최근에는 연구를 통해 다양한 질병 치료와 조직 공학 분야에서의 활용 가능성이 탐구되고 있다. 또한, 보습 효과로 인해 화장품에 널리 사용되며, 경구 섭취를 통한 피부 보습 및 관절 건강 개선 효과에 대한 연구도 진행되고 있다.
더 읽어볼만한 페이지
- 글리코사미노글리칸 - 콘드로이틴 황화염
콘드로이틴 황산염은 연골, 피부 등 다양한 조직에서 프로테오글리칸 형태로 존재하며 연골 보호, 콜라겐 섬유 조절 등의 기능을 수행하고 골관절염 치료에 사용되지만 효과에 대한 논란이 있는 물질이다. - 글리코사미노글리칸 - 헤파린
헤파린은 1916년 개의 간에서 발견된 항응고제로, 혈전 생성 예방과 성장을 억제하며 심부정맥혈전증, 폐색전증, 심장수술 등에 사용되지만, 헤파린 유도 혈소판 감소증과 안전성 문제가 제기되었고, 최근에는 다양한 질병 치료 연구와 저분자량 헤파린 등의 유도체가 개발되고 있다. - 동물 약 - 트리클라벤다졸
트리클라벤다졸은 벤즈이미다졸 계열 구충제로, 염소화된 벤젠 고리를 가지며 카바메이트 그룹이 없는 특징을 가지고, 간흡충 치료에 사용되며 Fasinex, Egaten 등의 브랜드로 판매되고 이버멕틴과 병용되기도 한다. - 동물 약 - 카펜타닐
카펜타닐은 펜타닐보다 100배 강력한 합성 오피오이드 진통제로, 수의학에서 대형 동물 진정제로 사용되지만 불법 유통으로 심각한 사회 문제를 야기하며, 극소량으로도 치명적인 과다 복용을 유발하여 각국에서 엄격히 규제된다.
| 히알루론산 - [화학 물질]에 관한 문서 | |
|---|---|
| 개요 | |
![]() | |
![]() | |
| IUPAC 명칭 | (1→4)-(2-아세트아미도-2-데옥시-D-글루코)-(1→3)-D-글루쿠로노글리칸 |
| 계통명 | 폴리{[(2S,3R,4R,5S,6R)-3-아세트아미도-5-하이드록시-6-(하이드록시메틸)옥산-2,4-디일]옥시[(2R,3R,4R,5S,6S)-6-카르복시-3,4-다이하이드록시옥산-2,5-디일]옥시} |
| 식별 정보 | |
| ChemSpider ID | None |
| PubChem CID | 3084050 |
| UNII | S270N0TRQY |
| EINECS | 232-678-0 |
| CAS 등록번호 | 9004-61-9 |
| ChEBI | 16336 |
| 속성 | |
| 분자식 | (C14H21NO11)n |
| 용해도 | 용해성 (나트륨염) |
| 약리학 | |
| ATC 코드 | D03AX05 |
| ATC 보충 코드 | M09AX01 R01AX09 S01KA01 |
| 위험성 | |
| LD50 | > 2400 mg/kg (마우스, 경구, 나트륨염) 4000 mg/kg (마우스, 피하, 나트륨염) 1500 mg/kg (마우스, 복강 내, 나트륨염) |
| 관련 화합물 | |
| 관련 화합물 | D-글루쿠론산 및 N-아세틸-D-글루코사민 (단량체) 히알루론산 나트륨 |
2. 생체 내 기능 및 역할
히알루론산은 인간을 포함한 척추동물의 몸 안에 널리 분포하며, 특히 피부, 관절, 눈의 유리체 등에 많이 존재한다.[82] 인체 내 히알루론산의 약 절반은 피부에 있다.[86] 뇌를 비롯한 다양한 조직의 세포 외 기질에서도 발견된다.
주요 기능 중 하나는 조직의 수분 유지와 보호이다. 피부에서는 수분을 보유하여 건조를 막고[82] 세포 조직을 보호하는 역할을 한다.[82] 관절에서는 수분 유지로 점성을 나타내어 마모를 줄이는 윤활 작용을 한다.[132] 또한 연골에서는 아그리칸, 링크 단백질 등과 비공유 결합 복합체를 형성하여 연골의 구조와 기능을 유지하는 데 필수적이다.
히알루론산은 자외선에 의해 콜라겐과 함께 손상될 수 있으며,[145] 노화 과정에서 피부 내 함량이 감소하여 피부의 수분 및 탄력 저하, 위축 등에 영향을 미칠 수 있다.[86][145] 노화에 의해 표피에서 히알루론산이 감소하고, 진피에서는 상대적으로 남아있는 경향이 있다.[86] 75세 노인의 피부 히알루론산 양은 19세 젊은이의 약 25% 수준으로 감소한다는 보고도 있다.[145]
세포 수준에서는 특정 세포 표면 수용체인 CD44와 결합하며,[88] 세포의 이동이나 증식 등 다양한 생리 과정 조절에 관여한다.
임상적으로는 악성 흉막 중피종의 종양 마커로 활용될 가능성이 있으며, 흉수 내 높은 히알루론산 수치는 이 질환을 시사할 수 있다 (단, 모든 경우에 상승하는 것은 아니다).[87] 또한 조로증 환자의 소변이나 간경변 환자의 혈청에서 농도가 증가하는 경우도 보고되었다. 한편, 일부 세균은 히알루론산과 유사한 구조의 당쇄를 합성하기도 한다.
2. 1. 생리적 기능
히알루론산은 세포 외 기질의 주요 구성 성분 중 하나로, 1970년대 후반까지는 주로 점성을 가진 분자, 세포 외 기질의 일부로 여겨졌다.[12] 현재는 다양한 생리적 기능이 밝혀졌으며, 인간을 포함한 척추동물의 피부, 관절, 눈의 유리체 등에 널리 분포한다.[82] 특히 인체 내 히알루론산의 절반가량은 피부에 존재하며[86], 뇌를 포함한 여러 조직의 세포 외 기질에서도 발견된다.관절에서의 역할히알루론산은 활액의 주요 구성 요소로서 액체의 점도를 높이며, 루브리신과 함께 관절의 주요 윤활 성분 중 하나이다. 또한, 연골 세포(연골 세포) 주변을 감싸는 형태로 존재하며, 아그레칸 및 HAPLN1(히알루론산 및 프로테오글리칸 연결 단백질 1)과 결합하여 크고 음전하를 띤 응집체를 형성한다. 이 응집체는 수분을 흡수하여 연골의 탄성, 즉 압축에 대한 저항력을 유지하는 데 필수적이다.[13] 연골 내에서 아그리칸, 링크 단백질과 비공유 결합을 통해 초고분자 복합체를 형성하여 연골 기능 유지에 매우 중요한 역할을 한다. 이를 통해 관절의 마모를 방지하는 역할도 한다.[132] 노화 과정에서 연골 내 히알루론산의 분자량(크기)은 감소하는 경향이 있으나, 전체 양은 오히려 증가할 수 있다.[13]
피부에서의 역할피부의 주요 구성 성분으로서 조직 복구 과정에 관여한다. 특히 진피에 풍부하게 존재하며[86], 뛰어난 수분 보유 능력으로 피부 건조를 방지하고[82] 세포 조직을 보호한다.[82] 피부가 과도한 UVB 광선에 노출되면 염증 반응(일광 화상)이 나타나며, 진피 세포는 히알루론산 생성을 중단하고 분해 속도를 증가시킨다. 이 과정에서 생성된 히알루론산 분해 산물은 UV 노출 후 피부에 축적된다.[15] 노화가 진행됨에 따라 표피의 히알루론산은 감소하지만, 진피에는 비교적 남아있는 편이다.[86] 75세 노인의 피부 히알루론산 양은 19세 젊은이의 약 25% 수준으로 감소하는 것으로 알려져 있으며[145], 이러한 히알루론산 감소는 노화에 따른 피부의 수분 및 탄력 저하, 위축 현상에 기여하는 것으로 여겨진다.[86] 자외선은 피부 내 히알루론산과 콜라겐을 손상시키는 요인 중 하나이다.[145]
기타 조직 및 세포 수준 기능인접한 조직 층 사이의 마찰을 줄이기 위해 근육 결합 조직에서 윤활 역할을 할 가능성이 제기되었다. 특정 유형의 섬유아세포가 히알루론산이 풍부한 기질을 생성하여 이러한 기능을 조절하는 데 관여할 수 있다.[14]
세포 외 기질에 풍부하게 존재하며 조직의 수분 균형(수력학) 유지뿐만 아니라, 세포의 이동 및 증식에도 기여한다. 이는 주요 수용체인 CD44[88] 및 RHAMM을 포함한 여러 세포 표면 수용체와의 상호작용을 통해 이루어진다. 림프구에서 CD44 발현 증가는 세포 활성화의 지표로 널리 받아들여지며, 히알루론산과 CD44의 상호작용은 종양 세포의 부착 및 성장에 기여할 수 있다.
면역, 염증 및 질병과의 관련성히알루론산 자체는 주로 CD44 수용체에 결합하지만, 분해된 히알루론산 조각들은 톨 유사 수용체 2(TLR2) 및 TLR4를 통해 대식세포와 수지상 세포에서 염증 신호를 유발할 수 있다는 증거가 있다. 이처럼 TLR과 히알루론산은 선천 면역 시스템에서 중요한 역할을 한다.
임상적으로 히알루론산은 악성 흉막 중피종의 종양 마커로 활용될 수 있다. 흉수에서 히알루론산 수치가 높게 나타나면 이 질환의 가능성을 시사하지만, 모든 경우에서 수치가 상승하는 것은 아니다.[87] 또한, 조로증 환자의 소변이나 간경변 환자의 혈청에서도 히알루론산 농도가 증가하는 경우가 보고되었다. 어떤 종류의 세균도 유사한 구조를 가진 당쇄를 합성하기도 한다.
