알칼로이드
"오늘의AI위키"의 AI를 통해 더욱 풍부하고 폭넓은 지식 경험을 누리세요.
1. 개요
알칼로이드는 질소를 포함하는 염기성 유기 화합물로, 주로 식물에서 발견되며 다양한 생물학적 활성을 나타낸다. 1819년 독일의 약제사 카를 프리드리히 빌헬름 마이스너에 의해 처음 명명되었으며, 라틴어 'alkali'(식물 재)와 그리스어 접미사 'eidos'(~와 같은)에서 유래되었다. 알칼로이드는 구조에 따라 진정 알칼로이드, 원시 알칼로이드, 유사 알칼로이드 등으로 분류되며, 아미노산이 생합성 전구체로 작용한다.
알칼로이드 함유 식물은 고대부터 약용, 기분 전환, 종교 의식 등에 사용되었으며, 19세기에는 모르핀, 퀴닌, 스트리키니네 등 주요 알칼로이드가 발견되었다. 알칼로이드는 식물의 방어 기작으로 작용하며, 일부 동물은 이를 해독하거나 이용하기도 한다.
의학 분야에서 알칼로이드는 진통, 항부정맥, 항암 등의 효과를 나타내며, 농업에서는 살충제로 사용되기도 했다. 또한 코카인, 카페인, 메스칼린 등은 향정신성 물질로 사용되기도 한다.
더 읽어볼만한 페이지
- 유기화학에 관한 - 에스터
에스터는 옥소산의 수산화기에서 수소 원자가 유기 원자단으로 치환된 화합물로, 카복실산 에스터가 대표적이며, 자연계에 널리 분포하고 향료 및 향수 산업에 사용되며 폴리에스터와 같은 중합체에서도 발견된다. - 유기화학에 관한 - 안트라센
안트라센은 석탄 타르에서 발견되거나 유기 합성으로 생산되는 삼환 방향족 탄화수소로, 안트라퀴논 생산의 전구체, 유기 반도체, 섬광체, 목재 방부제, 살충제, 코팅제 등으로 사용되지만 피부 자극성이 있어 유럽화학물질청의 고위험 우려 물질 후보 목록에 포함되어 있다. - 알칼로이드 - 아편제
아편제는 양귀비에서 추출되는 벤질이소퀴놀린 알칼로이드 계열 약물로, 모르핀과 유사한 약리 작용을 하며 진통 효과가 강력하지만 중독, 호흡 억제 등의 부작용을 동반할 수 있어 주의가 필요한 약물이다. - 알칼로이드 - 메스암페타민
메스암페타민은 강력한 중추신경 자극제로, 필로폰 또는 히로뽕으로도 알려져 있으며 각성 및 피로 해소 목적으로 사용되기도 하지만, 중독성과 심각한 부작용 때문에 엄격히 규제되는 물질이다. - 생화학에 관한 - 미토콘드리아 DNA
미토콘드리아 DNA(mtDNA)는 세포 호흡에 필수적인 유전 정보를 담고 있는 미토콘드리아 내의 이중 가닥 환상 DNA로서, 동물의 경우 약 16,000개의 염기쌍과 37개의 유전자로 구성되며, 모계 유전, 높은 돌연변이율, 질병 및 노화와의 연관성 등의 특징을 가진다. - 생화학에 관한 - 단백질
단백질은 아미노산 중합체로 생체 구조 유지와 기능에 필수적이며, 아미노산 서열에 따라 고유한 3차원 구조를 형성하여 효소, 구조, 수송, 저장, 수축, 방어, 조절 단백질 등 다양한 기능을 수행하고, 인체 내에서 건강 유지와 질병 예방에 중요한 역할을 하는 필수 영양소이다.
| 알칼로이드 | |
|---|---|
| 기본 정보 | |
![]() | |
| 정의 | 질소 원자를 포함하는 염기성 유기 화합물 |
| 특징 | 주로 식물에 존재 생리 활성 독성 또는 약리 작용 |
| 주요 기능 | 식물에서 방어 메커니즘 인간과 동물에서 다양한 생리 활성 작용 |
| 유형 | 아민 아미드 헤테로사이클 화합물 |
| 구조적 특징 | 질소 원자 포함 (보통 고리 구조) 복잡한 분자 구조 다양한 작용기 |
| 작용 기전 | 신경계에 작용 효소 억제 세포 수용체 상호 작용 |
| 발견 및 역사 | |
| 최초 발견 | 19세기 초 |
| 초기 연구 | 식물 추출물에서 약리 활성 성분 분리 |
| 어원 | '알칼리'와 유사하다는 의미에서 명명 |
| 생물학적 역할 | |
| 식물에서의 역할 | 초식 동물에 대한 방어 미생물 공격 방어 성장 조절 |
| 동물에서의 역할 | 신경계 작용 (흥분, 억제) 진통 작용 항균 작용 대사 조절 |
| 의약적 응용 | |
| 의약품 | 진통제 (예: 모르핀, 코데인) 항암제 (예: 빈크리스틴, 빈블라스틴) 항균제 항콜린제 신경 안정제 알츠하이머병 치료제 당뇨병 치료제 |
| 약리학적 작용 | 진통 마취 항균 항암 혈압 조절 신경 전달 물질 조절 |
| 독성 및 부작용 | |
| 독성 | 일부 알칼로이드는 강한 독성을 가짐 과량 복용 시 중독 유발 |
| 부작용 | 구토 설사 신경계 부작용 호흡 곤란 심혈관계 부작용 |
| 중독 증상 | 환각 발작 호흡 마비 |
| 주요 알칼로이드 | |
| 아편 알칼로이드 | 모르핀, 코데인, 테바인, 파파베린 |
| 트로판 알칼로이드 | 아트로핀, 스코폴라민, 코카인 |
| 퀴놀린 알칼로이드 | 퀴닌, 퀴니딘 |
| 이소퀴놀린 알칼로이드 | 파파베린, 베르베린, 에메틴 |
| 인돌 알칼로이드 | 스트리크닌, 빈크리스틴, 빈블라스틴, 세로토닌 |
| 이미다졸 알칼로이드 | 필로카르핀 |
| 퓨린 알칼로이드 | 카페인, 테오필린, 테오브로민 |
| 테르페노이드 알칼로이드 | 아코니틴 |
| 스테로이드 알칼로이드 | 솔라닌 |
| 분류 | |
| 화학적 분류 | 질소 헤테로사이클 유형에 따라 분류 아민, 아미드, 4차 암모늄염 |
| 생합성 경로에 따른 분류 | 아미노산 유래 테르페노이드 유래 기타 |
| 식물 분류군에 따른 분류 | 특정 식물과 관련된 알칼로이드 |
| 추출 및 분석 | |
| 추출 방법 | 용매 추출 증류 크로마토그래피 |
| 분석 방법 | 박층 크로마토그래피 (TLC) 고성능 액체 크로마토그래피 (HPLC) 질량 분석법 (MS) 핵자기 공명 분광법 (NMR) |
| 추가 정보 | |
| 관련 화합물 | 플라보노이드 테르페노이드 페놀 화합물 |