생체 내 안정성히알루론산은 생체 내에서 비교적 빠르게 분해되는 특성이 있어, 치료제 등으로 활용 시 효과 지속 시간이 제한적이라는 단점이 있다.[16]
2. 2. 상처 치유
세포 외 기질의 주요 구성 요소인 히알루론산은 상처 치유의 주요 단계인 조직 재생, 염증 반응, 혈관 신생 과정에서 핵심적인 역할을 수행한다.[17]상처 치유 과정에서 피브린 응고를 대체하며 형성되는 육아 조직의 기질에는 히알루론산이 풍부하게 존재한다. 히알루론산은 육아 조직 내에서 세포의 이동을 촉진하고, 세포 증식을 도우며, 육아 조직 기질의 조직화를 돕는 등 조직 복구에 필수적인 다양한 세포 기능에 기여하는 것으로 여겨진다. 또한, 히알루론산이 염증 반응을 유발하는 역할 역시 육아 조직 형성에 중요한 요소로 작용한다.[17]
하지만 2023년 현재까지 화상, 당뇨병성 족부 궤양 또는 수술적 피부 복원과 같은 만성적인 상처 치유에 대한 히알루론산의 효과를 입증하는 임상 연구 증거는 아직 부족하거나, 제한적인 긍정적 결과만을 보여주고 있다.[17][18] 일부 연구에서는 히알루론산이 궤양 치유에 도움이 될 수 있으며 통증 조절에도 약간의 효과를 보일 수 있다는 제한적인 증거를 제시하기도 했다.[18]
2. 3. 세포 이동
육아 조직 형성에 필수적인 세포 이동 과정에서 히알루론산(HA)은 중요한 역할을 한다.[20] 육아 조직 형성 초기 단계의 세포 외 기질은 HA가 풍부하며, 이는 세포가 이동하기 좋은 환경으로 여겨진다.[20] HA는 세포 이동을 위한 열린 수화 기질을 제공한다.[20]HA는 단순히 이동 환경을 제공하는 것을 넘어, 세포 표면 수용체, 특히 CD44 및 RHAMM과의 상호작용을 통해 세포의 방향성 있는 이동과 관련 세포 메커니즘 제어를 매개한다.[20] 또한 HA는 세포 이동과 관련된 여러 단백질 키나아제와 연결되어 신호 전달에 관여한다. 예를 들어, 세포외 신호 조절 키나아제, 부착점 키나아제, 그리고 다른 비수용체 티로신 키나아제 등이 있다.[20]
태아 발달 과정에서도 HA의 역할이 나타나는데, 신경 능선 세포가 이동하는 경로는 HA가 풍부하다.[20] 연구에 따르면, HA 분해나 HA 수용체 점유를 차단하면 세포 이동이 적어도 부분적으로 억제될 수 있다.[20]
HA 합성은 세포 이동과 직접적으로 연관되어 있다.[20] HA는 세포막에서 합성되어 세포 외부 환경으로 방출되는데,[20] 이 과정에서 합성 부위 주변에 수화된 미세 환경이 만들어져 세포 분리를 용이하게 하고, 이는 세포 이동에 필수적이다.[20]
2. 4. 피부 건강
히알루론산은 조직 복구에 관여하는 피부의 주요 구성 요소이다.[15] 실제로 인체 내 히알루론산의 절반 가량이 피부에 존재한다.[86] 피부에서 히알루론산은 물을 붙잡아 두는 능력으로 피부 건조를 막고[82] 세포 조직을 보호하는 역할을 한다.[82]정상적인 피부에서 히알루론산은 세포가 활발히 증식하는 표피의 기저층에 비교적 높은 농도로 존재하며,[21] CD44 수용체 역시 이 부위에서 히알루론산과 함께 발견된다.[22] 표피에서 히알루론산의 주요 기능은 세포 외 기질의 공간을 유지하고, 영양분이 이동할 통로를 만들며, 피부에 수분을 공급하는 것이다. 또한 활성 산소 제거 기능을 통해 자외선과 같은 외부 유해 요인으로부터 피부를 보호하는 데 기여하는 것으로 여겨진다.
히알루론산은 표피 세포인 각질 세포의 증식과 이동을 조절하여 정상적인 표피 기능 유지뿐만 아니라 상처 치유 시 피부가 재생되는 과정(재상피화)에서도 중요한 역할을 한다. 상처 치유 과정에서는 상처 가장자리와 주변 결합 조직에서 히알루론산 발현이 증가하며, 이동하는 각질 세포에서 CD44 발현도 함께 나타난다.
그러나 피부가 과도한 UVB 광선에 노출되면 염증 반응(일광 화상)이 일어나고, 진피 세포들은 히알루론산 생성을 멈추고 오히려 분해 속도를 높인다. 이렇게 분해된 히알루론산 조각들은 자외선에 노출된 피부에 쌓이게 된다.[15] 또한 자외선은 피부 속 콜라겐과 함께 히알루론산을 손상시키는 요인이기도 하다.[145]
노화 역시 피부의 히알루론산 함량에 영향을 미친다. 나이가 들면서 표피의 히알루론산은 감소하는 반면, 진피에는 비교적 남아있는 경향을 보인다.[86] 75세 노인의 피부 속 히알루론산 양은 19세 젊은이의 약 25% 수준으로 줄어든다는 보고도 있다.[145] 이러한 히알루론산 감소는 노화에 따른 피부의 수분 및 탄력 저하, 그리고 피부 위축의 한 원인으로 지목된다.[86]
한편, 레티노산(비타민 A)은 피부 내 히알루론산 함량을 증가시킬 수 있으며,[21] 이는 레티노산이 피부 광노화를 개선하는 효과와 관련이 있을 수 있다. 히알루론산 함량 증가는 조직의 수분 보유력을 높이는 결과로 이어지기 때문이다.
3. 의학적 이용
히알루론산은 1960년대부터 의약품으로 사용되기 시작했으며[84], 현재 다양한 의학 분야에서 활용되고 있다. 대표적으로 골관절염 치료, 안과 질환 치료(예: 안구건조증, 수술 보조제), 피부 미용 목적의 주사형 필러 등으로 사용된다. 미국 식품의약국(FDA)은 무릎 관절염 치료를 위한 관절 내 주사[23]나 21세 이상 성인의 얼굴 주름 및 입술 주사 등 특정 미용 목적[93]으로 히알루론산 사용을 승인하였다.
히알루론산은 생체 적합성이 높고[30] 이론적으로 알레르기 위험이 낮으며[98], 과도하게 주입되거나 문제가 발생했을 경우 히알루로니다제라는 효소를 사용하여 분해할 수 있어[30][28] 비교적 안전하게 사용될 수 있는 특징이 있다. 이러한 장점 덕분에 과거 사용되던 다른 물질(예: 소 유래 콜라겐, 실리콘)을 대체하며 널리 사용되게 되었다.[98][99]
각 활용 분야별 구체적인 적용 방법, 효과, 안정성 및 부작용 등에 대한 자세한 내용은 이어지는 하위 섹션에서 다룬다.
3. 1. 골관절염 치료
히알루론산 주사는 골관절염 치료법 중 하나로 사용된다.[92] 특히 무릎 관절염 치료를 위해 관절 내 주사 형태로 사용하는 것이 미국 식품의약국의 승인을 받았다.[23]그러나 그 효과에 대해서는 연구 결과가 일관되지 않다. 2012년의 한 검토에서는 관련 연구들의 질이 낮고 유의미한 효과가 부족하며, 오히려 부작용 발생 가능성을 지적했다.[24] 또한 어깨의 상완골 관절염에 대한 2019년 메타 분석에서는 무작위 대조 시험(RCT) 5건과 기타 12건의 연구를 분석한 결과, 통증 감소 효과가 히알루론산 자체의 효과라기보다는 위약 효과일 가능성을 발견했다.[96]
반면, 2020년의 메타 분석에서는 고분자량 히알루론산(HA)의 관절 내 주사가 무릎 골관절염 환자의 통증과 기능을 모두 개선시킨다는 결과를 보고했다.[25] 무릎 관절의 경우, 무작위 대조 시험(RCT) 20건을 분석한 메타 분석 결과, 초기 골관절염 환자에게서 위약보다 나은 통증 완화 효과가 나타났다.[95] 기초 연구 단계에서는 분자량이 160만인 고분자 히알루론산이 저분자량 히알루론산보다 염증 유발성이 낮고 더 나은 치료 결과를 보인다는 보고도 있다.[97]
3. 2. 안과 질환 치료
히알루론산은 안구건조증 치료에 사용되어 왔다.[26] 특히 삼투압 보호제 등과 결합하여 사용될 경우 안구건조증에 효과가 있는 것으로 알려져 있다.[104]또한, 백내장 수술이나 각막 이식 수술 시 안구의 형태를 유지하기 위한 전방 유지제로 이용된다. 각결막 상피 장애와 같은 여러 안과 질환의 치료를 위한 점안액 형태로도 사용된다. 함몰된 눈 치료에도 히알루론산 주입이 사용되기도 한다.[94]
다만, 미용 등의 목적으로 눈 주위에 히알루론산을 주사할 경우, 부주의로 안혈관계에 주입되면 실명에 이를 수 있는 심각한 부작용이 발생할 수 있으므로 주의가 필요하다.[105]
3. 3. 피부 미용
히알루론산은 피부 관리 제품의 흔한 성분이며, 성형 수술에서 주사형 필러로 널리 사용된다.[27] 이는 피부의 주름 개선, 입술 확대, 함몰된 눈 치료 등 젊은 외모를 유지하기 위한 목적으로 활용되며[93][94], 미국 식품의약국(FDA)은 21세 이상 성인의 얼굴 주름 및 입술 주사에 대해 사용을 승인했다.[93] 팔자 주름, 미간, 입술, 손 등 다양한 부위에 적용될 수 있다.[103]히알루론산 필러는 일반적으로 뾰족한 주사 바늘이나 마이크로 캐뉼라를 사용하여 주입하는데, 일부 연구에서는 마이크로 캐뉼라 사용이 혈관 색전증 위험을 줄일 수 있다고 보고한다.[28][29] 히알루론산은 생체 적합성이 높고, 이론적으로 알레르기 위험이 거의 없으며[98], 과도하게 주입되었을 경우 히알루로니다제라는 효소를 사용하여 분해할 수 있어 가역적이라는 장점이 있다.[30][28][100][105] 이는 과거 사용되었던 소 유래 콜라겐 필러(알레르기 및 육아종 형성 위험)[98][99]나 분해가 어려워 심각한 부작용을 일으켰던 실리콘[98] 등과 비교되는 특징이다.