| 참고 문헌 | 알칼로이드 - 화학 백과사전 분자, 임상 및 환경 독성학 알칼로이드의 독성 효과 알칼로이드: 화학과 생리학, 8권 루이스 독성학 사전 플라보노이드, 알칼로이드 및 테르페노이드: 당뇨병 치료의 새로운 희망 당뇨병 관리를 위한 알칼로이드 식물성분: 밝혀지지 않은 잠재력 탐구 알칼로이드란 무엇인가? 알칼로이드: 항균, 항생제 강화 및 항독성 활성에 대한 개요 암, 결핵 및 금연 치료를 위한 치료 약물의 중요한 스캐폴드로서의 알칼로이드 알츠하이머병에 작용하는 다중 표적 약물 전체 불개미 독 추출을 위한 간단하고 빠른 방법 |
2. 명칭
알칼로이드 분류에는 다음과 같은 주요 그룹도 포함된다.[244]
"알칼로이드"(독일어: Alkaloidede)라는 명칭은 1819년 독일의 약제사이자 화학자인 카를 프리드리히 빌헬름 마이스너(Carl Friedrich Wilhelm Meissner)가 처음 사용했다.[409][22][228] 이 용어는 라틴어 어근 alkali|알칼리la와 그리스어 접미사 -οειδής|-오에이데스grc("-와 같은"이라는 의미)에서 유래했다.[409][22][228] 라틴어 'alkali'는 "식물의 재"를 뜻하는 아랍어 al qualja|알 쿠알자ar에서 왔다.[409][228] 과거에는 식물염기(Plant base)라는 명칭도 사용되었다. "알칼로이드"라는 용어는 처음에는 널리 사용되지 않다가, 1880년대 알베르트 라덴부르크(Albert Ladenburg)의 화학 용어 사전에 오스카 야코브센(Oscar Jacobsen)이 관련 내용을 발표하면서 널리 쓰이기 시작했다.[409][23][24][229]
개별 알칼로이드를 명명하는 통일된 규칙은 없다.[410][25][230] 많은 경우, 알칼로이드가 처음 분리된 식물의 속명이나 종명에 접미사 "-ine"을 붙여 이름을 짓는다.[402][26][231] 예를 들어, 벨라돈나풀(학명: ''Atropa belladonna'')에서 추출하는 아트로핀(atropine)은 속명 ''Atropa''에서 유래했고, 마전(학명: ''Strychnos nux-vomica'' L.)의 씨앗에서 얻는 스트리키니네(strychnine)는 속명 ''Strychnos''에서 따왔다.[402][5][222]
한 식물에서 여러 종류의 알칼로이드가 발견될 경우, 이름 구분을 위해 "-idine", "-anine", "-aline", "-inine" 등의 다른 접미사를 사용하기도 한다.[402][27][232] 또한, 특정 식물군에서 유래했음을 나타내는 어근을 사용하기도 하는데, 예를 들어 빈카속(Vinca) 식물(예: ''카타란투스 로제우스'')에서 유래한 알칼로이드는 이름에 "vin-"이라는 어근을 포함하는 경우가 많으며, 이런 알칼로이드는 86종 이상 알려져 있다.[411][27][232] 이들을 통칭하여 빈카 알칼로이드라고 부른다.[28][29][30]
3. 역사

알칼로이드를 함유한 식물은 고대부터 치료용이나 기분 전환용, 혹은 종교 의식 등 다양한 목적으로 사용되었다. 기원전 2000년경 메소포타미아에서는 이미 약용 식물에 대한 지식이 있었으며,[412][31][233] 호메로스의 《오디세이아》에는 이집트 여왕이 헬레네에게 '망각을 부르는 약'을 선물했다는 이야기가 나오는데, 이는 아편이 포함된 약물로 추정된다.[413][32][234] 기원후 1~3세기 중국의 본초학 서적인 《신농본초경》에는 마황과 양귀비의 의학적 효능이 언급되어 있으며,[414][33] 코카나무 잎 역시 고대부터 남아메리카 원주민들이 사용해 왔다.[415][34][235]
한편, 아코니틴이나 튜보쿠라린과 같이 독성이 강한 알칼로이드를 함유한 식물 추출물은 고대부터 독화살의 화살촉에 바르는 독으로 사용되었다.[31][233]
알칼로이드에 대한 과학적 연구는 19세기에 본격적으로 시작되었다. 1804년, 독일 화학자 프리드리히 제르튀르너(Friedrich Sertürner)는 아편에서 주요 활성 성분인 "잠의 근원"(principium somniferumla)을 성공적으로 분리해냈다. 그는 이 물질에 그리스 신화 속 꿈의 신 모르페우스의 이름을 따 "모르피움(morphium)"이라는 이름을 붙였는데, 이것이 오늘날 알려진 모르핀이다. 프랑스 물리학자 조제프 루이 게이뤼삭은 영어와 프랑스어권에서 사용되는 "모르핀(morphine)"이라는 명칭을 제안했다.
이후 프랑스 연구자 피에르 조제프 펠티에와 조제프 비앵네메 카방투가 퀴닌(1820년)과 스트리키니네(1818년)를 발견하면서 초기 알칼로이드 화학 연구에 중요한 기여를 했다. 이 시기를 전후하여 크산틴(1817년), 아트로핀(1819년), 카페인(1820년), 코닌(1827년), 니코틴(1828년), 콜히친(1833년), 스파르테인(1851년), 코카인(1860년) 등 다양한 알칼로이드들이 연이어 발견되었다.[416][35][236]
알칼로이드의 인공적인 합성은 1886년 독일 화학자 알베르트 라덴부르크(Albert Ladenburg)에 의해 처음으로 성공했다. 그는 2-메틸피리딘을 아세트알데히드와 반응시킨 후, 생성된 2-프로페닐피리딘을 나트륨으로 환원시켜 코닌을 합성하는 데 성공했다.[417][418][37][38][237][238]
20세기에 들어 분광학과 크로마토그래피와 같은 분석 기술이 발전하면서 알칼로이드 화학 연구는 더욱 가속화되었다. 그 결과, 2008년까지 12,000종 이상의 다양한 알칼로이드가 확인되었다.[36][239]
4. 분류
일부 알칼로이드는 분류군에 전형적인 탄소 골격을 갖고 있지 않다. 예를 들어 갈란타민 및 호모아포르핀류는 이소퀴놀린 부분을 포함하고 있지 않지만, 일반적으로 이소퀴놀린 알칼로이드로 여겨진다.[255]
단량체 알칼로이드의 주요 분류를 아래 표에 나타낸다.
4. 1. 주요 알칼로이드 종류
다른 많은 천연 화합물의 분류군과 비교하여, 알칼로이드는 큰 구조적 다양성을 가지는 것이 특징이며, 알칼로이드에 관한 통일적인 분류는 존재하지 않는다.[240] 최초의 분류법은 역사적으로 알칼로이드를 공통의 천연 자원(예: 식물 종)에 따라 분류해 왔다. 이 분류는 알칼로이드의 화학 구조에 대한 지식 부족으로 정당화되었지만, 현재는 시대에 뒤떨어진 것으로 간주된다.[222][241]
보다 최근의 분류는 탄소 골격의 유사성(예: 인돌 유사, 이소퀴놀린 유사, 피리딘 유사) 또는 생성 전구체(오르니틴, 리신, 티로신, 트립토판 등)에 기반하고 있다.[222] 그러나, 이들은 둘 다 결정하기 어려운 경우에는 타협을 필요로 한다.[240] 예를 들어, 니코틴의 피리딘 부분은 니코틴아마이드에, 피롤리딘 부분은 오르니틴에 유래하며,[242] 따라서 어느 분류군에도 할당할 수 있다.[243]
알칼로이드는 종종 다음과 같은 주요 그룹으로 분류된다.[244]
5. 성질
대부분의 알칼로이드는 분자 구조에 산소를 포함하고 있으며, 일반적으로 상온에서 무색의 결정이다.[161][362] 니코틴[160][361]이나 코닌[37][237]과 같이 산소가 없는 알칼로이드는 일반적으로 휘발성이 있는 무색의 유상(油狀) 액체이다.[161][541][362] 일부 알칼로이드는 색깔이 있는데, 예를 들어 베르베린(황색)과 상귀나린(주황색 또는 노란 계열)이 있다.[161][541][362]
대부분의 알칼로이드는 약한 염기이지만, 테오브로민과 테오필린과 같은 일부 알칼로이드는 양쪽성이다.[162][363]
많은 알칼로이드들은 물에는 잘 녹지 않지만 유기 용매(예: 디에틸 에테르, 클로로폼, 1,2-디클로로에탄)에는 잘 녹는다.[161][362] 카페인[163], 코카인[164], 코데인[165], 니코틴[166]은 물에 약간 용해된다(용해도 ≥1g/L). 반면 모르핀[167]이나 요힘빈[168]을 포함한 다른 알칼로이드는 물에 매우 적게 용해된다(0.1–1 g/L).
알칼로이드와 산은 다양한 강도의 염을 형성한다. 이러한 염은 일반적으로 물과 에탄올에 잘 녹고 대부분의 유기 용매에는 잘 녹지 않는다.[161][362] 예외적으로 유기 용매에 녹는 스코폴라민 히드로브로마이드나, 물에 잘 녹는 퀴닌 설페이트가 있다.[161][362]
대부분의 알칼로이드는 쓴맛이 나거나 섭취 시 독성이 있다. 식물에서 알칼로이드가 생성되는 것은 초식 동물의 섭취에 대한 방어 기작으로 진화한 것으로 보인다. 그러나 일부 동물은 알칼로이드를 해독할 수 있는 능력을 진화시켰다.[169][364] 일부 알칼로이드는 이를 해독하지 못하는 동물의 자손에게 발달 장애를 일으킬 수 있다. 한 예로 옥수수 백합(캘리포니아 콘 릴리, ''Veratrum californicum'')의 잎에서 생성되는 알칼로이드 사이클로파민이 있다. 1950년대에는 이 식물을 뜯어 먹은 양에게서 태어난 새끼 양의 최대 25%가 심각한 얼굴 기형(변형된 턱부터 단안증까지)을 보였다. 수십 년간의 연구 끝에 1980년대에 기형의 원인 물질이 알칼로이드인 11-데옥시제르빈으로 확인되었고, 나중에 사이클로파민으로 명명되었다.[170][365]
6. 자연계의 분포
다양한 생물체가 알칼로이드를 생산하며, 특히 관다발식물의 약 10~25% 종이 알칼로이드를 포함하고 있다.[171][172] 이 때문에 과거에는 "알칼로이드"라는 용어가 주로 식물과 연관되어 사용되었다.[173]
식물 내 알칼로이드 함량은 일반적으로 수 퍼센트 이내이며, 식물 조직 전체에 걸쳐 불균일하게 분포한다. 알칼로이드 농도가 높은 부위는 식물의 종류에 따라 다른데, 예를 들어 잎(검정독말풀), 열매나 씨앗(마전목), 뿌리(''라울볼피아 세르펜티나''), 나무껍질(키나나무) 등이 있다.[174] 또한, 같은 식물이라도 조직에 따라 서로 다른 알칼로이드를 함유할 수 있다.[175]
알칼로이드는 식물뿐만 아니라 다른 생물에서도 발견된다. 특정 균류, 예를 들어 환각버섯속(*Psilocybe*) 버섯에서는 실로시빈이 발견된다. 동물 중에서는 일부 두꺼비의 피부샘(이하선) 분비물에서 부포테닌과 같은 독성 알칼로이드가 발견되며,[25] 도롱뇽의 일종인 불도롱뇽(*Salamandra salamandra*)은 사만다린을 지닌다. 많은 곤충, 특히 개미에서도 알칼로이드가 발견된다.[176] 해양 생물 역시 다수가 알칼로이드를 함유하고 있다.[177][366]
한편, 고등 동물에서 중요한 역할을 하는 아민인 아드레날린이나 세로토닌 등은 구조나 생합성 과정이 알칼로이드와 유사하여 때때로 알칼로이드로 분류되기도 한다.[178][372]
7. 생합성
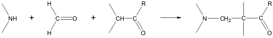
대부분의 알칼로이드 생합성 전구체는 아미노산이며, 오르니틴, 라이신, 페닐알라닌, 티로신, 트립토판, 히스티딘, 아스파르트산, 그리고 안트라닐산 등이 있다.[188] 니코틴산은 트립토판 또는 아스파르트산으로부터 합성될 수 있다. 알칼로이드 생합성 경로는 매우 다양하여 쉽게 분류하기 어렵다.[86] 그러나 다양한 종류의 알칼로이드 생합성에 관여하는 몇 가지 전형적인 반응이 있는데, 여기에는 쉬프 염기 및 만니히 반응의 합성이 포함된다.[188]
쉬프 염기는 아민과 케톤 또는 알데하이드의 반응을 통해 얻을 수 있다.[189] 이러한 반응은 C=N 결합을 생성하는 일반적인 방법이다.[190]
알칼로이드의 생합성에서 이러한 반응은 피페리딘 합성과 같이 분자 내에서 일어날 수 있다.[188] [42]
만니히 반응의 필수 구성 요소는 아민과 카르보닐 화합물 외에도 친핵체 역할을 하는 카르바니온이며, 이는 아민과 카르보닐의 반응으로 생성된 이온에 대한 친핵성 첨가 반응에 관여한다.[1]
만니히 반응은 분자간 반응과 분자내 반응 모두로 진행될 수 있다.[191][192]
8. 이합체 알칼로이드
단량체 알칼로이드 외에도, 두 개 이상의 단량체 알칼로이드가 축합되어 생성되는 이합체, 삼합체, 사합체 알칼로이드도 존재한다. 이합체 알칼로이드는 일반적으로 동일한 유형의 단량체로부터 다음과 같은 메커니즘을 통해 형성된다.[193][383]
- 만니히 반응: 예시로 보아카민이 있다.