화장품 성분으로는 1979년부터 사용되었으며[84], 2000년대 이후 수술 없이 침습성이 낮은 미용 시술의 인기가 높아지면서 히알루론산 필러 시장은 크게 성장할 가능성이 있다.[100] 기존의 외과적 수술을 대체하여 눈 주위[90]나 코[91] 등의 미용 개선 목적으로 사용이 확대되고 있다. 인기 있는 브랜드로는 쥬비덤(Juvederm), 볼벨라(Volbella), 레스틸렌(Restylane), 테오시알(Teosyal) 등이 있다.[100]
히알루론산 주사는 즉각적인 효과를 보이지만, 시간이 지남에 따라 효과는 점차 사라지며[145], 신생 혈관 생성을 자극하여 피부를 탱탱하게 만들 가능성도 제기된다.[98] 입술 확대[101]나 팔자 주름 개선[102] 등에서 효과와 안전성이 여러 무작위 대조 시험(RCT)을 통해 보고되었으나, 윗눈꺼풀이나 코 등 일부 부위에 대한 연구는 아직 신뢰성이 부족하다는 지적도 있다.[103] 시술 비용은 비교적 높은 편이다.[145]
하지만 히알루론산 필러 시술에는 부작용 및 합병증의 위험이 따른다. 흔한 부작용으로는 주사 부위의 통증, 일시적인 붉어짐, 멍, 며칠간 지속되는 부기, 여드름과 유사한 발진 등이 있다.[105] 드물지만 심각한 부작용으로는 주사 시 신경이나 미세 혈관의 손상[31][32][33][34][28], 육아종성 이물 반응[35], 주사 후 수일에서 수개월 뒤 나타날 수 있는 과민 반응[105] 등이 있다. 특히 위험한 합병증은 필러가 동맥에 잘못 주입되어 발생하는 혈관 폐쇄로, 이는 피부 괴사(미간, 눈 밑, 코, 입술 등에서 발생 위험)[105]나 심한 경우 실명(안구 주변 혈관 주입 시 - 이마, 미간, 눈 주변, 코 등에서 발생 위험)[105]으로 이어질 수 있다.[31][32][33][34][28] 이론적으로는 강한 압력으로 주입 시 필러가 경동맥으로 들어가 뇌졸중을 유발할 가능성도 있다.[105] 특히, 오래 지속되도록 가공된 비생분해성, 비가역적 필러는 육아종이나 염증 발생 가능성이 더 높다고 여겨진다.[105] 심각한 유해 사례 발생률은 약 0.2% 정도로 보고된다.[103]
3. 4. 기타
- 방사선 치료 시 방사선에 노출될 조직을 보호하기 위해 조직을 밀어내는 용도로 사용되기도 한다. 예를 들어 일부 전립선암 치료에 활용된다.[36] 또한, 과산화수소와 혼합하여 암의 방사선 치료 효과를 높이는 증감제로 사용되기도 한다.
- 창상 치유에도 사용된다.[106][107] 다만, 분자량 정보가 없는 1996년의 오래된 연구에서는 오히려 상처 회복을 지연시켰다는 결과도 있다.[108]
- 치과 분야에서는 치주염, 치과 수술, 치은염, 구강 궤양 등에 사용되며, 2016년 조사에 따르면 대부분 긍정적인 결과를 보였다.[109] 특히 구강 궤양 치료에서 유망한 선택지로 여겨진다.[110]
- 안과 분야에서는 각결막 상피 장애 등 여러 안과 질환 치료를 위한 점안액이나, 백내장 및 각막 이식 수술 시 안구 내부 공간을 유지하는 용도로 사용된다.
- 자궁경부암의 방사선 치료로 인한 질 위축, 염증, 출혈 등의 부작용을 완화하기 위해 저분자 히알루론산과 비타민 A(레티닐 팔미테이트[112]), 비타민 E를 배합한 질 좌약 형태로 사용되기도 한다.[111][112]
- 위축성 질염 치료에도 사용되는데, 부작용은 적지만 에스트로겐 치료보다 효과적인지에 대해서는 추가 연구가 필요하다.[113]
- 대음순 확대 목적으로도 사용되나, 효과를 입증할 무작위 대조 시험은 부족하다.[114]
3. 5. 구조
히알루론산은 이당류의 중합체로, D-글루쿠론산과 N-아세틸-D-글루코사민 두 종류의 당으로 구성된 이당류가 기본 단위이다. 이 두 단위는 교대로 β-(1→4) 배당체 결합과 β-(1→3) 배당체 결합을 통해 길게 연결되어 직쇄상 구조를 형성한다.[82][83] 이 이당류 반복 단위는 최대 25,000개까지 이어질 수 있어 매우 고분자 화합물에 속한다.생체 내에서 히알루론산의 분자량은 일반적으로 5,000 Da에서 20,000,000 Da 범위에 달한다. 예를 들어, 인간의 활액에서는 평균 분자량이 3백만~4백만 Da[38] (다른 자료에서는 7백만 Da[3]로 언급)이며, 인간 제대에서 정제된 히알루론산의 분자량은 약 3,140,000 Da이다.[38] 다른 연구에서는 일반적인 분자량을 80만에서 120만 Da[85], 혹은 최대 200만 Da[119]까지로 추정하기도 한다.
히알루론산의 구조는 구성 이당류의 입체 화학적 특성 덕분에 부분적으로 에너지적으로 안정하다. 각 당 분자에서 부피가 큰 작용기들은 입체적으로 선호되는 위치에 배열되고, 상대적으로 작은 수소 원자들은 덜 선호되는 축 방향 위치를 차지한다. 또한, 콘드로이틴 황산과 같은 다른 글리코사미노글리칸들과는 달리 황산기가 결합되어 있지 않으며, 핵심 단백질(코어 단백질)에 결합하지 않는다는 특징이 있다.[85] 히알루론산은 규소를 포함하기도 하며, 그 함량은 체내 위치에 따라 350–1,900 μg/g 범위이다.[39]
물리적 특성으로는 뛰어난 수분 보유 능력을 들 수 있는데, 1그램의 히알루론산은 약 6L의 물을 함유할 수 있다.[121] 수용액 상태에서는 분자들이 서로 연관되어 일시적인 클러스터를 형성하는 경향이 있다.[40] 고분자 전해질로 분류되지만 특징적인 피크를 나타내지 않는데, 이는 분자 간의 특성적인 길이 척도가 없고 강한 용매화로 인해 프랙탈 클러스터가 형성됨을 시사한다.[40] 히알루론산은 히알루로니다제라는 효소에 의해 가수 분해될 수 있다.[83]
2010년대에는 특허로 상세 내용이 공개되지 않은 기술을 이용하여 히알루론산을 저분자화하는 방법이 개발되었다.[85] 이렇게 만들어진 저분자 히알루론산은 분자량이 411 Da에서 8만 Da까지 다양하다.[82] 분자량 411은 N-아세틸글루코사민과 글루쿠론산이 각각 하나씩 결합한 가장 작은 단위에 해당한다.[82] 효소(프로테아제 포함) 처리 방식을 통해 분자량이 약 1520 Da 및 5000 Da인 물질이 풍부한 히알루론산을 얻기도 한다.[82]
히알루론산은 1934년 소의 안구 유리체에서 처음 분리된 고분자량의 무코다당이다.[84]
3. 6. 생합성
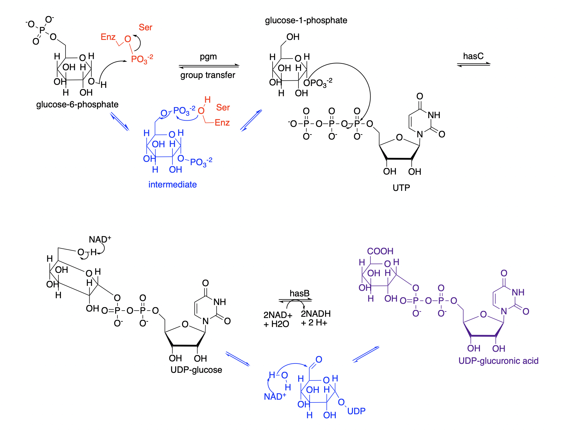
히알루론산은 막 단백질의 일종인 히알루론산 합성 효소(HAS)에 의해 합성된다. 척추동물은 HAS1, HAS2, HAS3 세 가지 유형의 HAS를 가지고 있다.[41][7] 이 효소들은 세포막에 위치하며, UDP-글루쿠론산(GlcUA)과 UDP-N-아세틸글루코사민(GlcNAc)이라는 두 가지 당 전구체를 이용하여 히알루론산 사슬을 길게 만든다.[48] 구체적으로 β4-GlcUA-β3-''N''-아세틸-D-글루코사민 이당류 단위를 반복적으로 신생 다당류에 추가하며,[48][41] 합성된 히알루론산은 ABC 수송체를 통해 세포 외부 공간으로 배출된다.[41] 섬유아세포와 유사하게 히알루론산을 합성하는 세포를 파시아사이트라고 부르기도 한다.[47][42]히알루론산 합성에 필요한 전구체인 UDP-글루쿠론산과 UDP-N-아세틸글루코사민은 포도당으로부터 만들어진다. 먼저 헥소키나아제가 포도당을 인산화하여 포도당-6-인산을 생성한다.[49] 이 포도당-6-인산은 두 가지 주요 경로를 통해 각각 UDP-N-아세틸글루코사민과 UDP-글루쿠론산으로 전환된다. 예를 들어, 포도당-6-인산은 ''hasE''(포스포글루코이소머라제) 효소에 의해 과당-6-인산으로 전환되거나, ''pgm''(α-포스포글루코뮤타제) 효소에 의해 포도당-1-인산으로 전환되어 각각 다른 효소 반응 경로를 거쳐 최종 전구체가 된다.[49] 최종적으로 HAS 효소(또는 세균의 경우 ''hasA'' 효소)가 UDP-글루쿠론산과 UDP-N-아세틸글루코사민을 결합시켜 히알루론산 중합체를 형성한다.[48][49]

히알루론산 합성은 4-메틸움벨리페론(하이메크로몬)에 의해 억제될 수 있다.[43] 이 물질은 다른 글리코사미노글리칸 합성은 억제하지 않고 히알루론산 합성만 선택적으로 억제하는 특징이 있어, 악성 종양 세포의 전이를 예방하는 데 유용할 가능성이 연구되고 있다.[44] 또한, 히알루론산 자체의 분자량에 따라 합성이 조절되기도 한다. 저분자량 히알루론산(500kDa 미만)은 합성을 억제하는 피드백 효과를 나타내지만, 고분자량 히알루론산(500kDa 초과)은 오히려 합성을 자극하는 것으로 나타났다 (인간 활막 섬유아세포 배양 실험 결과).[45]
최근에는 유전자 변형 기술을 이용하여 ''바실루스 서브틸리스''(Bacillus subtilis) 균주가 히알루론산을 생산하도록 만들었다. 이 방법은 특허받은 공정을 통해 인간에게 사용 가능한 등급의 히알루론산을 생산하는 데 활용된다.[46]
3. 7. 생합성 메커니즘
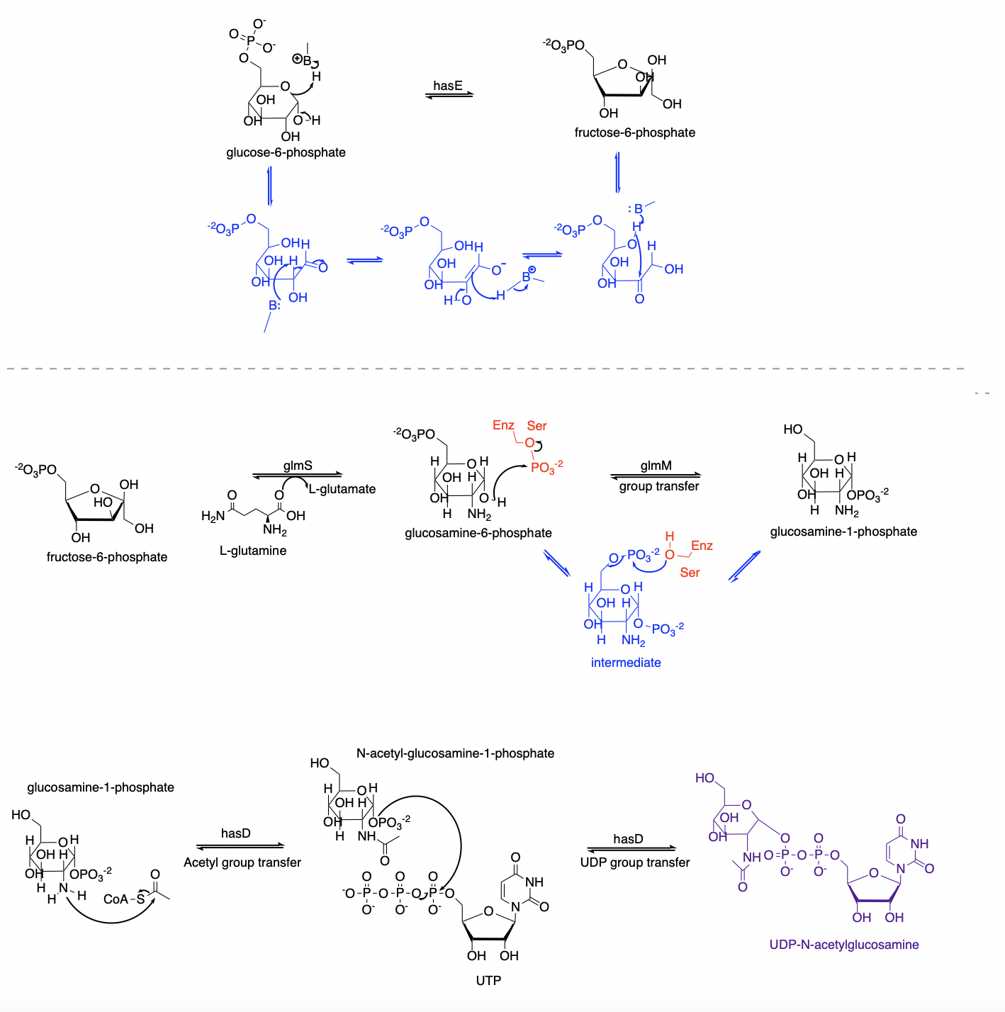
히알루론산(HA)은 막 단백질의 일종인 히알루론산 합성 효소(HAS)에 의해 합성된다. 척추동물은 HAS1, HAS2, HAS3 세 가지 유형의 HAS 효소를 가지고 있다.[41][7] 이 효소들은 세포막에서 D-글루쿠론산(GlcUA)과 N-아세틸-D-글루코사민(GlcNAc)의 이당류 반복 단위를 신생 다당류에 순차적으로 추가하여 HA 사슬을 길게 만든다.[41][48] 합성된 HA는 ABC 수송체를 통해 세포 외부 공간으로 배출된다.[41]HA 생합성은 세포질 내에서 이루어지며, 주요 전구체인 UDP-글루쿠론산과 UDP-N-아세틸글루코사민을 만드는 과정부터 시작된다. 이 두 전구체는 모두 포도당에서 유래한다. 먼저, 헥소키나아제 효소가 포도당을 인산화하여 포도당-6-인산을 생성한다.[49] 포도당-6-인산은 다음 두 가지 경로를 통해 각각의 전구체로 전환된다.
=== UDP-글루쿠론산 합성 ===
포도당-6-인산은 ''pgm'' (α-포스포글루코뮤타제) 효소에 의해 포도당-1-인산으로 전환된다.[49] 이후 ''hasC'' (UDP-글루코스 파이로포스포릴라제) 효소가 포도당-1-인산을 UDP-글루코스로 만들고, 마지막으로 ''hasB'' (UDP-글루코스 탈수소효소) 효소가 UDP-글루코스를 산화시켜 UDP-글루쿠론산을 합성한다.[48]
=== UDP-N-아세틸글루코사민 합성 ===

포도당-6-인산은 ''hasE'' (포스포글루코이소머라제) 효소에 의해 과당-6-인산으로 전환된다.[49] 이후 과정은 다음과 같다.
# ''glmS'' (아미도전이효소)가 과당-6-인산을 글루코사민-6-인산으로 전환한다.
# ''glmM'' (뮤테이스)가 글루코사민-6-인산을 글루코사민-1-인산으로 전환한다.
# ''hasD'' (아세틸전이효소)가 글루코사민-1-인산을 N-아세틸글루코사민-1-인산으로 전환한다.
# 마지막으로, ''hasD'' (피로인산분해효소)가 N-아세틸글루코사민-1-인산을 UDP-N-아세틸글루코사민으로 전환한다.[49]
=== 최종 중합 단계 ===

이렇게 생성된 두 전구체, UDP-글루쿠론산과 UDP-N-아세틸글루코사민은 히알루론산 합성 효소(HAS, 구체적으로는 ''hasA'' 유전자가 암호화하는 효소)에 의해 세포막에서 교대로 결합하여 긴 선형의 히알루론산 중합체를 형성한다.[48][49]
4. 분해
히알루론산은 히알루론산 분해 효소라고 불리는 효소군에 의해 분해될 수 있다. 인간에게는 최소 7가지 유형의 히알루론산 분해 효소 유사 효소가 있으며, 그중 일부는 종양 억제 유전자의 역할을 한다. 히알루론산이 분해되어 생성되는 올리고당과 매우 낮은 분자량의 히알루론산은 혈관 신생을 촉진하는 특성을 보인다.[50] 또한, 최근 연구에 따르면 원래의 고분자량 분자와 달리, 히알루론산 조각들은 조직 손상이나 피부 이식 시 대식세포나 수지상 세포에서 염증 반응을 유발할 수 있다.[51][52]
히알루론산은 효소 없이도 분해될 수 있는데, 이를 비효소적 반응이라고 한다. 여기에는 산성 및 알칼리성 가수 분해, 초음파 파쇄, 열 분해, 그리고 산화제에 의한 분해가 포함된다.[53]
5. 어원
'히알루론산'은 '유리질'을 뜻하는 그리스어 ''hyalos''(히알로스)와 우론산에서 유래되었다.[54] 이는 히알루론산이 처음으로 유리체에서 분리되었고 높은 우론산 함량을 가지고 있기 때문이다. '히알루론산염'은 히알루론산의 짝염기를 가리킨다. 분자는 일반적으로 ''생체 내''에서 다음이온 형태로 존재하기 때문에, 보통 ''히알루론산''으로 불린다.