- 마이클 첨가 반응: 예시로 빌랄스토닌이 있다.
- 알데히드와 아민의 축합: 예시로 톡시페린이 있다.
- 페놀의 산화적 첨가: 예시로 다우리신, 투보쿠라린이 있다.
- 락톤화: 예시로 카르파인이 있다.

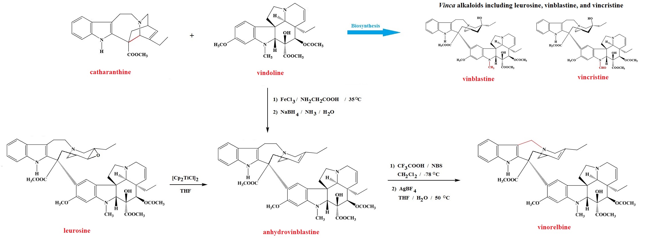
서로 다른 두 종류의 단량체로부터 형성되는 이합체 알칼로이드도 존재한다. 대표적인 예로 ''빈카'' 알칼로이드인 빈블라스틴과 빈크리스틴이 있는데, 이들은 카타란신과 빈돌린의 결합으로 생성된다.[1][194][195][196]
새로운 반합성 항암제인 비노렐빈은 비소세포폐암 치료에 사용된다.[1][197] 비노렐빈은 빈돌린과 카타란신의 또 다른 유도체 이합체로, 무수빈블라스틴[198]이나 르로신[199][200], 또는 단량체 자체를 시작 물질로 사용하여 합성된다.[1][199][200]

9. 생물학적 역할
알칼로이드는 생물의 정상적인 성장, 발달, 생식에 직접 관여하지는 않지만, 생존율이나 번식 능력을 높여 생태적 상호작용에서 선택적 이점을 제공하는 중요한 이차 대사산물 중 하나이다.[201] 초기에는 알칼로이드가 포유류의 요소나 요산처럼 식물에서 질소 대사의 최종 산물이라는 가설이 있었으나, 그 농도가 일정하게 증가하는 것이 아니라 변동한다는 사실이 밝혀지면서 반박되었다.[17][223]
알칼로이드의 알려진 기능 대부분은 자신을 보호하는 역할과 관련이 깊다. 예를 들어, 백합나무(Liriodendron tulipifera)가 만드는 아포르핀 알칼로이드인 리리오데닌은 기생 버섯으로부터 나무를 보호한다. 또한 식물 속 알칼로이드는 곤충이나 척삭동물이 식물을 먹지 못하게 막는 역할을 한다. 하지만 일부 동물은 알칼로이드에 적응하여 자신의 대사 과정에 이용하기도 한다.[202][385] 세로토닌, 도파민, 히스타민과 같이 알칼로이드와 관련된 물질들은 동물에게 중요한 신경전달물질로 작용하며, 알칼로이드가 식물 성장을 조절할 수도 있음이 알려졌다.[203][386]
알칼로이드를 방어 수단으로 사용하는 동물의 예로는 화려한 나방(Utetheisa ornatrix)이 있다. 이 나방의 유충과 성충이 가진 피롤리지딘 알칼로이드는 무당벌레, 풀잠자리, 육식성 노린재, 육식성 박쥐 등 여러 포식자에게 불쾌감을 주어 자신을 보호한다.[204] 독미나리나방(Agonopterix alstroemeriana) 역시 알칼로이드를 활용하는 예이다. 이 나방의 유충은 독성이 강하고 알칼로이드가 풍부한 독미나리(Conium maculatum)를 먹고 자란다. 독미나리나방은 알칼로이드 덕분에 포식자로부터 자신을 보호할 뿐만 아니라, 독미나리를 산란 장소로 인식하는 데에도 도움을 받는다.[205] 붉은불개미(Solenopsis invicta)의 독 알칼로이드인 솔레놉신은 새로운 서식지를 개척할 때 여왕개미를 보호하는 역할을 하며, 이 해충 개미 종이 전 세계적으로 퍼지는 데 중요한 역할을 하는 것으로 밝혀졌다.[206]
10. 응용
알칼로이드는 그 독특한 생리 활성으로 인해 다양한 분야에서 응용되고 있다. 주요 응용 분야로는 의학, 농업, 그리고 향정신성 약물로서의 사용을 들 수 있다.
의학적으로는 고대부터 식물에서 추출한 알칼로이드가 치료 목적으로 사용되어 왔으며, 현대 의약품 개발에도 중요한 역할을 하고 있다. 농업 분야에서는 일부 알칼로이드가 살충제로 활용되기도 했으나, 인체 독성 문제로 인해 그 사용이 제한적이다. 또한, 특정 알칼로이드는 중추 신경계에 작용하여 흥분제, 진통제, 환각제 등 향정신성 약물로 사용되기도 한다. 각 분야에서의 구체적인 활용 사례와 종류는 하위 문단에서 더 자세히 다룬다.
10. 1. 의학
알칼로이드를 함유한 식물은 고대부터 치료 및 기분 전환 목적으로 사용되어 왔다. 메소포타미아에서는 기원전 2000년경부터 약용 식물이 알려져 있었고[412][31], 호메로스의 《오디세이아》에는 아편이 포함된 것으로 추정되는 약이 언급된다.[413][32] 중국의 고대 서적에도 마황과 양귀비의 의학적 효능이 기록되어 있으며[414][33], 코카 잎 역시 남아메리카 원주민들이 오래전부터 사용해왔다.[415][34] 아코니틴이나 투보쿠라린처럼 독성이 강한 알칼로이드 추출물은 고대부터 독화살에 사용되기도 했다.[31]19세기에 프리드리히 제르튀르너가 아편에서 모르핀을 처음 분리한 이후[416], 알칼로이드 연구가 본격화되면서 임상 현장에서의 응용이 시작되었다.[207][387] 오늘날에도 많은 알칼로이드가 의약품으로 사용되고 있으며, 주로 염 형태로 활용된다.[17][208][223][388] 주요 알칼로이드와 그 작용은 다음과 같다.