6. 역사
히알루론산은 1934년 카를 마이어와 존 팔머가 소의 눈 유리체에서 처음으로 분리하였다.[55] 1970년대 후반, 인공 수정체 삽입 수술 후 내피 세포 손상으로 인한 심각한 각막 부종이 자주 발생하면서, 수술 중 내피 세포를 보호할 수 있는 점성이 있고 투명한 생리적 윤활제의 필요성이 제기되었다.[63][64]
이에 부응하여 최초의 히알루론산 생의학 제품인 헤알론(Healon)이 1970년대와 1980년대에 걸쳐 파마시아(Pharmacia)에 의해 개발되었다.[56] 헤알론은 눈 수술, 예를 들어 각막 이식, 백내장 수술, 녹내장 수술, 망막 박리 복원 수술 등에 사용하도록 승인받았다. 이후 다른 생의학 회사들도 안과 수술용 히알루론산 제품들을 개발하여 출시하였다.[57]
자연 상태의 히알루론산은 체내에서 비교적 빠르게 분해되는 단점이 있어(반감기가 짧음)[58], 의학적 활용도를 높이기 위해 분자 구조를 안정화하고 체내 지속 시간을 늘리는 다양한 기술들이 개발되었다. 여기에는 단백질 기반의 가교 결합 도입,[59] 소르비톨과 같은 자유 라디칼 제거 분자 첨가,[60] 그리고 NASHA(비동물성 안정화 히알루론산) 기술처럼 화학적 방법을 통해 히알루론산 사슬을 최소한으로 안정화하는 방법[61] 등이 포함된다.[62]
7. 기타 동물에서의 이용
히알루론산은 말의 관절 질환 치료, 특히 경주마나 과도한 노동을 하는 말의 관절 질환 치료에 사용된다.[66] 수근 관절과 비절 관절 기능 장애 치료에 효과가 있지만, 관절 패혈증이나 골절이 의심되는 경우에는 사용하지 않는다. 특히 말의 골관절염과 관련된 활막염 치료에 주로 쓰인다. 문제가 있는 관절에 직접 주사하거나, 질환 부위가 특정되지 않은 경우에는 정맥 주사로 투여할 수 있다. 관절에 직접 주사하면 해당 부위가 약간 따뜻해질 수 있으나, 치료 결과에는 영향을 미치지 않는다. 관절 내에 투여된 약물은 일주일 안에 완전히 몸에서 대사된다.[67]
캐나다에서는 HY-50 제제의 히알루론산을 말고기로 도축될 예정인 말에게 투여하는 것을 금지하고 있다.[68] 하지만 유럽에서는 동일한 제제가 말고기의 식용 가능성에 영향을 미치지 않는다고 보아 사용을 허용한다.[69]
8. 연구 동향
2022년 기준으로, 히알루론산은 COVID-19, 낭성 섬유증, 인플루엔자, 패혈증과 같은 다양한 호흡기 질환에서 상피 세포에 축적되어 폐 염증 기전의 가능한 매개체로 연구되고 있다.[70]
히알루론산의 높은 생체 적합성과 조직의 세포 외 기질에서 흔히 발견된다는 점은 조직 공학에서 생체 재료 조직 지지체로 사용될 가능성을 보여준다.[71] 특히, 연구를 통해 가교 결합을 통해 하이드로겔을 만들면 조직 공학 및 재생 의학 분야에서 히알루론산의 특성을 개선할 수 있다는 사실이 밝혀졌다. 가교 결합은 원하는 모양을 만들 수 있게 할 뿐만 아니라 치료 분자를 환부에 전달하는 데에도 도움을 줄 수 있다.[72] 히알루론산은 티올을 부착하여 가교 결합될 수 있으며(참고: 티오머, 상품명: Extracel, HyStem),[73] 헥사데실아미드(상품명: Hymovis),[74] 및 티라민(상품명: Corgel)을 통해서도 가능하다.[75] 또한 포름알데히드(상품명: Hylan-A) 또는 디비닐설폰(상품명: Hylan-B)으로 직접 가교 결합될 수도 있으며,[76] 공명 음향 믹서를 사용하여 약 1분에서 10분 동안 1,4-부탄디올 디글리시딜 에테르 (BDDE)라는 이관능성 가교 결합제를 사용하여 가교 결합될 수도 있다.[77]
히알루론산은 내피 세포의 시험관 내 증식을 자극하여 혈관 신생을 조절하는 능력이 있기 때문에, 혈관이 어떻게 형성되는지를 연구하기 위한 하이드로겔을 만드는 데 사용될 수 있다.[78]
연구에 따르면 비정상적인 히알루론산(HA) 대사는 종양 진행의 주요 요인으로 지목된다.[79][80] HA와 HA 단편이 종양 세포와 상호 작용하면, 하위 신호 전달 경로를 활성화하여 세포 증식, 부착, 이동 및 침윤을 촉진할 수 있다. 또한 소화기 암에서는 혈관 신생, 림프관 신생, 상피-간엽 변환, 줄기 세포 유사 특성 및 화학 방사선 저항성을 유도할 수 있다는 연구 결과가 있다.[81]
9. 보습 및 화장품
히알루론산은 화장품 등에 주요 보습 성분으로 첨가되어 피부 표면에서 수분을 유지하는 역할을 한다.[122] 과거에는 분자량이 80만에서 120만 달톤(Da)으로 매우 커서 피부에 직접 바르는 것만으로는 흡수가 어렵다고 여겨졌다.[82] 그러나 연구 결과, 분자량 크기와 관계없이 히알루론산을 피부에 도포했을 때 위약(가짜 약) 대비 피부 수분량과 탄력성이 개선되는 것으로 나타났다.[115]
피부 표피의 수분 보유 능력이 저하되면 미세한 주름, 소위 "잔주름"이 생기기 쉬운데, 히알루론산의 뛰어난 보습력은 이러한 건조성 잔주름을 예방하는 데 도움을 줄 수 있어 화장품에 널리 사용된다.[116] 히알루론산은 수분을 끌어당기고 유지하는 친수성 성질을 가지지만, 피지에 의해 쉽게 밀려날 수 있다는 단점도 있어, 일부 화장품 회사에서는 이를 보완하기 위한 가공 기술을 연구하기도 한다.[116] 예를 들어, 필러 제품인 테오시알을 만드는 테오키산(Teoxane)은 히알루론산 기반 화장품의 효과를 맹검 시험을 통해 입증하기도 했다.[117] 히알루론산이 함유된 화장수는 높은 보수력과 점성을 이용해 잘 터지지 않는 비눗방울을 만드는 데 활용되기도 한다.[118]
피부 흡수율을 높이기 위해 히알루론산의 분자량을 작게 만들거나(나노 기술)[121] 마이크로니들 기술을 활용하는 등[122] 다양한 연구와 기술 개발이 이루어지고 있다.
9. 1. 보습
화장품 등에 보습 성분으로 첨가되어 피부 표면에서의 보습 작용을 한다.[122] 히알루론산은 분자량이 80만에서 120만 달톤(Da)으로 매우 크기 때문에, 과거에는 피부에 직접 바르는 것으로는 흡수가 어렵다고 여겨졌다.[82] 그럼에도 불구하고, 분자량이 5만에서 200만 달톤까지 다양한 크기의 히알루론산을 피부에 발랐을 때, 모든 분자량에서 위약(가짜 약)을 사용한 경우보다 피부의 수분량과 탄력성이 개선되는 효과가 나타났다.[115]피부 표피의 수분 유지 능력이 떨어지면 흔히 '잔주름'이라 불리는 미세한 주름이 생기는데, 보습은 이러한 건조로 인한 잔주름을 예방하는 데 도움을 준다. 히알루론산은 뛰어난 보습력 덕분에 이러한 목적으로 화장품에 널리 사용되고 있다.[116] 히알루론산은 수분을 끌어당기고 유지하는 친수성 성질을 가지고 있어, 일부 화장품 회사에서는 피지에 의해 쉽게 밀려나지 않도록 가공하는 연구를 진행하기도 한다.[116] 예를 들어, 필러 제품인 테오시알을 제조하는 테오키산(Teoxane)에서는 히알루론산 기반 화장품도 만드는데, 얼굴의 절반에만 이 화장품을 바르는 방식의 맹검 시험을 통해 바르지 않은 쪽보다 수분량과 피부 질감이 개선됨을 확인했다.[117] 히알루론산이 함유된 화장수를 이용해 잘 터지지 않는 비눗방울을 만드는 놀이용 액체도 있는데, 이는 히알루론산의 높은 보수력과 점성을 활용한 것이다.[118]
히알루론산의 분자량 크기에 따른 피부 침투성을 조사한 연구들이 진행되었다. 2008년의 초기 연구에서는 돼지 귀 피부를 이용해 실험한 결과, 분자량이 작을수록 피부 침투성이 높다는 사실이 밝혀졌다. 5만 달톤 분자량의 히알루론산이 가장 침투성이 높았고, 30만, 80만, 150만 달톤 순으로 분자량이 커질수록 침투성은 감소했다.[119] 이후 사람을 대상으로 한 실험에서도 8주간 사용했을 때, 분자량이 작은 히알루론산(5만, 13만 달톤)일수록 피부 거칠기와 주름 개선 효과가 더 뚜렷하게 나타났다.[119] 2011년 연구에서는 5만 달톤과 13만 달톤 분자량의 히알루론산이 주름을 유의미하게 감소시키는 것으로 나타났으며, 이는 저분자 히알루론산의 높은 피부 침투성 때문으로 분석되었다.[115] 2014년에는 1천 달톤부터 200만 달톤까지 다양한 크기의 히알루론산을 혼합한 제품(피레리나, Fillerina)을 사용한 연구에서, 30일간 매일 사용 시 입술 볼륨이 약 8% (3시간 후)에서 14% (30일 후) 증가하고 주름의 양과 깊이가 각각 약 27%, 22% 감소하는 결과가 보고되었다.[120] 최근에는 일본의 기술로 히알루론산 분자량을 5nm까지 줄이는 나노화 기술이 개발되어, 피부 세포 사이의 틈보다 작게 만들어 피부 장벽을 통과할 수 있게 되었다.[121]
마이크로니들 기술은 히알루론산의 피부 침투성을 높이는 또 다른 방법으로 화장품에 활용되고 있다.[122] 이전에는 주사를 통해서만 피부 깊숙이 히알루론산을 전달할 수 있었고 이는 통증을 동반했지만, 히알루론산을 미세한 바늘 형태로 만들어 피부에 붙이는 마이크로니들은 통증 없이 피부로 흡수될 수 있게 한다.[123] 이러한 용해성 히알루론산 마이크로니들은 그 자체로 화장품으로 판매되고 있으며, 다른 약효 성분을 피부로 전달하는 의료용 패치(예: 백신)에도 활용이 검토되고 있다.[124] 한국인 여성을 대상으로 한 연구에서는, 용해성 히알루론산 마이크로니들을 주 2회씩 8주간 사용했을 때 눈가 주름이 개선되었으며, 특별한 피부 자극이나 통증 없이 안전하게 사용할 수 있음이 확인되었다.[125]
9. 2. 피부 침투
화장품 등에 보습 성분으로 첨가되어 피부 표면에서 보습 작용을 한다.[122] 히알루론산은 분자량이 80만에서 120만 정도로 매우 크기 때문에, 피부에 바르는 것만으로는 흡수가 어렵다고 오랫동안 여겨져 왔다.[82] 그럼에도 불구하고, 2011년 연구에서는 분자량이 5만에서 200만까지 다양한 5종류의 히알루론산을 피부에 발랐을 때, 어떤 분자량이든 가짜 약(위약)을 사용한 경우보다 피부의 수분량과 탄력성이 개선되는 결과가 나타났다.[115] 피부 표피의 수분 유지 능력이 떨어지면 미세한 주름, 소위 "잔주름"이 생기기 쉬운데, 히알루론산은 뛰어난 보습력으로 이러한 건조성 잔주름을 예방하는 데 도움을 줄 수 있어 화장품에 널리 사용된다.[116] 또한, 히알루론산은 수분을 끌어당기는 친수성이 강해 피지에 의해 쉽게 밀려나는 단점이 있어, 이를 개선하기 위한 연구도 화장품 회사들을 중심으로 이루어지고 있다.[116]히알루론산의 분자량 크기가 피부 침투성에 미치는 영향을 조사한 연구들이 진행되었다. 2008년에 발표된 초기 연구에서는 서로 다른 분자량의 히알루론산(삼중수소로 표지)을 돼지 귀 피부에 바르고 시간에 따른 침투 정도를 측정했다. 그 결과, 5시간 후보다 22시간 후에 더 깊이 침투했으며, 분자량이 작을수록 침투성이 높다는 사실이 밝혀졌다. 구체적인 22시간 후 침투량(플럭스 단위)은 아래 표와 같다.[119]
같은 해(2008년) 사람을 대상으로 5만, 13만, 30만 분자량의 히알루론산을 사용한 위약 대조 시험에서는 8주 후 분자량이 작을수록 피부의 거칠어짐이 눈에 띄게 줄어들고 주름이 완화되는 효과를 보였다.[119] 2011년에 진행된 후속 연구(5만~200만 분자량 대상)에서도 5만과 13만 분자량의 히알루론산에서 유의미한 주름 감소 효과가 관찰되었으며, 이는 저분자 히알루론산의 높은 피부 침투성 때문인 것으로 추정되었다.[115] 2014년에는 1천, 5천, 5만, 20만, 200만 등 다양한 분자량의 히알루론산을 혼합한 제품(피레리나)을 사용한 무작위 비교 시험이 이루어졌다. 그 결과, 제품 도포 3시간 후 입술 부피가 약 8% 증가했고, 매일 사용 30일 후에는 약 14% 증가했다. 또한, 30일 사용 후 주름의 양은 약 27%, 깊이는 약 22% 감소하는 효과를 보였다.[120] 최근에는 일본의 기술로 히알루론산 분자량을 5nm까지 줄이는 나노화 기술이 개발되었는데, 이는 피부 세포 사이의 간격보다 작아 피부 장벽을 통과할 수 있을 것으로 기대된다.[121]
한편, 마이크로니들 기술을 이용하여 히알루론산의 피부 침투성을 높이려는 시도도 활발하다.[122] 과거에는 히알루론산을 피부 깊숙이 전달하기 위해 통증을 동반하는 주사 시술이 필요했지만, 마이크로니들은 히알루론산을 미세한 바늘 형태로 만들어 통증 없이 피부를 통해 흡수될 수 있도록 돕는다.[123] 이렇게 히알루론산 자체를 녹는 마이크로니들 형태로 만든 화장품이 시판되고 있으며, 이 기술은 다른 약효 성분을 피부로 전달하기 위한 의료용 패치형 백신 등에도 응용될 가능성이 있다.[124] 한국인 여성을 대상으로 한 무작위 연구에서는, 일주일에 두 번 용해성 마이크로니들 형태의 히알루론산을 사용한 결과 8주 후에 눈가 주름이 개선되었으며, 특별한 피부 자극이나 통증 없이 안전하게 사용할 수 있음이 확인되었다.[125]
10. 경구 섭취
(내용 없음 - 하위 섹션에서 상세 내용을 다루므로 중복을 피하기 위해 본문 생략)
10. 1. 안전성
히알루론산은 일본 후생노동성에 의해 기존 첨가물로 인정받고 있다.[126] 안전성 측면에서는 LD50 값이 2400 mg/kg/day 이상(마우스, 경구 투여)으로 나타났으며[127], 변이원성 시험에서도 음성 결과가 확인되었다.[128] 무작위 비교 시험이나 동물 시험, 그리고 미국, 캐나다, 이탈리아, 벨기에 등 히알루론산이 판매되고 있는 여러 국가에서 유해한 영향에 대한 보고는 없는 것으로 알려져 있다.[132] 건강한 사람을 대상으로 일반적인 섭취량의 3배에 해당하는 1일 360mg을 4주간 계속 섭취하게 한 안전성 시험에서도 뚜렷하게 유해한 징후는 관찰되지 않았다.[129]10. 2. 흡수 및 효능
분자량이 10만 이상인 고분자 히알루론산은 장에서 거의 흡수되지 않지만[132], 장내 세균에 의해 저분자화되거나 인위적인 저분자화 가공을 거치면 흡수율이 높아질 수 있다.[132]일본에서는 경구 섭취용 히알루론산에 대해 기능성 표시 식품으로 '건조한 피부가 신경 쓰이는 분'을 위한 제품[130]이나, 닭벼슬 유래 히알루론산을 이용하여 '무릎 관절이 신경 쓰이는 분' (무릎 이질감 자각 증상 감소)을 위한 제품[131] 등이 허가되어 있다.
경구 섭취된 히알루론산의 무릎 통증 개선 효과에 대해서는 2008년부터 2015년 사이에 발표된 13건의 무작위 이중 맹검 시험에서 개선 효과가 보고되었다.[132] 연구에 사용된 섭취량은 하루 80mg에서 2520mg까지 다양했다.[132]
피부 보습 및 개선 효과에 대한 연구는 주로 일본에서 활발히 이루어졌으며, 경구 섭취 시 피부 수분량이 증가한다는 보고들이 있다.[84] 하지만 연구 결과에 대한 해석은 일관되지 않은 측면이 있다. 2014년 이후 발표된 여러 총설 논문[84](피어 리뷰 완료[135])이나 소비자청에 제출된 기능성 표시 식품 신청 서류[134][135][140] 등에서 인용된 유효 연구의 수가 다르거나, 동일한 연구(예: 도호쿠 대학 연구[139][141]) 결과를 두고 국립 건강·영양 연구소 등 기관별로 효과 유무에 대한 판단이 엇갈리기도 한다.[136]
다수의 연구는 건조한 피부를 가진 사람들을 대상으로 특정 분자량(예: 30만, 80만, 3.8만 등)의 히알루론산을 하루 120mg 또는 240mg 섭취했을 때 피부 수분량 개선[138][139][141][143]이나 주름 개선[145] 효과를 관찰했다고 보고했다. 한국인 여성을 대상으로 한 연구[144]나 백인을 대상으로 한 연구[133]도 진행된 바 있다. 반면, 하루 50mg의 저용량 섭취 연구에서는 유의미한 효과가 나타나지 않아[146], 효과 발현에 필요한 최소 섭취량이 존재할 가능성이 제기되었다.[140][136]
이러한 효과의 원리를 규명하기 위한 기초 연구도 진행 중이다. 2014년 쥐 실험에서는 표지화된 고분자(평균 92만) 히알루론산을 먹이에 섞어 투여했을 때, 약 90%가 소화관에서 흡수되어 24시간 후 혈중보다 피부 조직에 더 많이 분포하는 것이 관찰되었다.[147] 또한, 고분자 히알루론산이 장관의 TLR4 수용체에 결합하여 면역 반응 조절에 관여할 수 있다는 기초 연구 결과도 있다.[148]
참조
[1]
웹사이트
Hyaluronic Acid | Definition of Hyaluronic Acid by Oxford Dictionary
https://web.archive.[...]
[2]
웹사이트
Hyaluronic acid
https://www.wordrefe[...]
[3]
논문
Hyaluronan: its nature, distribution, functions and turnover
[4]
웹사이트
Exploring the Medical Value of Hyaluronic Acid (HA)
https://www.stanford[...]
Stanford Chemicals Company
[5]
논문
Hyaluronan catabolism: a new metabolic pathway
[6]
서적
Hyaluronan in cancer biology
https://archive.org/[...]