| 알칼로이드 | 작용 |
|---|---|
| 글라우신 | 진해제 |
| 니코틴 | 자극제, 니코틴성 아세틸콜린 수용체 작용제 |
| 날록손 | 오피오이드 수용체 길항제 (테바인 유도체) |
| 레세르핀 | 항고혈압제, 항정신병제 |
| 맥각 알칼로이드 | 혈관수축제, 자궁수축제, 편두통 치료 등 (종류에 따라 다양) |
| 모르핀 | 마약성 진통제 |
| 베르베린 | 혈당강하제[13] |
| 빈블라스틴, 빈크리스틴 | 항암제 |
| 빈카민 | 혈관확장제, 항고혈압제 |
| 스코폴라민, 아트로핀, 히오시아민 | 항콜린제 |
| 아즈말린 (Ajmaline) | 항부정맥제 |
| 에메틴 | 항원충제, 구토제 |
| 요힘빈 | 자극제, 최음제 (효과 논란 있음) |
| 코데인 | 진해제, 진통제 |
| 코카인 | 국소마취제, 자극제 |
| 콜히친 | 통풍 치료제 |
| 퀴니딘 | 항부정맥제 |
| 퀴닌 | 항말라리아제, 해열제 |
| 투보쿠라린 | 근이완제 |
| 피소스티그민 | 아세틸콜린에스터레이스 억제제 |
또한, 기존 알칼로이드의 구조를 변형하여 약효를 증강하거나 부작용을 줄인 많은 합성 및 반합성 약물이 개발되었다.[209][389] 예를 들어, 오피오이드 수용체 길항제인 날록손은 아편에 존재하는 알칼로이드인 테바인의 구조를 변형하여 만든 약물이다.[210][390]
10. 2. 농업
비교적 독성이 낮은 합성 살충제가 개발되기 전에는 니코틴과 아나바신의 염과 같은 일부 알칼로이드가 살충제로 사용되었다. 그러나 이러한 알칼로이드는 인간에 대한 독성이 높아 사용이 제한적이었다.[211][391]10. 3. 향정신성 약물
알칼로이드와 이들의 추출물을 함유한 식물과 균류의 제제, 그리고 나중에는 순수 알칼로이드가 오랫동안 향정신성 물질로 사용되어 왔다. 코카인, 카페인, 그리고 카티논은 중추 신경계 흥분제이다.[212][213][392][393] 메스칼린과 많은 인돌 알칼로이드(예: 실로시빈, 디메틸트립타민, 이보가인)는 환각제 효과를 가지고 있다.[214][215][394][395] 모르핀과 코데인은 강력한 마약성 진통제이다.[216][396]자체적으로 강한 향정신성 효과를 나타내지는 않지만, 반합성 향정신성 약물의 전구체가 되는 알칼로이드도 있다. 예를 들어, 에페드린과 슈도에페드린은 메스카티논과 메탐페타민을 생산하는 데 사용된다.[217][397] 테바인은 옥시코돈과 같은 많은 진통제의 합성에 사용된다.
참조
[1]
서적
Molecular, Clinical and Environmental Toxicology, Volume 1: Molecular Toxicology
https://books.google[...]
Springer
[2]
GoldBookRef
alkaloids
[3]
서적
The Alkaloids: Chemistry and Physiology, Volume 8
https://books.google[...]
Elsevier
2014-05-12
[4]
서적
Lewis' Dictionary of Toxicology
https://books.google[...]
CRC Press
1998-03-23
[5]
웹사이트
АЛКАЛОИДЫ - Химическая энциклопедия
https://www.xumuk.ru[...]
2023-05-18
[6]
서적
Alkaloids: Biochemistry, Ecology, and Medicinal Applications
Springer US
1998
[7]
학술지
A simple, rapid method for the extraction of whole fire ant venom (Insecta: Formicidae: Solenopsis)
2013-04-00
[8]
학술지
Alkaloids as important scaffolds in therapeutic drugs for the treatments of cancer, tuberculosis, and smoking cessation
https://zenodo.org/r[...]
[9]
학술지
Multitarget drugs of plants origin acting on Alzheimer's disease
[10]
서적
The Essence of Analgesia and Analgesics
Cambridge University Press
[11]
학술지
Alkaloids: An overview of their antibacterial, antibiotic-enhancing and antivirulence activities
https://zenodo.org/r[...]
[12]
학술지
Flavonoids, alkaloids and terpenoids: a new hope for the treatment of diabetes mellitus
2022-06-00
[13]
학술지
Alkaloidal Phytoconstituents for Diabetes Management: Exploring the Unrevealed Potential
2022-09-09
[14]
웹사이트
Alkaloid
http://science.howst[...]
2007-12-18
[15]
서적
Pharmacognosy and Pharmacobiotechnology
Lippincott, Williams & Wilkins
1996
[16]
서적
Herbivores: Their Interaction with Secondary Plant Metabolites
Academic Press
[17]
서적
Encyclopedia of Physical Science and Technology
[18]
서적
Natural Products from Plants
https://books.google[...]
CRC Press
2016-04-19
[19]
서적
Invitation to Organic Chemistry
https://books.google[...]
Jones & Bartlett Learning
1999
[20]
서적
A Textbook of Organic Chemistry
https://books.google[...]
New Age International Limited
2003
[21]
서적
Aniszewski
[22]
학술지
Über Pflanzenalkalien: II. Über ein neues Pflanzenalkali (Alkaloid)
https://babel.hathit[...]
[23]
서적
Hesse
[24]
서적
Handwörterbuch der chemie
https://books.google[...]
E. Trewendt
1882
[25]
서적
Hesse
[26]
웹사이트
Development of Systematic Names for the Simple Alkanes
https://webspace.yal[...]
[27]
서적
Hesse
[28]
학술지
The Catharanthus alkaloids: Pharmacognosy and biotechnology
[29]
서적
Botanical Miracles: Chemistry of Plants That Changed the World
CRC Press
[30]
서적
The evolution of drug discovery: From traditional medicines to modern drugs
John Wiley & Sons
[31]
서적
Aniszewski
[32]
서적
Hesse
[33]
서적
Hesse
[34]
서적
Hesse
[35]
서적
Hesse
[36]
서적
Natural Products in Plants
[37]
GSEn
Кониин
[38]
서적
[39]
서적
[40]
서적
[41]
서적
[42]
서적
[43]
서적
[44]
서적
[45]
서적
[46]
서적
[47]
서적
[48]
서적
[49]
논문
Cyclopeptide alkaloids
[50]
서적
[51]
서적
[52]
서적
[53]
서적
[54]
서적
[55]
서적
[56]
서적
[57]
서적
[58]
웹사이트
Chemical Encyclopedia: Tropan alkaloids
http://www.xumuk.ru/[...]
[59]
서적
[60]
서적
[61]
웹사이트
Chemical Encyclopedia: Pyrrolizidine alkaloids
http://www.xumuk.ru/[...]
[62]
서적
[63]
논문
Biosynthetic precursors of fungal pyrrolizidines, the loline alkaloids
[64]
논문
On the sequence of bond formation in loline alkaloid biosynthesis
[65]
논문
Loline alkaloids: currencies of mutualism
[66]
서적
[67]
서적
[68]
서적
[69]
웹사이트
Chemical Encyclopedia: Quinolizidine alkaloids
http://www.xumuk.ru/[...]
[70]
서적
[71]
서적
[72]
서적
[73]
논문
Indolizidine and quinolizidine alkaloids
[74]
서적
[75]
서적
[76]
서적
[77]
서적
[78]
서적
[79]
웹사이트
Chemical Encyclopedia: pyridine alkaloids
http://www.xumuk.ru/[...]
[80]
서적
[81]
서적
[82]
서적
[83]
서적
[84]
웹사이트
Chemical Encyclopedia: isoquinoline alkaloids
http://www.xumuk.ru/[...]
[85]
서적
[86]
서적
Alkaloid Biosynthesis
[87]
서적
[88]
서적
[89]
서적
[90]
서적
[91]
서적
[92]
서적
[93]
논문
β-Phenylethylamines and the isoquinoline alkaloids
http://chemistry.mdm[...]
[94]
서적
[95]
서적
[96]
서적
[97]
서적
[98]
서적
[99]
서적
[100]
서적
[101]
서적
[102]
서적
[103]
서적
[104]
서적
[105]
서적
[106]
서적
[107]
서적
[108]
서적
[109]
서적
[110]
서적
Cofactor Biosynthesis
[111]
논문
Amaryllidaceae, muscarine, imidazole, oxazole, thiazole and peptide alkaloids, and other miscellaneous alkaloids
[112]
웹사이트
Chemical Encyclopedia: Quinazoline alkaloids
http://www.xumuk.ru/[...]
[113]
서적
[114]
서적
[115]
논문
The biosynthesis of plant alkaloids and nitrogenous microbial metabolites
[116]
서적
[117]
서적
[118]
서적
[119]
웹사이트
Chemical Encyclopedia: Quinoline alkaloids
http://www.xumuk.ru/[...]
[120]
서적
[121]
서적
[122]
서적
[123]
서적
[124]
서적
[125]
서적
[126]
서적
[127]
서적
[128]
서적
[129]
서적
[130]
서적
[131]
서적
[132]
서적
[133]
서적
[134]
서적
[135]
서적
[136]
서적
[137]
서적
[138]
서적
[139]
서적
[140]
서적
[141]
서적
[142]
웹사이트
PlantCyc Pathway: ephedrine biosynthesis
http://www.plantcyc.[...]
[143]
서적
[144]
웹사이트
Chemical Encyclopedia: colchicine alkaloids
http://www.xumuk.ru/[...]
[145]
서적
[146]
서적
[147]
서적
[148]
서적
[149]
서적
[150]
서적
[151]
서적
[152]
웹사이트
Spermine Biosynthesis
http://www.chem.qmul[...]
[153]
서적
[154]
웹사이트
Chemical Encyclopedia: Terpenes
http://www.xumuk.ru/[...]
[155]
서적
Natural Products: An Overview
[156]
논문
Diterpenoid and steroidal alkaloids
[157]
서적
[158]
서적
[159]
서적
[160]
백과사전
Никотин
[161]
서적
[162]
서적
Caffeine
https://books.google[...]
CRC Press
2019-04-23
[163]
웹사이트
Caffeine
http://www.drugbank.[...]
2013-02-12
[164]
웹사이트
Cocaine
http://www.drugbank.[...]
2013-02-12
[165]
웹사이트
Codeine
http://www.drugbank.[...]
2013-02-12
[166]
웹사이트
Nicotine
http://www.drugbank.[...]
2013-02-12
[167]
웹사이트
Morphine
http://www.drugbank.[...]
2013-02-12
[168]
웹사이트
Yohimbine
https://web.archive.[...]
2013-02-12
[169]
서적
[170]
서적
Poisonous plants and related toxins, Volume 2001
https://books.google[...]
CABI
[171]
서적
[172]
서적
[173]
서적
[174]
서적
[175]
서적
[176]
논문
The Biochemical Toxin Arsenal from Ant Venoms
2016-01-20
[177]
서적
Fattorusso
[178]
서적
Aniszewski
[179]
서적
Hesse
[180]
서적
Grinkevich
[181]
서적
Grinkevich
[182]
서적
Grinkevich
[183]
서적
Grinkevich
[184]
서적
Venom Genomics and Proteomics
Springer Netherlands
2016
[185]
논문
Speedy milking of fresh venom from aculeate hymenopterans
2018-05-01
[186]
논문
Piperideine Alkaloids from the Poison Gland of the Red Imported Fire Ant (Hymenoptera: Formicidae)
2009-04-22
[187]
논문
Gas-chromatography and UV-spectroscopy of Hymenoptera venoms obtained by trivial centrifugation
2018-06-01
[188]
서적
Plemenkov
[189]
서적
Plemenkov
[190]
서적
Dewick
[191]
서적
Plemenkov
[192]
서적
Dewick
[193]
서적
Hesse
[194]
논문
Modifications on the basic skeletons of vinblastine and vincristine
2012
[195]
서적
Biotechnology in Agriculture and Forestry 26
https://archive.org/[...]
Springer-Verlag
1994
[196]
서적
Metal Catalyzed Reductive C—C Bond Formation: A Departure from Preformed Organometallic Reagents
Springer Science & Business Media
2007
[197]
논문
Safety and efficacy of vinorelbine in the treatment of non-small cell lung cancer
2011
[198]
논문
Synthesis and biological evaluation of Vinca alkaloids and phomopsin hybrids
2009
[199]
논문
Concise synthesis of anhydrovinblastine from leurosine
2002
[200]
논문
Recent applications of Cp2TiCl in natural product synthesis
http://pubs.rsc.org/[...]
2014
[201]
서적
Aniszewski
[202]
서적
Hesse
[203]
서적
Aniszewski
[204]
서적
Tiger Moths and Woolly Bears—behaviour, ecology, and evolution of the Arctiidae
Oxford University Press
2009
[205]
논문
Laboratory Rearing of Agonopterix alstroemeriana, the Defoliating Poison Hemlock (Conium maculatum L.) Moth, and Effects of Piperidine Alkaloids on Preference and Performance
http://ddd.uab.cat/r[...]
2006-06
[206]
논문
Queen venom isosolenopsin A delivers rapid incapacitation of fire ant competitors
2019-02-01
[207]
서적
Hesse
[208]
서적
Hesse
[209]
서적
Hesse
[210]
서적
Dewick
[211]
서적
Pesticide Chemistry
https://books.google[...]
Elsevier
1989-01-01
[212]
간행물
Veselovskaya
[213]
간행물
Hesse
[214]
간행물
Veselovskaya
[215]
서적
Ibogaine: Proceedings from the First International Conference (The Alkaloids Book 56)
Elsevier Science
[216]
간행물
Veselovskaya
[217]
간행물
Veselovskaya
[218]
서적
Molecular, clinical and environmental toxicology
https://books.google[...]
Springer
[219]
웹사이트
IUPAC. Compendium of Chemical Terminology
http://goldbook.iupa[...]
Blackwell Scientific Publications
[220]
서적
The Alkaloids. Chemistry and Physiology
Academic Press
[221]
서적
Lewis' dictionary of toxicology
https://books.google[...]
CRC Press
[222]
웹사이트
Chemical Encyclopedia: alkaloids
http://www.xumuk.ru/[...]
[223]
서적
Encyclopedia of Physical Science and Technology
[224]
서적
Natural Products from Plants
https://books.google[...]
CRC
[225]
서적
Invitation to Organic Chemistry
https://books.google[...]
Jones and Bartlett
[226]
서적
A Text Book of Organic Chemistry
https://books.google[...]