Academic Press/Elsevier
[7]
논문
Abnormal accumulation of hyaluronan matrix diminishes contact inhibition of cell growth and promotes cell migration
Proc Natl Acad Sci USA
[8]
논문
Biosynthesis of hyaluronic acid by Streptococcus
http://www.jbc.org/c[...]
[9]
논문
First report on genetic characterization, cell-surface properties and pathogenicity of '''Lactococcus garvieae''', emerging pathogen isolated from cage-cultured cobia ('''Rachycentron canadum''')
Hindawi Limited
2021-04-27
[10]
논문
Hyaluronic acid capsule is a virulence factor for mucoid group A streptococci
[11]
논문
Hyaluronic acid capsule and the role of streptococcal entry into keratinocytes in invasive skin infection
[12]
논문
Hyaluronan is not just a goo!
[13]
논문
Hyaluronic acid in human articular cartilage. Age-related changes in content and size
[14]
논문
Hyaluronan within fascia in the etiology of myofascial pain
[15]
논문
Differential regulation of hyaluronan metabolism in the epidermal and dermal compartments of human skin by UVB irradiation
[16]
웹사이트
Synvisc-One (hylan GF-20) – P940015/S012
https://www.fda.gov/[...]
2014-11-23
[17]
논문
Effectiveness of hyaluronic acid and its derivatives on chronic wounds: a systematic review
2016-10-02
[18]
논문
Dressings and topical agents containing hyaluronic acid for chronic wound healing
2023-07-27
[19]
웹사이트
Dermal Fillers Approved by the Center for Devices and Radiological Health
https://www.fda.gov/[...]
U S Food and Drug Administration
2019-03-11
[20]
논문
Hyaluronic acid in inflammation and tissue regeneration.
https://www.woundsre[...]
[21]
논문
Hyaluronate accumulation in human epidermis treated with retinoic acid in skin organ culture
[22]
논문
Ultrastructural analysis of human epidermal CD44 reveals preferential distribution on plasma membrane domains facing the hyaluronan-rich matrix pouches
[23]
웹사이트
Hyaluronic acid injections for osteoarthritis
https://www.arthriti[...]
US Arthritis Foundation
2019-03-16
[24]
논문
Viscosupplementation for osteoarthritis of the knee: a systematic review and meta-analysis
https://www.research[...]
[25]
논문
Differentiating factors of intra‑articular injectables have a meaningful impact on knee osteoarthritis outcomes: a network meta‑analysis
[26]
논문
Over the counter (OTC) artificial tear drops for dry eye syndrome
2016
[27]
웹사이트
Hyaluronic Acid – Uses, Side Effects, And More
https://www.webmd.co[...]
WebMD
2023-02-01
[28]
논문
Comparison of the Microstructures and Properties of Different Microcannulas for Hyaluronic Acid Injection
2018-08
[29]
논문
Blindness following Cosmetic Injections of the Face
Ovid Technologies (Wolters Kluwer Health)
[30]
논문
A Scoping Review of Hyaluronidase Use in Managing the Complications of Aesthetic Interventions
2022
[31]
논문
Management of Complications and Sequelae with Temporary Injectable Fillers
Ovid Technologies (Wolters Kluwer Health)
[32]
논문
New Lip and Wrinkle Fillers
Elsevier BV
[33]
간행물
Rejuvenation of the lip and perioral areas
Decker
[34]
논문
Complications of hyaluronic acid fillers and their managements
Medknow
[35]
논문
Review of long-term adverse effects associated with the use of chemically-modified animal and nonanimal source hyaluronic acid dermal fillers.
2007
[36]
논문
The role of radioprotective spacers in clinical practice: a review
Quant Imaging Med Surg
2018
[37]
논문
Biotechnological production of hyaluronic acid: a mini review
2016-02-15
[38]
논문
Differential effects of reactive oxygen species on native synovial fluid and purified human umbilical cord hyaluronate
[39]
논문
A bound form of silicon in glycosaminoglycans and polyuronides
1973-05-01
[40]
논문
Disappearance of the polyelectrolyte peak in salt-free solutions
2020-03-12
[41]
논문
Hyaluronan export by the ABC transporter MRP5 and its modulation by intracellular cGMP
[42]
논문
Hyaluronan within fascia in the etiology of myofascial pain
2011-10-02
[43]
논문
A novel mechanism for the inhibition of hyaluronan biosynthesis by 4-methylumbelliferone
[44]
논문
A hyaluronan synthase suppressor, 4-methylumbelliferone, inhibits liver metastasis of melanoma cells
[45]
논문
The synthesis of hyaluronic acid by human synovial fibroblasts is influenced by the nature of the hyaluronate in the extracellular environment
1987
[46]
웹사이트
Novozymes Biopharma {{!}} Produced without the use of animal-derived materials or solvents
http://www.biopharma[...]
2010-10-19
[47]
논문
The fasciacytes: A new cell devoted to fascial gliding regulation
2018-04-14
[48]
논문
Biotechnological production of hyaluronic acid: a mini review
2016-06
[49]
논문
Sustainability metrics for real case applications of the supply chain network design problem: A systematic literature review
2019-09-10
[50]
논문
Oligosaccharides of hyaluronan induce angiogenesis through distinct CD44 and RHAMM-mediated signalling pathways involving Cdc2 and gamma-adducin
[51]
논문
Pathophysiology of the peritoneal membrane during peritoneal dialysis: the role of hyaluronan
[52]
논문
The role of hyaluronan degradation products as innate alloimmune agonists
[53]
논문
The many ways to cleave hyaluronan
2007-11-01
[54]
논문
The Polysaccharide of the Vitreous Humor
1934-12
[55]
논문
Hyaluronic acid (hyaluronan): a review
2008-09-05
[56]
웹사이트
Ophthalmic Viscosurgical Devices: History
https://www.aao.org/[...]
2021-12-03
[57]
웹사이트
Hyaluronic acid is just getting started
https://cen.acs.org/[...]
2021-05-02
[58]
논문
Turnover of hyaluronan in synovial joints: elimination of labelled hyaluronan from the knee joint of the rabbit
[59]
논문
Hylan G-F 20 single-injection formulation
[60]
웹사이트
Home
https://www.anteis.c[...]
[61]
논문
Bio-Revitalization: Effects of NASHA on Genes Involving Tissue Remodeling.
2015-08
[62]
웹사이트
DUROLANE
https://www.oakneepa[...]
[63]
논문
Use of Na-Hyaluronate during intraocular lens implantation in rabbits
[64]
서적
Healon: A Comprehensive Guide to its Use in Ophthalmic Surgery
J Wiley
[65]
서적
An Introduction to Biomaterials
[66]
웹사이트
What Are the Benefits of Hyaluronic Acid for Horse Health
https://www.stanford[...]
Stanford Chemical Company (SCC)
2024-05-27
[67]
웹사이트
Dechra Veterinary Products
https://www.dechra.c[...]
[68]
웹사이트
Hy-50 (Canada) for Animal Use
https://www.drugs.co[...]
[69]
웹사이트
Dechra Veterinary Products
https://www.dechra.c[...]
[70]
논문
The role of hyaluronan synthesis and degradation in the critical respiratory illness COVID-19
2022-06
[71]
논문
Crosslinked hyaluronic acid hydrogels: a strategy to functionalize and pattern
[72]
논문
In situ crosslinkable hyaluronan hydrogels for tissue engineering
[73]
논문
Thiolated Hyaluronic Acid as Versatile Mucoadhesive Polymer: From the Chemistry Behind to Product Developments-What Are the Capabilities?
2018
[74]
논문
A hexadecylamide derivative of hyaluronan (HYMOVIS®) has superior beneficial effects on human osteoarthritic chondrocytes and synoviocytes than unmodified hyaluronan
[75]
논문
Synthesis and characterization of tyramine-based hyaluronan hydrogels
[76]
서적
Encyclopedia of Biomaterials and Biomedical Engineering
https://archive.org/[...]
Informa Healthcare
[77]
웹사이트
Method for crosslinking hyaluronic acid using resonant acoustic mixing
https://patents.goog[...]
2023-03-29
[78]
논문
Hyaluronan and human endothelial cell behavior
[79]
논문
Inhibition of hyaluronic acid degradation pathway suppresses glioma progression by inducing apoptosis and cell cycle arrest
[80]
웹사이트
How is Hyaluronic Acid Related to Tumor Development?
https://www.stanford[...]
2023-11-26
[81]
논문
Hyaluronic acid in digestive cancers
[82]
논문
鶏冠由来低分子ヒアルロン酸の化学組成とヒト肌への臨床試験による保湿効果
http://id.nii.ac.jp/[...]
2011
[83]
문서
医学大辞典
南山堂
2006
[84]
논문
Ingested hyaluronan moisturizes dry skin
https://doi.org/10.1[...]
2014-07
[85]
논문
シイタケおよびFlammulina populicola培養への低分子ヒアルロン酸を主成分とするニワトリ鶏冠分解物の応用
https://doi.org/10.2[...]
2011
[86]
논문
Use of ivermectin in treatment of Aelurostrongylus abstrusus and Toxocara cati infection in a cat
https://doi.org/10.4[...]
1987-05
[87]
간행물
血胸で発症し診断に苦慮した肉腫型悪性胸膜中皮腫の1剖検例
https://web.archive.[...]
2006
[88]
논문
Matrix hyaluronan-activated CD44 signaling promotes keratinocyte activities and improves abnormal epidermal functions
2014-07
[89]
웹사이트
ヒアロコラーゲン®(Hyarocollagen®)
https://www.ls-corpo[...]
[90]
논문
Non-aesthetic indications for periocular hyaluronic acid filler treatment: a review
2018-06
[91]
논문
Evaluation and Proportion in Nasal Filling with Hyaluronic Acid
2018-04
[92]
논문
変形性関節症治療の国内外のガイドライン
https://doi.org/10.1[...]