New Age International
[227]
간행물
Aniszewski
[228]
논문
Über Pflanzenalkalien: II. Über ein neues Pflanzenalkali (Alkaloid)
[229]
간행물
Hesse
[230]
간행물
Hesse
[231]
웹사이트
접미사 "ine"는 그리스어의 여성명칭을 만드는 접미사이며, 「〜의 딸」을 의미한다. 즉, 아토로핀은 「Atropa(벨라돈나)의 딸」을 의미한다.
https://webspace.yal[...]
[232]
간행물
Hesse
[233]
간행물
Aniszewski
[234]
간행물
Hesse
[235]
간행물
Hesse
[236]
간행물
Hesse
[237]
웹사이트
TSB: Coniine
http://slovari.yande[...]
[238]
간행물
Hesse
[239]
서적
Natural Products in Plants
[240]
간행물
Hesse
[241]
간행물
Orekhov
[242]
간행물
Aniszewski
[243]
간행물
Dewick
[244]
간행물
Hesse
[245]
간행물
Plemenkov
[246]
서적
[247]
서적
[248]
서적
[249]
서적
[250]
논문
Cyclopeptide alkaloids
[251]
서적
[252]
서적
[253]
서적
[254]
서적
[255]
서적
[256]
서적
[257]
서적
[258]
서적
[259]
웹사이트
Chemical Encyclopedia: Tropan alkaloids
http://www.xumuk.ru/[...]
[260]
서적
[261]
서적
[262]
웹사이트
Chemical Encyclopedia: Pyrrolizidine alkaloids
http://www.xumuk.ru/[...]
[263]
서적
[264]
논문
Biosynthetic precursors of fungal pyrrolizidines, the loline alkaloids
[265]
논문
On the sequence of bond formation in loline alkaloid biosynthesis
[266]
논문
Loline alkaloids: currencies of mutualism
[267]
서적
[268]
서적
[269]
서적
[270]
웹사이트
Chemical Encyclopedia: Quinolizidine alkaloids
http://www.xumuk.ru/[...]
[271]
서적
The Alkaloids. A Specialist Periodical Report. Volume 1
The Chemical Society
[272]
서적
[273]
서적
The Alkaloids. A Specialist Periodical Report. Volume 1
The Chemical Society
[274]
논문
Indolizidine and quinolizidine alkaloids
[275]
서적
The Alkaloids. A Specialist Periodical Report. Volume 1
The Chemical Society
[276]
서적
[277]
서적
[278]
서적
[279]
서적
[280]
웹사이트
Chemical Encyclopedia: pyridine alkaloids
http://www.xumuk.ru/[...]
[281]
서적
[282]
서적
[283]
서적
[284]
서적
[285]
웹사이트
Chemical Encyclopedia: isoquinoline alkaloids
http://www.xumuk.ru/[...]
[286]
서적
[287]
서적
Alkaloid Biosynthesis
[288]
간행물
The Alkaloids. A Specialist Periodical Report
The Chemical Society
1973
[289]
서적
[290]
서적
[291]
서적
[292]
서적
[293]
서적
[294]
논문
β-Phenylethylamines and the isoquinoline alkaloids
[295]
서적
[296]
서적
[297]
서적
[298]
서적
[299]
서적
[300]
간행물
The Alkaloids. A Specialist Periodical Report
The Chemical Society
1973
[301]
서적
[302]
서적
[303]
간행물
The Alkaloids. A Specialist Periodical Report
The Chemical Society
1973
[304]
간행물
The Alkaloids. A Specialist Periodical Report
The Chemical Society
1973
[305]
서적
[306]
서적
[307]
서적
[308]
서적
The Alkaloids: Chemistry and Pharmacology
Academic Press
1989
[309]
서적
The Alkaloids: Chemistry and Pharmacology
Academic Press
1989
[310]
서적
[311]
서적
Cofactor Biosynthesis
[312]
논문
Amaryllidaceae, muscarine, imidazole, oxazole, thiazole and peptide alkaloids, and other miscellaneous alkaloids
http://www.rsc.org/p[...]
[313]
웹사이트
Chemical Encyclopedia: Quinazoline alkaloids
http://www.xumuk.ru/[...]
[314]
서적
[315]
서적
[316]
논문
The biosynthesis of plant alkaloids and nitrogenous microbial metabolites
http://www.rsc.org/p[...]
[317]
서적
Plemenkov
[318]
서적
Hesse
[319]
서적
Plemenkov
[320]
웹사이트
Chemical Encyclopedia: Quinoline alkaloids
http://www.xumuk.ru/[...]
[321]
서적
Aniszewski
[322]
서적
Orekhov
[323]
서적
Hesse
[324]
서적
Plemenkov
[325]
서적
Orekhov
[326]
서적
Aniszewski
[327]
서적
Aniszewski
[328]
서적
Aniszewski
[329]
서적
Hesse
[330]
서적
The Alkaloids. A Specialist Periodical Report. Volume 1.
The Chemical Society
[331]
서적
Dewick
[332]
서적
Aniszewski
[333]
서적
Hesse
[334]
서적
Hesse
[335]
서적
The Alkaloids. A Specialist Periodical Report. Volume 1.
The Chemical Society
[336]
서적
The Alkaloids. A Specialist Periodical Report. Volume 5.
The Chemical Society
[337]
서적
Hesse
[338]
서적
Dewick
[339]
서적
Aniszewski
[340]
서적
Hesse
[341]
서적
Hesse
[342]
서적
Dewick
[343]
웹사이트
PlantCyc Pathway: ephedrine biosynthesis
http://www.plantcyc.[...]
[344]
서적
Hesse
[345]
웹사이트
Chemical Encyclopedia: colchicine alkaloids
http://www.xumuk.ru/[...]
[346]
서적
Aniszewski
[347]
서적
Hesse
[348]
서적
The Alkaloids: Chemistry and Pharmacology, Volume 23.
Academic Press
[349]
서적
Hesse
[350]
서적
The Alkaloids: Chemistry and Pharmacology, Volume 23.
Academic Press
[351]
서적
The Alkaloids: Chemistry and Pharmacology, Volume 23
Academic Press
[352]
서적
[353]
웹사이트
Spermine Biosynthesis
http://www.chem.qmul[...]
[354]
서적
[355]
웹사이트
Chemical Encyclopedia: Terpenes
http://www.xumuk.ru/[...]
[356]
서적
Natural Products: An Overview
[357]
논문
Diterpenoid and steroidal alkaloids
http://www.rsc.org/p[...]
[358]
서적
[359]
서적
[360]
서적
[361]
웹사이트
TSB: Nicotine
http://slovari.yande[...]
[362]
서적
[363]
서적
Caffeine
https://books.google[...]
CRC Press
[364]
서적
[365]
서적
Poisonous plants and related toxins, Volume 2001
https://books.google[...]
CABI
[366]
서적
[367]
서적
[368]
서적
[369]
서적
[370]
서적
[371]
서적
[372]
서적
[373]
서적
[374]
서적
[375]
서적
[376]
서적
[377]
서적
[378]
서적
[379]
서적
[380]
서적
[381]
서적
[382]
서적
[383]
서적
[384]
서적
[385]
서적
[386]
서적
[387]
서적
[388]
서적
[389]
서적
[390]
서적
[391]
서적
Pesticide chemistry
https://books.google[...]