2016
[93]
논문
Hyaluronic Acid
https://www.ncbi.nlm[...]
2018-01-31
[94]
웹사이트
くぼみ目の治療
https://www.ozi-skin[...]
2021-11-26
[95]
논문
The Impact of Excluding Patients with End-Stage Knee Disease in Intra-Articular Hyaluronic Acid Trials: A Systematic Review and Meta-Analysis
2019-01
[96]
논문
Outcomes of hyaluronic acid injections for glenohumeral osteoarthritis: a systematic review and meta-analysis
2019-03
[97]
논문
A Systematic Study of the Effect of Different Molecular Weights of Hyaluronic Acid on Mesenchymal Stromal Cell-Mediated Immunomodulation
https://journals.plo[...]
2016
[98]
논문
Efficacy and safety of new dermal fillers
https://doi.org/10.2[...]
2016-11
[99]
논문
ヒアルロン酸およびコラーゲン注入後の皮膚組織反応の検討
2006-12
[100]
뉴스
New Trends of Lip Filler Market with Worldwide Industry Analysis to 2026
https://theguardiant[...]
2019-03-25
[101]
논문
Effectiveness and safety of hyaluronic acid fillers used to enhance overall lip fullness: A systematic review of clinical studies
2019-01
[102]
논문
Effectiveness and Safety of Hyaluronic Acid Gel with Lidocaine for the Treatment of Nasolabial Folds: A Systematic Review and Meta-analysis
2018-08
[103]
논문
Systematic review of clinical trials of small- and large-gel-particle hyaluronic acid injectable fillers for aesthetic soft tissue augmentation
2013-02
[104]
논문
Combination of hyaluronic acid, carmellose, and osmoprotectants for the treatment of dry eye disease
https://doi.org/10.2[...]
2018
[105]
논문
Beware What You Inject: Complications of Injectables-Dermal Fillers
https://doi.org/10.4[...]
2018
[106]
웹사이트
Hylase Wound Gel
https://www.drugs.co[...]
drugs.com
2019-04-06
[107]
논문
Hyaluronic acid: a unique topical vehicle for the localized delivery of drugs to the skin
2005-05
[108]
논문
Hyaluronic acid impedes reepithelialization of skin graft donor sites
1996
[109]
논문
Hyaluronic acid: Perspectives in dentistry. A systematic review
https://doi.org/10.1[...]
2016-12
[110]
논문
Systematic review: the efficacy of topical hyaluronic acid on oral ulcers
2017-12
[111]
논문
Hyaluronic acid and vitamins are effective in reducing vaginal atrophy in women receiving radiotherapy
2015-12
[112]
웹사이트
SANTES
https://www.loliphar[...]
2019-02-14
[113]
논문
Comparison of the effect of hyaluronic acid and estrogen on atrophic vaginitis in menopausal women: A systematic review
2019-02
[114]
논문
Labia Majora Augmentation: A Systematic Review of the Literature
2017-10
[115]
논문
Efficacy of cream-based novel formulations of hyaluronic acid of different molecular weights in anti-wrinkle treatment
2011-09
[116]
논문
ヒアルロン酸を内包したPLGAナノ粒子による抗シワ効果検証
https://doi.org/10.2[...]
2018
[117]
논문
Prospective, Randomized, Investigator-Blinded, Split-Face Evaluation of a Topical Crosslinked Hyaluronic Acid Serum for Post-Procedural Improvement of Skin Quality and Biomechanical Attributes
2018-04
[118]
간행물
シャボン玉を弾ませよう
星の環会
2007-04
[119]
논문
Low Molecular Weight Hyaluronic Acid: Its Effects on Epidermal Gene Expression & Skin Ageing
https://pdfs.semanti[...]
2008-11
[120]
논문
Anti-aging and filling efficacy of six types hyaluronic acid based dermo-cosmetic treatment: double blind, randomized clinical trial of efficacy and safety
https://onlinelibrar[...]
2014-12
[121]
논문
Efficacy of a New Topical Nano-hyaluronic Acid in Humans
https://www.ncbi.nlm[...]
2014-03
[122]
논문
自己溶解型マイクロニードル技術の化粧品領域への応用
https://doi.org/10.2[...]
2015
[123]
웹사이트
マイクロニードル技術 (生体溶解型マイクロニードル技術)
http://www.g-mark.or[...]
グッドデザイン賞
2019-02-10
[124]
논문
マイクロニードル製品化への道程
https://quanis.jp/pd[...]
2009-07-01
[125]
논문
Hyaluronic acid microneedle patch for the improvement of crow's feet wrinkles
2017-11
[126]
문서
既存添加物の安全性評価に関する調査研究
https://www.ffcr.or.[...]
1996
[127]
웹사이트
United States National Library of Medicine
http://chem.sis.nlm.[...]
[128]
논문
ヒアルロン酸ナトリウム(SH)の変異原性試験
https://mol.medicalo[...]
1992
[129]
논문
ヒアルロン酸含有サプリメントの健常者に対する過剰摂取による安全性試験
http://lifescience.c[...]
2009
[130]
웹사이트
機能性表示食品「ヒアロモイスチャー240」を新発売
https://www.kewpie.c[...]
キューピー
2015-05-28
[131]
웹사이트
様式Ⅰ:届出食品の科学的根拠等に関する基本情報(一般消費者向け)
https://www.fld.caa.[...]
2018-07-26
[132]
논문
Oral hyaluronan relieves knee pain: a review
https://nutritionj.b[...]
2016-01
[133]
논문
Ingestion of an Oral Hyaluronan Solution Improves Skin Hydration, Wrinkle Reduction, Elasticity, and Skin Roughness: Results of a Clinical Study
https://doi.org/10.1[...]
2017-10
[134]
보고서
届出食品の科学的根拠等に関する基本情報(一般消費者向け)
https://www.fld.caa.[...]
消費者庁
2019-02-13
[135]
보고서
おはだうるおう ライスミルク 機能性の科学的根拠に関する点検表
https://www.fld.caa.[...]
消費者庁
2019-04-05
[136]
웹사이트
ヒアルロン酸
null
2016-06-16
[137]
논문
乾燥肌に対するヒアルロン酸含有食品の臨床効果 顕微鏡的皮膚表面解析装置による客観的評価結果
2001
[138]
논문
Ingestion of hyaluronans (molecular weights 800 k and 300 k) improves dry skin conditions: a randomized, double blind, controlled study
https://www.ncbi.nlm[...]
2015-01
[139]
논문
乾燥肌および肌荒れに対するヒアルロン酸含有食品の臨床効果
日本美容皮膚科学会
2002
[140]
보고서
ヒアルロン酸Cゼリー 表示しようとする機能性に関する説明資料(研究レビュー)
https://www.earth.jp[...]
アース製薬
2019-04-05
[141]
논문
乾燥肌の皮膚水分値に対するヒアルロン酸含有食品の臨床効果
日本美容皮膚科学会
2007
[142]
논문
乾燥肌における微生物発酵ヒアルロン酸含有食品の経口摂取による改善効果
2009
[143]
논문
低分子ヒアルロン酸の経口摂取における美肌効果 プラセボ対照二重盲検並行群間比較試験
http://www.lifescien[...]
2015
[144]
논문
ヒアルロン酸の皮膚に対するシワ改善効果など美容効果について
2007-03
[145]
논문
Oral hyaluronan relieves wrinkles: a double-blinded, placebo-controlled study over a 12-week period
https://www.dovepres[...]
2017
[146]
논문
N-アセチルグルコサミンの乾燥肌に対する臨床効果の検討
日本美容皮膚科学会
2008
[147]
논문
Dietary hyaluronic acid migrates into the skin of rats
https://www.hindawi.[...]
2014
[148]
논문
Oral administration of high molecular weight hyaluronan (900 kDa) controls immune system via Toll-like receptor 4 in the intestinal epithelium
[149]
ChemID
Hyaluronate Sodium
2009-02-12
[150]
저널
Hyaluronan: its nature, distribution, functions and turnover
[151]
저널
Differential effects of reactive oxygen species on native synovial fluid and purified human umbilical cord hyaluronate
[152]
저널
Hyaluronan catabolism: a new metabolic pathway
[153]
웹사이트
Exploring the Medical Value of Hyaluronic Acid (HA)
https://www.stanford[...]
[154]
서적
Hyaluronan in cancer biology
https://archive.org/[...]
Academic Press/Elsevier
[155]
저널
Abnormal accumulation of hyaluronan matrix diminishes contact inhibition of cell growth and promotes cell migration
Proc Natl Acad Sci USA
[156]
저널
Biosynthesis of hyaluronic acid by Streptococcus
http://www.jbc.org/c[...]
[157]
저널
First report on genetic characterization, cell-surface properties and pathogenicity of '''Lactococcus garvieae''', emerging pathogen isolated from cage-cultured cobia ('''Rachycentron canadum''')
Hindawi Limited
2021-04-27
[158]
저널
Hyaluronic acid capsule is a virulence factor for mucoid group A streptococci
[159]
저널
Hyaluronic acid capsule and the role of streptococcal entry into keratinocytes in invasive skin infection
본 사이트는 AI가 위키백과와 뉴스 기사,정부 간행물,학술 논문등을 바탕으로 정보를 가공하여 제공하는 백과사전형 서비스입니다.
모든 문서는 AI에 의해 자동 생성되며, CC BY-SA 4.0 라이선스에 따라 이용할 수 있습니다.
하지만, 위키백과나 뉴스 기사 자체에 오류, 부정확한 정보, 또는 가짜 뉴스가 포함될 수 있으며, AI는 이러한 내용을 완벽하게 걸러내지 못할 수 있습니다.
따라서 제공되는 정보에 일부 오류나 편향이 있을 수 있으므로, 중요한 정보는 반드시 다른 출처를 통해 교차 검증하시기 바랍니다.
문의하기 : help@durumis.com