Elsevier
[392]
서적
[393]
서적
[394]
서적
[395]
서적
The Alkaloids: Chemistry and Biology
Elsevier
[396]
서적
[397]
서적
[398]
서적
Molecular, clinical and environmental toxicology
Springer
[399]
서적
IUPAC. Compendium of Chemical Terminology
http://goldbook.iupa[...]
Blackwell Scientific Publications
[400]
서적
The Alkaloids. Chemistry and Physiology
Academic Press
[401]
서적
'Lewis' dictionary of toxicology
CRC Press
[402]
웹사이트
Chemical Encyclopedia: alkaloids
http://www.xumuk.ru/[...]
[403]
서적
Herbivores: Their Interaction with Secondary Plant Metabolites
https://archive.org/[...]
Academic Press
[404]
서적
Encyclopedia of Physical Science and Technology
[405]
서적
Natural Products from Plants
CRC
[406]
서적
Invitation to Organic Chemistry
Jones and Bartlett
[407]
서적
A Text Book of Organic Chemistry
New Age International
[408]
서적
[409]
서적
[410]
서적
[411]
서적
[412]
서적
[413]
서적
[414]
서적
[415]
서적
[416]
서적
[417]
웹사이트
TSB: Coniine
http://slovari.yande[...]
[418]
서적
[419]
서적
[420]
서적
[421]
서적
[422]
서적
[423]
서적
[424]
서적
[425]
서적
[426]
서적
[427]
저널
Cyclopeptide alkaloids
[428]
서적
[429]
서적
[430]
서적
[431]
서적
[432]
서적
[433]
서적
[434]
서적
[435]
서적
[436]
웹사이트
Chemical Encyclopedia: Tropan alkaloids
http://www.xumuk.ru/[...]
[437]
서적
[438]
서적
[439]
웹사이트
Chemical Encyclopedia: Pyrrolizidine alkaloids
http://www.xumuk.ru/[...]
[440]
서적
[441]
저널
Biosynthetic precursors of fungal pyrrolizidines, the loline alkaloids
[442]
저널
On the sequence of bond formation in loline alkaloid biosynthesis
[443]
저널
Loline alkaloids: currencies of mutualism
[444]
서적
[445]
서적
[446]
서적
[447]
웹사이트
Chemical Encyclopedia: Quinolizidine alkaloids
http://www.xumuk.ru/[...]
[448]
서적
[449]
서적
[450]
서적
[451]
저널
Indolizidine and quinolizidine alkaloids
[452]
서적
[453]
서적
[454]
서적
[455]
서적
[456]
서적
[457]
웹사이트
Chemical Encyclopedia: pyridine alkaloids
http://www.xumuk.ru/[...]
[458]
서적
[459]
서적
[460]
서적
[461]
서적
[462]
웹사이트
Chemical Encyclopedia: isoquinoline alkaloids
http://www.xumuk.ru/[...]
[463]
서적
[464]
백과사전
Encyclopedia of Chemical Biology: Alkaloid Biosynthesis
[465]
서적
[466]
서적
[467]
서적
[468]
서적
[469]
서적
[470]
서적
[471]
논문
β-Phenylethylamines and the isoquinoline alkaloids
[472]
서적
[473]
서적
[474]
서적
[475]
서적
[476]
서적
[477]
서적
[478]
서적
[479]
서적
[480]
서적
[481]
서적
[482]
서적
[483]
서적
[484]
서적
[485]
서적
The Alkaloids: Chemistry and Pharmacology
Academic Press
[486]
서적
The Alkaloids: Chemistry and Pharmacology
Academic Press
[487]
서적
[488]
백과사전
Encyclopedia of Chemical Biology: Cofactor Biosynthesis
[489]
논문
Amaryllidaceae, muscarine, imidazole, oxazole, thiazole and peptide alkaloids, and other miscellaneous alkaloids
http://www.rsc.org/p[...]
[490]
웹사이트
Chemical Encyclopedia: Quinazoline alkaloids
http://www.xumuk.ru/[...]
[491]
서적
[492]
서적
[493]
저널
The biosynthesis of plant alkaloids and nitrogenous microbial metabolites
http://www.rsc.org/p[...]
[494]
서적
[495]
서적
[496]
서적
[497]
웹사이트
Chemical Encyclopedia: Quinoline alkaloids
http://www.xumuk.ru/[...]
[498]
서적
[499]
서적
[500]
서적
[501]
서적
[502]
서적
[503]
서적
[504]
서적
[505]
서적
[506]
서적
[507]
서적
[508]
서적
[509]
서적
[510]
서적
[511]
서적
[512]
서적
[513]
서적
[514]
서적
[515]
서적
[516]
서적
[517]
서적
[518]
서적
[519]
서적
[520]
웹인용
PlantCyc Pathway: ephedrine biosynthesis
http://www.plantcyc.[...]
2010-06-06
[521]
서적
[522]
웹사이트
Chemical Encyclopedia: colchicine alkaloids
http://www.xumuk.ru/[...]
[523]
서적
[524]
서적
[525]
서적
The Alkaloids: Chemistry and Pharmacology
Academic Press
[526]
서적
[527]
서적
The Alkaloids: Chemistry and Pharmacology, Volume 23
Academic Press
[528]
서적
The Alkaloids: Chemistry and Pharmacology, Volume 23
Academic Press
[529]
서적
[530]
웹사이트
Spermine Biosynthesis
http://www.chem.qmul[...]
[531]
서적
[532]
서적
[533]
웹사이트
Chemical Encyclopedia: Terpenes
http://www.xumuk.ru/[...]
[534]
서적
Encyclopedia of Chemical Biology: Natural Products: An Overview
[535]
저널
Diterpenoid and steroidal alkaloids
http://www.rsc.org/p[...]
[536]
서적
[537]
서적
[538]
서적
[539]
뉴스
Cancer Drug Behind Cyclops Birth?
https://archive.toda[...]
와이어드 뉴스
2006-08-14
[540]
웹사이트
TSB: Nicotine
https://archive.toda[...]
2012-02-19
[541]
서적
[542]
서적
[543]
서적
[544]
서적
[545]
서적
[546]
서적
[547]
서적
[548]
서적
본 사이트는 AI가 위키백과와 뉴스 기사,정부 간행물,학술 논문등을 바탕으로 정보를 가공하여 제공하는 백과사전형 서비스입니다.
모든 문서는 AI에 의해 자동 생성되며, CC BY-SA 4.0 라이선스에 따라 이용할 수 있습니다.
하지만, 위키백과나 뉴스 기사 자체에 오류, 부정확한 정보, 또는 가짜 뉴스가 포함될 수 있으며, AI는 이러한 내용을 완벽하게 걸러내지 못할 수 있습니다.
따라서 제공되는 정보에 일부 오류나 편향이 있을 수 있으므로, 중요한 정보는 반드시 다른 출처를 통해 교차 검증하시기 바랍니다.
문의하기 : help@durumis.com
